一、多路复用简介
多路复用(multiplexing):
- 链路/网络资源(如带宽)划分为“资源片”
- 将资源片分配给各路“呼叫”(calls)
- 每路呼叫独占分配到的资源片进行通信
- 资源片可能“闲置”(idle)(无共享)

二、典型多路复用方法
- 频分多路复用(frequency division multiplexing-FDM)
- 时分多路复用(time division multiplexing-TDM)
- 波分多路复用(wavelength division multiplexing-WDM)
- 码分多路复用(code division multiplexing-CDM)
1. 频分多路复用FDM
频分多路复用的个用户占用不同的带宽资源(这里的“带宽”是频率带宽(单位:Hz)而不是数据的发送速率)。
用户在分配到一定的频带后,在通信过程中自始至终都占用这个频道。
应用:有线电视网络。
例如:以下四个颜色代表四个用户,四个用户共享信道,分为四个频带,相互隔离,互不干扰。


2. 时分多路复用TDM
时分多路复用是将时间划分为一段段等长的时分复用帧(TDM帧),每个用户在每个TDM帧中占用固定序号的时隙。
每个用户所占用的时隙是周期性出现(其周期就是TDM帧的长度)。
时分复用的所有用户是在不同的时间占用相同的频带宽度。

例如:下图中,ABCD分别为四个用户,每个用户只在对应的时隙里传输自己的数据。

3. 波分多路复用WDM
波分多路复用就是光的频分多路复用。

4. 码分多路复用CDM
- 广泛应用于无线链路共享(如蜂窝网,卫星通信等)。
- 每个用户分配一个唯一的 m bit 码片序列(chipping sequence),其中“0”用“-1”表示,“1”用“+1”表示。
- 由于各用户既不分割频率,也不分割时间,各用户使用相同频率载波,利用各自码片序列编码数据。
- 编码信号=原始数据×码片序列
如发送比特1(+1),则发送自己的 m bit 码片序列
如发送比特0(-1),则发送该码片序列的 m bit 码片序列的反码
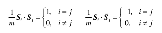
- 由于每个用户所用频率相同,故每个用户发送的信息在 信道中必然相互叠加,为了让信息之间互不干扰,各用户码片序列必须满足相互正交。
一个用户的码片序列只有与自己相乘时得1,与其他码片序列相乘都为0
一个用户的码片序列只有与自己的反码相乘时的0,与其他码片序列的反码相乘都为0

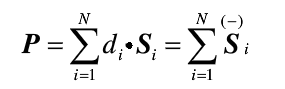
令{di}为原始数据序列,各用户的叠加向量为

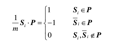
解码:计算码片序列与编码信号的内积,根据所得结果,判断此刻信道中是否有该用户的信息传输。

参考文献:
哈尔滨工业大学网课“计算机网络之网尽其用”李全龙
最后
以上就是笑点低溪流最近收集整理的关于频分/时分/波分/码分多路复用简介的全部内容,更多相关频分/时分/波分/码分多路复用简介内容请搜索靠谱客的其他文章。
本图文内容来源于网友提供,作为学习参考使用,或来自网络收集整理,版权属于原作者所有。
发表评论 取消回复