《射频微波芯片设计》专栏适用于具备一定微波基础知识的高校学生、在职射频工程师、高校研究所研究人员,通过本系列文章掌握射频到毫米波的芯片设计流程,设计方法,设计要点以及最新的射频 毫米波前端芯片工程实现技术。
本文共分为四个部分:前言——讨论射频知识体系架构——从系统视角浅析射频基础;射频器件基础——从基础元器件角度来丰富射频概念;芯片设计环境搭建——怎么快速搭建RFIC/MMIC设计环境。(全文阅读大概需9分钟,如果您能静下心阅读15分钟以上,掌握了(或者复习了)射频微波基本概念,能自主搭建射频芯片设计环境,同时如果能得到您的收藏与点赞将是我熬夜肝这篇文章的最大荣幸)
前言
大家能在浏览到这里,说明您还是多想在温习温习,学习学习射频微波基础知识以及芯片设计环境搭建的。不过不得不说,面对于一个成体系的微波射频知识,想要通过一篇博文就把枯燥乏味的射频微波基础理论知识讲清楚讲明白,并让读者内化成自己的知识还是极具挑战的。当我熬夜肝这篇推文的时候,心里也似十五个吊桶打水——七上八下的,生怕写不好从而浪费了大家这宝贵的几分钟时间。为了让大家阅读完后不会觉得“听君一席话,如听一席话”,本文尽可能地把常见的射频基础知识囊括进来,具体按下图所示的行文结构,您可以按需阅读。
需要说明的是,本文主要目的是:
1、给入门萌新们梳理基本的射频微波知识体系架构,掌握基础的射频微波知识;
2、给工作繁忙的一线工作者整理常见的射频基础概念,收藏后便于复习查找;
3、让大家读完后能容易地认识一些基本的射频前端电路架构和指标;能够基于ADS和HFSS提取电路的电感电容值;能够基于ADS和Cadence Virtuoso搭建芯片设计平台。
当然,还需要说明的一点就是,由于笔者水平有限,为了避免部分研究生同学和科研从业者把本文当成了科研爽文来阅读,养成了不好的学习方式,建议从事科学研究的同学可以略过本博文或者仅作学习参考(这就像很多程序猿一样,虽然喜欢他们通过博客总结学习技术,但真正要去实战了还是得依靠逻辑严密的体系化的知识作为指导)。这里给大家推荐几本笔者认为比较好的书吧:
--Razavi的《RF Microelectronics》(做RFIC的基本人手一本)
--Pozar的 《Microwave and RF Design of Wireless System》(对,就是写微波工程的那个Pozar)
--Robertson 的《RFIC and MMIC Design and Technology》

射频微波基本概念·系统篇
本小节主要是从电磁频谱,到常见的射频前端系统架构,再到衡量系统的指标(线性的,非线性的,还有就是噪声,动态范围等等),最后简单展开下系统设计指标的演算。
电磁频谱
电磁波属于光波,其满足光速公式:
c=λ·ν

如上图所示,电磁波在自由空间中传播为电场(x方向)与磁场(y方向)正交,并且和传播方向(z方向)垂直,这也就是我们常常叫的横电磁(TEM)模式。当然好问的同学就会问,那么是不是还有横电(TE)模式,横磁(TM)模式呢,答案是肯定的,不过他们常常出现在微波波导或者光纤之中。更多电磁波传播模式(比如TE10模,TM011模,简并模等)相关的知识,朋友们可以下来自己查找下资料哈,咋们今儿就点到为止。
关于电磁波,我们在日常工作会把其按照波长和频率两个维度来划分表示,比如微波,毫米波或者X band, V band等。随着军民用电磁频谱的应用需求日益增加,常见的电磁频谱划分与应用如下图所示:

由于雷达使用的频率关系,大家常常会把射频微波分成若干Band,为了方便大家收藏以及后续查找相应的频谱划分,本文整理了如下表所示的射频微波频段(下表数据来自维基百科)

好了,大家看到这里基本上了解了下电磁频谱的基本常识,那么再来讨论一个问题,就是大家发现在第五代移动通信(5G)我们除了用Sub-6GHz频段,还有毫米波频段也会被多次提及,这个频段不仅是我们国家,就连在欧美等发达国家也都采用其作为通信载波。更有甚者,在未来10年我们也或许将迎来6G时代,到时候我们必将使用更高的频段,那么请问为啥现在大家老是想要把无线通信系统的工作频段提高呢?
笔者这里就不献丑来解答了,这里给出一个香农公式给大家参考,大家自行下来寻找答案哦,找到答案后可以在评论区或者来群里大家日常扯淡,讨论讨论:
C=BW·log2(1+SNR)
另外值得注意的是,在使用电磁波作为传输信号的媒介时,随着波长变短(频率变高),电磁波在空气中的传输损耗也会基本呈现加大的趋势,因此在设计系统是需要考虑如下大气窗口图,根据衰减与频率的关系合理设计系统工作频率(系统在定量计算的时候,大家一般会参考Friis公式)。

