低通、高通数字滤波器——C语言单片机实现
- 一阶滤波器
- 高阶滤波器
博主刚好进入研二,研究的方向刚好涉及到数字滤波这一块,因此花了一周时间钻研了下数字滤波的实现。
由于本科是电气专业,所以没有数字信号处理相关知识,在一开始看数字信号处理相关理论的时候就显得比较力不从心,尤其是难懂的数学公式。相比看到这里的读者多多少少也有类似的体会。
好在功夫不负有心人,本博主从繁琐的公式中,加上其他博主的博客讲解,领悟了如何使用C代码实现几种经典数字滤波器,可以使其在VS或者单片机上运行而不受限于在matlab上跑仿真。
当然在本篇博客中,主要是以巴特沃斯滤波器做讲解,其他经典滤波器由于数学公式和讲解都比较少,因此没研究出来。若有读者发现较好的资源,欢迎留言一起分享。
好的,读到这里,先讲解一个同学进场会遇到却不是太理解的概念——滤波器的阶数代表什么意思?其实博主一开始也不理解,后来用C代码实现的时候突然顿悟的。答案是:阶数N,代表着在该滤波器中,需要前N个时刻的采样点数据参与运算。
读到这里可能有的读者还不是太理解。没关系,当你读完整篇博客之后,再回过头都这句话试一下。(其实是博主整理了半天语言也没想到一句通俗易懂的话来描述,如果想到了后期再回来更新吧)
一阶滤波器
一阶滤波器呢,是使用数字滤波器来模拟硬件RC滤波器,以抑制干扰信号。一阶低通数字滤波器公式如下:

其中:

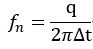
好,看到这里,我们可以看到整个公式中,唯一的需要读者自己计算的就是常数q,有了q值,整个数学公式,相比读者就可以使用C语言实现。那么常数q是如何根据我们所需的截止频率和采样间隔求出的呢?请看如下公式:

其中:

到这里,我们可以得到时间常数q的计算公式为:

下面举个例子教大家如何计算。
例如需要一个20Hz的低通滤波器,对信号的采样率为1000Hz(即0.001秒采样一次),因此q的值为206.280.001=0.125。将q值带入到数学公式中,以C语言实现即可。
高阶滤波器
讲解完了一阶滤波器,下面我们来看下高阶滤波器的实现。
看到这里,有读者可能会问,这个阶数怎么选,是选择使用一阶滤波器还是高阶的,高阶滤波器究竟选择几阶?这其实是有一个数学公式计算你所需的滤波器阶数的,但是由于太过繁琐,不好记,因此在工程领域中不推荐记忆。
这里给大家一个经验,就是滤波器阶数越高,滤波效果越好。
因此,若读者的处理器性能足够强,直接上高阶滤波器即可(阶数越高,计算量越大),一般四到六阶即可解决大部分问题。(有的场景需要高阶滤波器才会完全滤除杂波,但是受到处理器性能影响滤除不干净,因此可以适当降低阶数,因此使用公式计算所需阶数基本没有意义,处理器性能达不到,只能降阶层,因此自己用代码测一下波形比通过公式计算简单得多)
下面是IIR滤波器的差分方程(直接型)。

其中:

看到这里,可能有的读者已经觉得公式有点繁琐。不过没有关系,我们继续往下看,代码实现后在会过来品味一下这个公式。
下面是通过matlab工具计算两个系数。
首先在matlab命令行中输入 fdatool或者filterDesigner,回车执行后会弹出一个框,如下图所示。

根据业务需求,选择低通或者高通滤波器(注:低通、高通、带通滤波器均为同一个公式,系数不同而已),并设计阶数,输入采样频率和截至频率,点击设计滤波器。
观察幅频响应曲线可以看到,从20Hz开始衰减,50Hz是衰减达到50dB,此处需读者根据自己使用情况调节截止频率的参数。

