Simulink模块库介绍(四)——自定义模块
- 目录
- 上升沿、下降沿
- if-then-else
- 延时器
目录
正常情况下,simulink自带的模块库已经足够使用了,但是,在实际项目开发过程中,基于功能需求,需要将自带的模块库组合,从而适应于实际项目开发需求,比如
1、需要监控上升沿、下降沿;
2、需要延时器、定时器。针对某种工况延时定时一段时间
3、需要状态选择,if-then-else语句(自带switch模块容易懵)
4、需要求导,微分变差分(实际系统都是离散的)
。。。
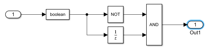
上升沿、下降沿
在搭建simulink模型时会遇到,在某些事件:刚发生或结束(不论状态时间长短),需要提取状态的切换过程

上升沿对应simulink模块

下降沿对应simulink模块

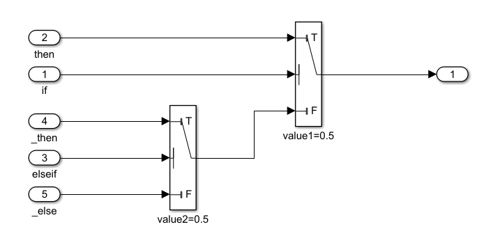
if-then-else
开发过程中,需要用到很多这样状态的切换,简单的切换通常用switch模块就ok,复杂的逻辑通常用stateflow也ok。

if-then-elseif-then-else模块内部如下:

延时器
有些情况下,激活某个功能(信号置1),并不想立即激活,而是需要连续一段时间持续触发时,才可以激活该模块。
比如车辆大灯,在驾驶员关闭车辆电源后,我想让灯光持续延时继续亮一段时间。


最后
以上就是天真保温杯最近收集整理的关于Simulink模块库介绍(四)—自定义模块目录的全部内容,更多相关Simulink模块库介绍(四)—自定义模块目录内容请搜索靠谱客的其他文章。
本图文内容来源于网友提供,作为学习参考使用,或来自网络收集整理,版权属于原作者所有。
发表评论 取消回复