常见射频微波前端系统架构
在敲定系统使用的电磁频率后,我们还得根据具体的应用背景,来确定射频前端架构。相信读者朋友们都很熟悉常见的射频前端系统架构有哪些,本文就以图为主介绍为辅,分别给出常见的接收机与发射机系统架构:
(1)超外差式接收机架构

如上图所示为一个典型的超外差接收机框图,主要是将天线接收下来的信号通过放大,然后滤波,再混频到中频进行处理。可以这么说,在无线电子系统中,超外差架构由于其结构简单灵活,能够获得较大增益,且可以有较好的频率选择性,在现代无线电子系统中应用极为广泛。
但是,超外差架构也会有其不可避免的缺点:
一是镜像干扰,镜像频率与本振信号混频后所产生的中频信号也会掉在所需要的fIF上,因此这将会对中频造成直接的干扰(是那种比狗皮膏药还粘的干扰,因为你无法滤除)。那么我们一般就会想办法在中频之前来处理下,比如加一个RF频段的镜像抑制滤波器,将镜像频率提前抑制掉,这个时候如果中频频率较低,对滤波器的带宽要求就比较高了,因为RF与IF的之差(或者低本振系统为之和)得到中心频率就是镜像频率,而其带宽往往要求要比IF的频率还要小,因此在我们上一篇推文中说的滤波器目前占据了很大市场的原因之一,因为很需要这样的高选择的外接滤波器来处理镜像干扰了。为了稍微减轻镜像滤波器的压力,我们往往会把中频做高一些,不过频率变高后又会给基带处理带来压力,所以又会引申出双下变频的超外差结构。
二是临信道干扰,当镜像滤波器带宽较大或者临信道频率处的带外抑制度不够大时,往往会把临信道信号混到中频,进而使得解调到非需要的额外的信号,造成了临信道干扰。而极窄带镜像抑制滤波器又会造成系统集成难度加大。
那么有没有什么好的系统架构,使得镜像频谱被抵消呢,答案时肯定的,即会有镜像抑制接收机架构。
(2)镜像抑制接收机架构
常见的镜像抑制接收机架构与原理如下图所示,本镜像抑制接收机首先就是先将信号在本振端将某一路做90°移相,然后混频后在中频做一次90°移相,使得镜像频率与本振混频后的两路信号相位差180°,而有用的射频信号与本振混频后两路信号相位一样,这样两路信号叠加后便可以抵消掉由镜像频率混下来的干扰信号。(可能看到这里,爱思考的同学就会想到这个和我们上一期讲到的CT,CQ结构耦合矩阵引入零点咋个有点类似呢,都是通过路径变换使得想要处理的两路信号相位相差180°,进而使得被处理信号得以抑制,是的,其实这类思想在射频电路设计中还有很多应用,比如控制本振泄露,谐波抑制等等)

由上图可知,该架构可以把镜像信号完全抑制掉(可能部分同学又会心里想,哎呀老师,你绘制的上图好看是好看,然鹅我就是有点看不懂啊,不知道公式咋个来的,那么笔者这里就先给同学们提个醒“奇变偶不变,符号看象限”;还有就是“积化和差”。相信大家根据这两句心法,去理解上图两分钟,会有新的收获)。
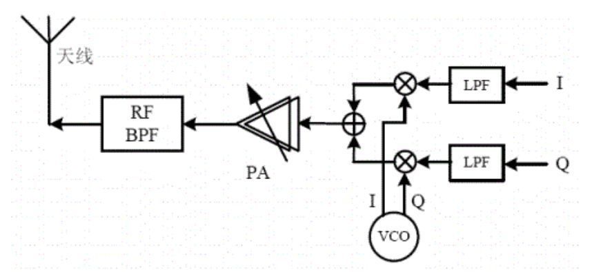
(3)零中频接收机架构
相信做RFIC的同学们对如下图所示的典型零中频接收机架构十分熟悉,因为其是将射频信号与本振信号直接混频到基带,理论上不存在镜像频率干扰,由于系统架构的优越性,使得系统不需要额外集成体积较大的滤波器,进而使得系统易于集成:

但是常见的零中频架构也会存在一些问题:
I、Q幅度相位失配导致镜像抑制恶化,和上面提到的镜像抑制接收机一样,虽然理论上不存在镜像频率干扰,但是当I、Q两路信号的幅度相位不匹配时,会存在镜像抑制性能的下降,不匹配随时间的变化很缓慢,可以采用数字电路或者模拟电路对I、Q支路进行校准;
直流失调,由下混频器以及后面各个模块引入的直流失调成分直接叠加到了有用信号上,对解调造成最致命最直接的干扰,甚至有时候直流失调分量远远大于有用信号,使得后端模块直接给弄饱和。因此直流失调就像人体内分泌失调一样,让零中频接收机用起来感觉病怏怏的,极度限制了其应用。
可能看到这里,读者朋友们是不是有一种“听君一席话,如听一席话”的感觉,好像懂了又好像没懂,懂的地方是,确实这个直流失调极大限制了零中频方案的应用,想想看这个直流成分到了基带和信号混成一片,那还不得翻天,那些后面的模拟数字模块绝对遭殃,不懂的是,为啥有直流分量,我射频信号从天线下来不是好好的嘛,我射频信号与本振混频的时候不也是规规矩矩的嘛,咋就老实人总被欺负,咋就有直流失调了呢???
笔者这里就简单总结几点给大家解解惑,直流失调的主要原因有:
混频器在所用工艺下的低频1/f噪声较大
针对这个问题,站在RF电路设计师视角,我们一般会想到两个解决方案:一是在混频器设计时及时出具有降低1/f噪声的电路方案,比如动态电流注入,多晶硅电阻加载等;二是在射频前端与模拟基带之间加一个截止频率很低的高通滤波器,直接把直流分量搞掉不让他到基带;当然站在数模混合设计师的视角,还可以通过采样闭环校准来实现抑制直流失调,这个博主本人是个门外汉,就不过多卖弄了,大家下来可以自行去了解。
本振到射频或者射频到本振信号泄漏,导致直流失调
在混频器中,本振信号通过寄生电容或者存底耦合到了射频端,发生了自混频,直接混出来了直流分量;或者本振信号泄漏到天线端,然后再返回到本振口和新输入的本振信号发生自混频也会有较大直流分量。同理,射频端带来的直流分量来源原理也是如此。
那么解决方案如上文提到,可以在混频器设计时增加一个本振到射频耦合路径,根据泄露信号量设计好耦合量使得泄露信号给抑制掉;同时在混频单元设计时尽可能提高射频到本振、本振到射频口的隔离度。
射频前端偶数阶非线性扮演碟中谍,导致直流失调
射频前端特别是混频单元的二阶非线性所产生的谐波(一般而言,其他偶数阶产生的谐波功率较小,故分析时主要考虑二阶的)与本振信号产生的谐波,这两个内鬼扮演碟中谍在下混频器发生混频,或者内鬼谐波在端口与信号本身两次混频也会产生直流分量。
好了,零中频结构接收机的直流失调的原因我们就聊到这里,接下来我们继续聊射频前端系统常见架构。
(4)低中频接收机架构

顾名思义,低中频接收机就是将射频信号下混频到频率较低的中频出,然后对镜像干扰进行处理,然后再继续下混频到基带。该方案有两个好处,一是有类似于零中频的优势,可以不用采用较多的高选择性的镜像抑制射频滤波器,便于集成;二是,混频到低中频没有直接到基带,可以避免直流失调。至于如何实现镜像抑制,一般来说可以在低中频设计一些低中频的镜像抑制滤波器;或者在射频信号到下变频器前,先对射频信号进行一次无源多相滤波处理。
好了,由于篇幅原因很多技术细节我们今天就点到为止,至于其他的接收机架构咋们后续可以在评论区留言或者到群里讨论哈,比如基于OOK调制的超再生式接收机,高集成度的亚采样接收机,超宽带接收机等等。下面我们接着简单讨论下发射机的架构:
(5)超外差式发射机

该结构与超外差接收机类似,先将基带信号通过上变频模块混频到中频,然后再上混频到射频,然后通过功率放大器推送至天线,将电路中的信号变换发射到自由空间中。具体原理,本篇博文就不再过多阐述,读者下来可以自行研究研究哈。
(6)直接变频发射机

该结构与零中频接收机类似,先将基带信号通过上变频模块直接混频到射频,然后通过功率放大器推送至天线,将电路中的信号变换发射到自由空间中。
当然射频发射机还有很多新的类型,比如直接用基带信号调制功率放大器然后通过天线发射,这两年IEEE JSCC上面也有很多报道,大家多多地查阅学习。
系统线性特性
(1)传输特性及阻抗匹配

