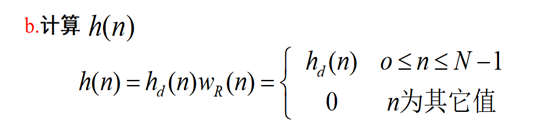
一、 窗口设计法(时域)
1. 以一个截止频率为 ωc的线性相位理想低通滤波器为例,讨论FIR的设计问题。




.2 几种常用的窗函数
1). 矩形窗,
2). 汉宁窗(升余弦窗)
3.) 汉明窗(改进的升余弦窗)
4). 布莱克曼窗(二阶升余弦窗)
5) .凯塞窗

在窗口函数方面,MATLAB可计算以下的窗口函数:
W=hanning(N)
W=hamming(N)
W=blackman(N)
W=kaiser(N, beta)
变量N是窗函数的长度,beta就是凯塞窗的参数β,它可以利用以上讨论的公式计算,W是返回的窗口函数,长度为N。
[M, Wc, beta, ftype]=kaiserord(f, a, dev, fs)
f为通带和阻带边界频率,最高为fs/2;a为相应频带的幅度值;dev为波动值;fs缺省为2。M是滤波器阶数;Wc边界频率;beta即β;ftype是滤波器类型,低通为low。
例子1 用凯塞窗设计一FIR低通滤波器,低通边界频率,阻带边界频率,阻带衰减不小于50dB。

wn=kaiser(30,4.55);
nn=[0:1:29];
alfa=(30-1)/2;
hd=sin(0.4*pi*(nn-alfa))./(pi*(nn-alfa));
h=hd.*wn';
[h1,w1]=freqz(h,1);
plot(w1/pi,20*log10(abs(h1)));
axis([0,1,-80,10]);
grid;
xlabel('归一化频率/p')
ylabel('幅度/dB')

fir1是用窗函数法设计线性相位FIR DF的工具箱函数,以实现线性相位FIR DF的标准窗函数法设计。
b=fir1(n,wn);
b=fir1(n,wn,'ftype');
b=fir1(n,wn,'ftype',window);
b为滤波器系数,n为滤波器阶数,Wn—截止频率,0≤Wn≤1
ftype—当指定ftype时,可设计高通和带阻滤波器。
Ftype=high时,设计高通FIR滤波器;
ftype=stop时设计带阻FIR滤波器。低通和带通
FIR滤波器无需输入ftype参数。
Window—窗函数。窗函数的长度应等于FIR滤波器系数个数,即阶数n+1
b=fir1(n,wn);
b=fir1(n,wn,'ftype');
b=fir1(n,wn,'ftype',window);
b为滤波器系数,n为滤波器阶数,Wn—截止频率,0≤Wn≤1
ftype—当指定ftype时,可设计高通和带阻滤波器。
例子2 用窗函数法设计一线性相位高通滤波器。该滤波器在通带和阻带具有相同的波动幅度0.01,通带范围为0.35pi~pi,阻带范围为0~0.2pi
采用fir1的函数,凯塞窗,MATLAB程序如下:
f=[0.2 0.35]; a=[0 1];
dev=[0.01 0.01];
[M, Wc, beta, ftype]=kaiserord(f, a, dev);
h=fir1(M, Wc,ftype, kaiser(M+1,beta));
[h1,w1]=freqz(h,1);
plot(w1/pi,20*log10(abs(h1)));
axis([0,1,-80,10]); grid;
xlabel('归一化频率/pi'), ylabel('幅度/dB')

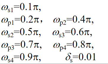
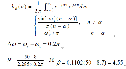
例子3 试用Kaiser窗设计满足下列指标的具有2个通带FIR滤波器

f=[0.1 0.2 0.4 0.5 0.6 0.7 0.8 0.9];
a=[0,1,0,1,0];Rs=0.01;
dev=Rs*ones(1,length(a));
[N,Wc,beta,ftype] = kaiserord(f,a,dev);
h = fir1(N,Wc,ftype,kaiser(N+1,beta));
[h1,w1]=freqz(h,1);
plot(w1/pi,20*log10(abs(h1)));
xlabel('Normalized frequency');
ylabel('Gain, db');grid;
axis([0 1 -80 5]);

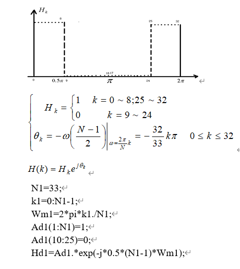
h1=real(ifft(Hd1));
w1=linspace(0,pi-0.1,1000);
H1=freqz(h1,[1],w1);
plot(w1/pi,20*log10(abs(H1)));grid;
axis([0 1 -100 20]);
xlabel('pi');
ylabel('幅度/db');
title('过渡带不设采样点');



最后
以上就是大意金针菇最近收集整理的关于FIR滤波器设计的全部内容,更多相关FIR滤波器设计内容请搜索靠谱客的其他文章。
发表评论 取消回复