在前面的学习中,我们介绍过电磁波的发现过程,着重写了发现电磁波的那些人和事。今天我们接着介绍电磁波的特性。

从电磁波的发现过程一文中,我们知道电磁波这个天生地长的东西最早的发现来自于麦克斯韦的预言。天才科学家麦克斯韦在总结前人实验发现的基础上,预言了电磁波的存在,后来在赫兹的实验中,验证了麦克斯韦预言的准确性,发现了电磁波。

这个推导过程很简单,就是求导求导再求导。

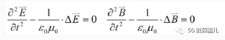
进而推导出电磁波中电场和磁场的波动方程

那么对于最简单的一维情况,电磁波的波动方程可以简化为:

那么电磁波也就成了简单的平面电磁波。

那么今天我们就这最简单的平面电磁波,来学习一下电磁波的三要素。
在频域条件下,电场的波动方程可以简化为:

其中,k是波数。
上式就给出了电磁波的三要素:频率w,振幅E0和相位。w一般是指角频率

No.1 频率 w
做射频的人都知道频率的重要性,射频射频就是发射电磁波的频率,我们工作中所遇到的任何射频器件都是与频率相关的。那么频率的重要性也就不言而喻,在这里我们称频率w为电磁波三要素之首,想想也不为过吧。
我们把麦克斯韦方程组的前两项用频域形式来表示就是:

由此可以清楚的发现:电场和磁场转化的一个重要条件就是频率w,只有当频率足够高时,才能实现电磁之间的有效转换,电磁波的步子才能迈开,向空间迈进。

当频率w=0时,就是我们常用的直流,这种情况下电磁无法转换而只能各自独立存在。也就是说,变化的磁场产生电场,变化的电场产生磁场。
在射频电路设计时,当频率低的时候,我们常用“路”的方法进行分析,当信号的频率足够高时,电磁才会“夺路而走”,形成自由的波。这也就决定了,频率越高,越容易形成辐射,射频电路设计的难度也越大。趋肤效应也是频率的一种体现。
所以在研究高频时,我更倾向于用场的方法,把他放在空间里去研究,而不要局限在路上。只研究路,可能会忽略很多外界的影响。
No.2 振幅E0
其实振幅很简单,前面频率因子给电磁波定义了它的域,那么振幅就是他的强弱,定义了电磁波的能量。
电磁波的能量大小由坡印廷矢量决定,即S=E×H,其中s为坡印廷矢量,E为电场强度,H为磁场强度。E、H、S彼此垂直构成右手螺旋关系;即由S代表单位时间流过与之垂直的单位面积的电磁能,单位是W/m2。
当然对于不同的用途,电磁波的振幅也不同,比如在我们常用的移动通信领域,基站的发射功率通常为10W~80W 不等,手机的发射功率则通常为 1mW到2W。那么调频广播的发射功率则会高达20kW。当然,在军事上的微波武器中,振幅则更为重要。利用微波武器瞬间烧毁敌方的电子设备。

在射频设计中,我们发现一个有趣的现象,功率和频率之间到底存在着什么样的关系呢?为什么频率越高,产生高功率的难度越大?但是当电磁波的频率再升高,到光波频段时,产生高功率的的难度越小,我们甚至可以产生极高的功率,比如激光武器。

No.3 相位
电磁波的相位是对于一个波,特定的时刻在它循环中的位置:一种它是否在波峰、波谷或它们之间的某点的标度。
相位描述信号波形变化的度量,通常以度作为单位,也称作相角。当信号波形以周期的方式变化,波形循环一周即为360° 。

我觉得相位对于在空间传输的电磁波来说,就是指特定时间,特定地点电磁波的相位角,这个相位角对应着周期变化的电磁波振幅的强弱。
参考阅读:
-
射频人必知必会——电磁波发现之旅
-
到底什么是电磁波?
-
见证奇迹的时刻:如何从麦克斯韦方程组推出电磁波?
-
一文读懂“麦克斯韦方程组”的物理意义
-
小木匠带大家读麦克斯韦方程组
-
每个射频人都应该去学习一下《微波五讲》
备注:这篇的学习笔记来自于梁昌洪老师《微波五讲》的学习,图片来自于网络,如有侵权,请联系删除。
小木匠语:原创功能硬生生的被投诉到封禁了。如果我真的抄袭,被封禁了也心甘情愿。但是取消原创的都是一些资料的分发文章。因为当时设置原创不合规。应付这些投诉的方法就是不去看这些投诉的信息,就当什么都没发生吧。
坚持自己的学习,分享。


最后
以上就是悲凉冬天最近收集整理的关于电磁波 三要素的全部内容,更多相关电磁波内容请搜索靠谱客的其他文章。
发表评论 取消回复