如下图所示,点击两个按钮,将滤波器系数转换为单节结构,得到滤波器系数。分母为y(n)的系数ak,分子为x(n)系数bk。

将两组参数带入,得到下面公式。

那本文中,列举了低通滤波器的实现方法,高通滤波器和带通滤波器的实现方法同上,更改系数即可实现。
下面是代码展示:
using System;
using System.Collections.Generic;
using System.Linq;
using System.Text;
using System.Threading.Tasks;
using 肌电可视化界面.ViewModel;
using NWaves;
using NWaves.Signals;
using NWaves.Filters;
using NWaves.Filters.Bessel;
namespace 肌电可视化界面
{
class SingleProcess
{
int FilterDataNum_VAR = 10000; //全局变量--采集信号的长度
int FilterDataFrequence_VAR = 10000; //全局变量--采集信号的频率
int LowPassCutoffFre_VAR = 150; //全局变量--信号预处理低通截至频率
public Tuple<double[],double[]> Pretreatment()
{
double FilterSamplingInterval = 1.0 / Convert.ToDouble( FilterDataFrequence_VAR); //全局变量--采集信号的间隔
double[] Sin200Hz=new double[FilterDataNum_VAR],Sin300Hz = new double[FilterDataNum_VAR], Sin1Hz = new double[FilterDataNum_VAR], Sin50Hz = new double[FilterDataNum_VAR], Sin100Hz = new double[FilterDataNum_VAR];
double[] InputData = new double[FilterDataNum_VAR];
int x = 0;
for (double i = 0;x< FilterDataNum_VAR; i=i+ FilterSamplingInterval,x++)
{
//Sin200Hz[x] = Math.Sin(Math.PI * 400 * i);
Sin300Hz[x] = Math.Sin(Math.PI * 600 * i);
//Sin1Hz[x] = Math.Sin(Math.PI * 2.0 * i);
Sin50Hz[x] = Math.Sin(Math.PI * 100 * i);
//Sin100Hz[x] = Math.Sin(Math.PI * 200 * i);
InputData[x] = Sin200Hz[x] + Sin300Hz[x] + Sin1Hz[x]+ Sin50Hz[x]+ Sin100Hz[x];
}
//var OutputData=FirstOrderLowPass(InputData);
//var OutputData = IIRLowPassFilter(InputData);
//var OutputData = IIRNotchFilter(InputData);
//var OutputData = IIRLowPassFilter_5(InputData);
var OutputData = IIRLowPassFilter_6(InputData);
//var OutputData = IIRBandPassFilter_6(InputData);
//OutputData = IIRHighPassFilter_3(OutputData);
//OutputData = IIRNotchFilter(OutputData);
//OutputData = IIRLowPassFilter(OutputData);
//var OutputData = FourthOrderRCLowpassFilter(InputData);
Tuple<double[], double[]> value = new Tuple<double[], double[]>(InputData, OutputData);
return value;
}
public double[] FirstOrderLowPass(double[] ProSingle) //一阶低通滤波
{
double[] FilteredData =new double[FilterDataNum_VAR]; //滤波后数据
double LowPassCoefficient = (1.0 / FilterDataFrequence_VAR) * 2 * 3.1415926 * LowPassCutoffFre_VAR; //低通滤波器系数
FilteredData[0] = ProSingle[0];
for(int i=1;i< FilterDataNum_VAR;i++)
{
FilteredData[i] =LowPassCoefficient * ProSingle[i] + ((1.0 - LowPassCoefficient) * FilteredData[i - 1]);
}
return FilteredData;
}
public double[] IIRLowPassFilter(double[] ProSingle) //IIR3阶低通滤波
{
double[] FilteredData = new double[FilterDataNum_VAR]; //滤波后数据
FilteredData[0] = ProSingle[0];
FilteredData[1] = ProSingle[1];
FilteredData[2] = ProSingle[2];
FilteredData[3] = ProSingle[3];
for (int i = 3; i < FilterDataNum_VAR; i++)
{
FilteredData[i] = 0.00009544*ProSingle[i] + 0.0002863 * ProSingle[i - 1] + 0.0002863*ProSingle[i - 2] + 0.00009844 * ProSingle[i - 3] - (-2.81157) * FilteredData[i - 1] - 2.64048 * FilteredData[i - 2] - (-0.828146) * FilteredData[i - 3];
}
return FilteredData;
}
public double[] IIRNotchFilter(double[] ProSingle) //IIR陷波
{
double[] FilteredData = new double[FilterDataNum_VAR]; //滤波后数据
double[] W = new double[3];
double[] IIR_B = new[] { 0.9984039, -1.995822607, 0.998403955 };
double[] IIR_A =new []{1, -1.995822607, 0.9968079114};
W[0] = 0; W[1] = 0; W[2] = 0;
for (int i = 0;i< FilterDataNum_VAR;i++)
{
W[0] = ProSingle[i] - IIR_A [1]* W[1] - IIR_A [2]* W[2];
FilteredData[i] = IIR_B[0] * W[0] + IIR_B[1] * W[1] + IIR_B[2] * W[2];
W[2] = W[1];
W[1] = W[0];
}
return FilteredData;
}
public double[] IIRLowPassFilter_5(double[] ProSingle) //IIR5阶低通滤波
{
double[] FilteredData = new double[FilterDataNum_VAR]; //滤波后数据
FilteredData[0] = ProSingle[0];
FilteredData[1] = ProSingle[1];
FilteredData[2] = ProSingle[2];
FilteredData[3] = ProSingle[3];
FilteredData[4] = ProSingle[4];
FilteredData[5] = ProSingle[5];
for (int i = 5; i < FilterDataNum_VAR; i++)
{
FilteredData[i] = 0.000000200242067359682832116980072401091 * ProSingle[i]
+ 0.000001001210336798414160584900362005456 * ProSingle[i - 1]
+ 0.000002002420673596828321169800724010912 * ProSingle[i - 2]
