5.1 频谱的意义
信号的频谱(spectrum)描述了信号包含的频率分量。信号的平稳变化源于它的低频分量,急剧变化源于它的高频分量。对方波来说,它即包括产生平稳变化的低频分量,也包括形成陡峭边缘的高频分量。
5.2 非周期数字信号
非周期信号的DTFT(离散傅里叶变换)给出了它的频谱:
1)计算需要信号的所有采样值
2)当信号有无限多个递减的采样值时,可在其降到某个阈值之和,截断信号,从而计算出近似的DTFT
频谱可表示为复数形式
1)幅度频谱:
对
的曲线
2)相位谱:
对
的曲线
5.3 周期数字信号
由于周期信号是同一段序列在时域不断重复,因此导致DTFT结果为无限,所以DTFT不适合计算它的频谱。用来计算周期信号频谱的工具为离散傅里叶级数(discrete Fourier series, DFS)。
周期为N的傅里叶级数为
(1)
1)傅里叶系数为
。由于x[n]的周期为N,所以求系数
只需任意N个相继采样值,且它也仅有N个主值,并不断重复
2)1/N乘子是保证从傅里叶展开恢复x[n]的比例因子
系数
为复数,它的极坐标形式为
,带入式(1)有傅里叶级数的另一种形式
(2)
对比数字正弦的一般形式
,可知
1)
含有幅度信息
2)
含有相位信息
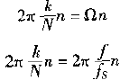
3)k与频率成正比
即
(3)
4)式(3)显示了傅里叶级数所有分量的频率。k=0是直流分量;k=1是一次谐波(基频),它的倒数是信号完成一个完整循环的时间,这个时间等于NTs。
5)离散傅里叶级数包含了0到
的频率,因此N个傅里叶级数的系数位于0到接近采样频率的频率上。
5.4 DTFT和DFS的关系
DTFT产生连续频谱(在所有频率处都有值),因而非周期信号的频谱是连续曲线。
DFS产生不连续频谱(仅在N点上有值),因而周期信号的频谱是等间隔的竖线。

转载于:https://www.cnblogs.com/pegasus/archive/2011/02/15/1955549.html
最后
以上就是无聊画板最近收集整理的关于数字信号处理 - chap5 数字信号频谱的全部内容,更多相关数字信号处理内容请搜索靠谱客的其他文章。
即
发表评论 取消回复