FIR线性相位系统特点
1.FIR线性相位系统单位脉冲响应满足:
h(n)=±h(N-n-1)
h(n)是实序列,N表示序列的长度,说明h(n)对序列的(N-1)/2位置偶对称(+)或奇对称(-)
2.
3.
FIR线性相位系统零点分布具有4个一组的特点,如果z是零点,那么z*,z
-1,(z -1)*也都是零点
FIR频率采样结构

H(k)是在0~2pi等间隔采样N点的采样值,可以对单位脉冲响应h(n)进行DFT得到,点数必须大于等于h(n)的长度,否则会发生混叠。
因为IIR系统的单位脉冲响应是无限长的,因此不能用频率采样结构实现

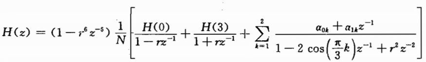
滤波器系统函数

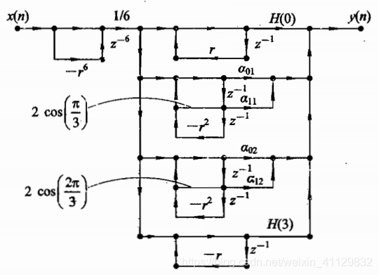
在单位圆上采集6点,选择r=0.95,画频率采样结构

展开后
h(n)=5δ(n)+5δ(n-1)+5δ(n-2)+3δ(n-3)+3δ(n-4)+3δ(n-5)
H(k)=DFT[h(n)] k=0,1,2,3,4,5
N=6
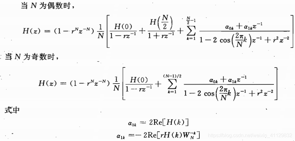
偶数,带入前面公式中

系数:

结构图:

clc;
clear all;
close all;
hn=[5,5,5,3,3,3];
r=0.95;
Hk=fft(hn,6);
for k=1:3
hk(k)=Hk(k);
Wk(k)=exp(-1i*2*pi*(k-1)/6);
end
H0=Hk(1);
H3=Hk(4);
r0k=2*real(hk);
r1k=-2*real(r*hk.*Wk);


最后
以上就是独特毛豆最近收集整理的关于数字信号处理matlab——FIR浅析1的全部内容,更多相关数字信号处理matlab——FIR浅析1内容请搜索靠谱客的其他文章。
本图文内容来源于网友提供,作为学习参考使用,或来自网络收集整理,版权属于原作者所有。
发表评论 取消回复