信号表示为三角傅里叶级数时:
以上为进行三角分解后的初步结果,要进行信号的频谱分析还需要将括号内的三角函数合并为余弦的形式。
此处An和相位角的求法如下:
而对于指数形式的傅里叶变换结果该如何呢?
固然,直接用傅里叶变换积分来求是一种办法:
但是若此时已经求出三角形式的变换结果了,要转化为指数形式该如何做呢?
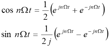
可以根据欧拉公式分解:
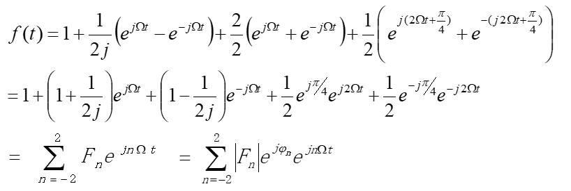
例如:
此式要转化成指数形式,则:
问题来了,你怎么知道那个ψn是咋求的啊?这时就不能按照那个前面三角变换中的公式求了,要和复变函数的解法统一起来(用到的知识是求解复数辐角主值的方法):
最后
以上就是单纯月饼最近收集整理的关于傅里叶变换后信号的频谱分析中相位角的求法的全部内容,更多相关傅里叶变换后信号内容请搜索靠谱客的其他文章。
本图文内容来源于网友提供,作为学习参考使用,或来自网络收集整理,版权属于原作者所有。









发表评论 取消回复