+ 0.000002002420673596828321169800724010912 * ProSingle[i - 3]
+ 0.000001001210336798414160584900362005456 * ProSingle[i - 4]
+ 0.000000200242067359682832116980072401091 * ProSingle[i - 5]
- (-4.695040626100188241309751902008429169655) * FilteredData[i - 1]
- 8.82614592256382479718013200908899307251 * FilteredData[i - 2]
- (-8.30396669308456125691009219735860824585) * FilteredData[i - 3]
- 3.909893994115305027037265972467139363289 * FilteredData[i - 4]
- (-0.737026189748224092035400190070504322648) * FilteredData[i - 5];
}
return FilteredData;
}
public double[] IIRLowPassFilter_6(double[] ProSingle) //IIR6阶低通滤波
{
double[] FilteredData = new double[FilterDataNum_VAR]; //滤波后数据
FilteredData[0] = ProSingle[0];
FilteredData[1] = ProSingle[1];
FilteredData[2] = ProSingle[2];
FilteredData[3] = ProSingle[3];
FilteredData[4] = ProSingle[4];
FilteredData[5] = ProSingle[5];
FilteredData[6] = ProSingle[6];
for (int i = 6; i < FilterDataNum_VAR; i++)
{
FilteredData[i] = 0.000000009167825068393774824625978674131 * ProSingle[i]
+ 0.000000055006950410362648947755872044785 * ProSingle[i - 1]
+ 0.000000137517376025906622369389680111962 * ProSingle[i - 2]
+ 0.000000183356501367875496492519573482616 * ProSingle[i - 3]
+ 0.000000137517376025906622369389680111962 * ProSingle[i - 4]
+ 0.000000055006950410362648947755872044785 * ProSingle[i - 5]
+ 0.000000009167825068393774824625978674131 * ProSingle[i - 6]
- (-5.635880915490254494670807616785168647766) * FilteredData[i - 1]
- 13.245104571761700640308845322579145431519 * FilteredData[i - 2]
- (-16.614170156135600109337246976792812347412) * FilteredData[i - 3]
- 11.731246791933443773814360611140727996826 * FilteredData[i - 4]
- (-4.420971029104483918104051554109901189804) * FilteredData[i - 5]
- 0.694671323775999050020857339404756203294 * FilteredData[i - 6];
}
return FilteredData;
}
public double[] IIRHighPassFilter_3(double[] ProSingle) //IIR3阶高通滤波
{
double[] FilteredData = new double[FilterDataNum_VAR]; //滤波后数据
FilteredData[0] = ProSingle[0];
FilteredData[1] = ProSingle[1];
FilteredData[2] = ProSingle[2];
FilteredData[3] = ProSingle[3];
for (int i = 3; i < FilterDataNum_VAR; i++)
{
FilteredData[i] = 0.987512174869590753090164980676490813494 * ProSingle[i]
+ -2.962536524608772481315099867060780525208 * ProSingle[i - 1]
+ 2.962536524608772481315099867060780525208 * ProSingle[i - 2]
+ -0.987512174869590753090164980676490813494 * ProSingle[i - 3]
- (-2.974867424113648350925132035627029836178) * FilteredData[i - 1]
- 2.950049679327468421519142793840728700161 * FilteredData[i - 2]
- (-0.975180295515609030232440090912859886885) * FilteredData[i - 3];
}
return FilteredData;
}
public double[] IIRBandPassFilter_6(double[] ProSingle) //IIR6阶带通滤波
{
double[] FilteredData = new double[FilterDataNum_VAR]; //滤波后数据
FilteredData[0] = ProSingle[0];
FilteredData[1] = ProSingle[1];
FilteredData[2] = ProSingle[2];
FilteredData[3] = ProSingle[3];
FilteredData[4] = ProSingle[4];
//FilteredData[5] = ProSingle[5];
//FilteredData[6] = ProSingle[6];
for (int i = 6; i < FilterDataNum_VAR; i++)
{
FilteredData[i] = 0.00157610530654539037105632548474432042 * ProSingle[i]
+ 0 * ProSingle[i - 1]
+ -0.00315221061309078074211265096948864084 * ProSingle[i - 2]
+ 0 * ProSingle[i - 3]
+ 0.00157610530654539037105632548474432042 * ProSingle[i - 4]
//+ 0 * ProSingle[i - 5]
//+ -0.018098933007514465820531057715925271623 * ProSingle[i - 6]
- (-3.882301518552897512392974022077396512032) * FilteredData[i - 1]
- 5.655640987638847150265064556151628494263 * FilteredData[i - 2]
- (-3.664245505992618223700674207066185772419) * FilteredData[i - 3]
- 0.890907362087139609307939736027037724853 * FilteredData[i - 4];
//- (-0.331778114794525014197290602169232442975) * FilteredData[i - 5]
//- 0.278059917634546460707412052215659059584 * FilteredData[i - 6];
}
return FilteredData;
}
}
}
运行效果:

本系统中,仅仅保留了50Hz分量,其他干扰信号全部滤除。(注:本系统需要持续输入信号,不能将短时的采样片段输入,否则会得到如上图前150个采样点的效果,大大影响效果)
喜欢的话,别忘了给博主点个小心心哦。
最后
以上就是受伤萝莉最近收集整理的关于低通、高通数字滤波器——C语言单片机实现一阶滤波器高阶滤波器的全部内容,更多相关低通、高通数字滤波器——C语言单片机实现一阶滤波器高阶滤波器内容请搜索靠谱客的其他文章。
发表评论 取消回复