我是靠谱客的博主 完美白猫,这篇文章主要介绍三角波的傅里叶变换公式_傅里叶变换那点事儿,现在分享给大家,希望可以做个参考。

本节来说一下傅里叶变换的概念和定理。

傅里叶变化起源于热学,在当今社会主要应用于数字通信领域,它可分析信号的成分,也可用这些成分合成信号。在其他领域,特别是光学领域,傅里叶变化也有着极其广泛的应用。在本节中,我们会详细阐述傅里叶级数、傅里叶变换的基本概念以及其基本定理。


一、傅里叶级数

1、三角傅里叶级数

利用三角函数系在区间

正交性,假设存在一函数
是周期为
的周期函数,那么在整个区间都可由三角傅里叶级数表示成:

9522dc3a9d65f778be5054bbf6e9d007.png

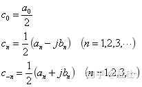
该函数应该满足狄利赫里条件,即一个周期内只有有限个极值点和第一类不连续点。其中

称为傅里叶系数,表示相应频率
的余弦波分量和正弦波分量的振幅大小。傅里叶系数分别表示为:

136c087a44fa3aaff35eadb93669d95c.png

对于偶函数,只保留余弦函数项,对于奇函数,只保留正弦函数项。

2、指数傅里叶级数

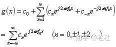
满足狄利赫里条件的周期函数

也可以表示成为无限多不同频率的复指数函数的线性组合,即指数傅里叶级数形式:

9269768c3b11ae51c2de0b6f96aeae89.png

其傅里叶系数可写作:

de7e38e1db4aca2cb70882317c5b1583.png

根据欧拉公式,我们不难推出指数型傅里叶级数系数与三角傅里叶级数系数之间的关系。推导如下:

59a7444b12a01fc1e74865718ed446db.png

若令

c4b3fd528e4459604c852fafcc8a2b91.png

则有

6dd3de65c56913b23a8f6cd56c569cba.png

在复指数傅里叶级数中,

成为频谱函数,也被称作频谱,当
是复函数时,可以表示为:

c12a9871dcf118ee58b803f80b9dded7.png

式中,

称为振幅频谱,
称为相位频谱。

傅里叶级数可以用来表示周期函数。对于周期趋于无穷大,即非周期函数时,基频趋于零,频率取值不再是离散的,而是连续的,此时我们也可以采用傅里叶分析,即傅里叶变换。


二、傅里叶变换

1、基本概念

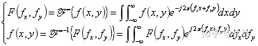
定义式 :复函数

的傅里叶变换定义为:

3f9bd5a86bb2fc3941967ab4bf35f24a.png

式中

称为像函数(或频谱),
称为原函数,两者构成傅里叶变换对:

ca20494257216e876de4bff6c58bef36.png

可写成:

e9c8c5a9232e4b5bffa14022723d29ad.png

的振幅谱,
叫位相谱。

傅里叶变换成立的充要条件为:

(1)函数在

全平面上绝对可积,即

96ff4408c18b32d2b06a26a5228ce64c.png

(2)函数在xoy全平面上每一个有限区域内局部连续,仅存在有限个间断点。

(3)函数没有无限大间断点。

但是,某些函数却无法满足上述存在条件中的某一条或多条,因此有必要对上述傅里叶变换定义作推广,即广义傅里叶变换,常见的这样的函数有:

,三角函数,脉冲函数等。

设存在函数

和函数序列,且有

af61064a26a6c9e07bca7cacd693ce1a.png

115d8161edc41c3d4fc75f1c67bff6d4.png

则令

3aa19816589030feda7e05e7f360db8f.png

换言之,函数

不存在傅里叶变换,但
却是
趋近于无穷的极限,则定义
趋近于无穷时,序列
的极限为
的广义傅里叶变换。广义傅里叶变换就是极限意义下的普通傅里叶变换。

由逆变换式,,可以把函数

分解成形式为e指数基元函数的线性组合,即

34004d138e5627581875926f6f3df15f.png

此时可以发现,其频谱只不过是一个权重因子。

这种基元函数具有下述性质:

(1)由于在xoy平面上传播的平面波,其复振幅可以表示为:

12583f7d8389bd81eadecf6ef0eac2b7.png

故基元函数代表传播方向为如下的单位振幅平面波:

a88af9d48d5009371525f9658c58baaa.png

(2)当

41c6112c8740ef38a0499533c36b55e0.png

a40ca4364ed70b9efed1b92c6c94e9b0.png

在这些直线上位相为零或者

的整数倍,其法线与
轴的夹角为:

8e886d00f9d9d527284b64e92b8450b1.png

为了更好的理解傅里叶分解,我们引入空间频率的概念,空间频率表示特定波形在单位间距内重复的次数,也表示透镜和照相底片的分辨率。

13b545b231564c028947419e53edafa2.png

沿等位相线法线方向,存在:

73c91de2ca9590193f1da62887d90afd.png

得到结论:逆傅里叶变换的物理意义是:物函数

可看成是无数振幅不同
、方向不同
的平面波线性叠加的结果。此即傅里叶分解。

2、基本定理

我们在初步认识了傅里叶变换的原理后,下面来总结梳理一下重要的定理:

(1)线性定理:

72455ffd9c596622dfb478b0dfbb937b.png

该线性定理反应了波的叠加原理,常令

,有:

dc27f8c5751e501b786744cbd4be1396.png

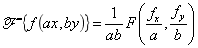
(2)缩放定理:

4ec0c723c33753c7b8580db6af23c45a.png

进而可以推出反演定理(对称性定理):

6bf6f3f58896583944eb6519217a40c6.png

(3)位移定理:

b1c15fd991800809e24557cd78df8952.png

5da7c3d818533acdc6210a6b7dddae09.png

(4)帕塞瓦尔定理:

9d4a87f995302ae58308bb247a630127.png

(5)广义帕色瓦尔定理:

0d2741f08253b89a4f00a0022fda5b92.png

这里要注意的是:

不构成傅里叶变换。

(6)卷积定理:

280a7852d91e321c84f09a9088e4fc67.png

42d72807dfa047d23b89d644e1205ef6.png

(7)互相关定理:

1942a4d66576cf53488e8879cd5a932d.png

7d9421d468cd16cb5293c97911db5617.png

(8)自相关定理:

e79f930e506488ebd8c73a7b8ae30337.png

ba4b64f2fb2ae5fdaa9d225bf78205b6.png

即信号的自相关函数与其功率谱函数之间存在傅里叶变换关系。

(9)积分定理:

7b76504733625c3bc3bc9df5e91e1baa.png

(10)迭代变换定理:

c77a5d3f6ebf96e7408532b77e0acc5d.png

该定理得到了镜像。

(11)微分变换定理:

c87da858b9f793b7c6ed224dd6b22996.png

05230fb35a16f3e131a99b844d593fb2.png

(12)积分变换定理:

ef291391f19112e23485b0e8eed1b136.png

(13)共轭变换定理:

1e4fd889d3bddbef81bd1812e96d1095.png

5dd66955f1967d574ac693e55e3e7152.png

推论:若

是非负的实函数,如光强度,则有

89c89114fecb156d5252f2f970aab867.png

具有上述特性的函数我们称为厄米特函数。

3、常用的的傅里叶变换

左边是原函数,后面是频谱函数,如下:

ce2ae4d4c1518f09bf230512ee813e58.png

b0f5ec2b6e16300d0a86fd7778fb1eba.png

c945f3e1175bd14932740260978986e0.png

59b167f44e7bb98fcac127d58a79e6f5.png

1570a95bed23f568205762686fe02d03.png

a3dea0b06aed4952389f6c15ae7cb3d5.png

93c4ae6ae1a68645f8e670381b9cd6d5.png

736baa1aab8a0643de4830ef2a8ae640.png

5a5fe4ca99f27e646868676a3ce9e19c.png

最后

以上就是完美白猫最近收集整理的关于三角波的傅里叶变换公式_傅里叶变换那点事儿的全部内容,更多相关三角波内容请搜索靠谱客的其他文章。

本图文内容来源于网友提供,作为学习参考使用,或来自网络收集整理,版权属于原作者所有。
点赞(212)

评论列表共有 0 条评论

立即
投稿
返回
顶部