如上图所示,实体带状的为微带传输线(特征阻抗50欧姆),电感电容为匹配电路,与之对应的两个细线为理想传输线,电阻分别模拟的信号源50欧内阻和负载300欧电阻。图中两个信号源都是90MHz,信号源内阻一样,信号输出功率一样,区别是第一个采用了匹配电路,第二个直接传输,第一个传输系统传输到负载时的电磁波为左下角第一个响应曲线,第二个传输系统传输到负载时的电磁波为左下角第二个响应曲线。
那么,对于一个射频模拟收发系统而言,我们期望的是信号能够全部传输到负载端,那么我们怎么来判断或者说怎么来表示信号没有被反射回来呢?为了衡量信号在端口是否有被反射回来,往往会采用一个或多个度量标准,就好一个人能喝多少酒,往往可以用能喝多少杯或者多少斤来度量,不过这个时候又有同学默默地站起来了,说“老师我都是一直在喝的。。。。”,“好吧,,,老师只能说你就是射频器件建模里常常用到的黑匣子”
言归正传,为了方便大家统一称呼,我们定义了反射系数,电压驻波比(VSWR)来表示端口信号的反射特性。下面我们来复习(学习)几个基本的概念:
特征阻抗
对于自由空间中传播的电磁波而言,经典的麦克斯韦方程组指出特征阻抗由电场和磁场的强度之比即为特征阻抗:

当电磁波在空气中传播μr,εr都为1,此时空气的特征阻抗就为377欧!!!哈哈,可能做天线的朋友此时就会拍了拍大腿,老师,这个我熟悉啊,这不我家亲戚吗!对,天线就是一个有点像阻抗变换的器件,就是把约束在电路中特征阻抗为50欧(75欧的现在用的少)的电磁波给转换成空气中特征阻抗为377欧的电磁波,设计天线的工作带宽本质上来说就是要把空气中放荡不羁爱自由的电磁波与束缚在电路里的电磁波之间的阻抗给匹配好。因此大家有没有发现,对于微带天线加寄生贴片,做E型开槽,耦合缝隙馈电等等技术似乎对天线的工作带宽拓宽变得很好用,有木有!所以从某种意义上来讲,设计天线的兄弟姐妹儿就是在设计阻抗变换器,就是在与天(天线辐射出去后的电磁场传播的空间)斗,与地(电路端)斗,与人(熬夜肝匹配)斗。
好了,我们聊完自由空间中的特征阻抗,我们下面来聊聊电路中的特征阻抗:
一般而言,我们做电路的同学讨论特征阻抗就是指电路里传输线的特征阻抗,比如一个微带线的特征阻抗,一个共面波导的特征阻抗等等。
每一种传输模式由电报方程推导出来的特征阻抗数学表达式都会有一点点差异,大家下来可以自型查阅微带线,双绞线,同轴线等等的特征阻抗公式,本文就算一个典型射频系统中没有损耗的传输线的特征阻抗表达式:

上面的简式,对我们设计传输线的特征阻抗还是有些指导意义的。下面大家跟着我来做一个简单的设计:
—>假如我们在设计微带传输线时,其特征阻抗太大了,我们想要调小怎么做呢??
答案揭晓:由上面的简式,是不是我们调小电感,调大电容就可以呢。因此我们只用把微带线线宽适当调宽就可以了。
好了,我们接着在说一个话题,对于电路的特征阻抗我们人为地定义成了50欧,业界公认的射频系统/模块接口的阻抗也会是50欧,以便于多功能模块级联。此时,有些朋友是不是有很多问号,这到底是为啥?为啥??为啥???为啥是50,不是500?
哈哈,你懂的,这个时候老师一般会说大家下来自行查阅。。。。或者有热心的“朝阳群众”赶快在评论区留下您的留言,救救孩子吧。【这里简单提个醒,传输功率容量与损耗的折中】
反射系数

如上图传输线电路的一般形式所示,信号从坐标Z=-l处输入,传输线特征阻抗Z0,负载为阻抗为ZL,(ZL处位置为坐标Z=0),所谓反射系数是指端口(Z=0)处,反射电压波与入射电压波之比:

需要注意的是,这里把射频传输线理论中最重要公式之一的输入端口阻抗计算公式给出来,如下:

电压驻波比
在上一篇博文《重磅!滤波器芯片实战指南》(哈哈,这个标题是有点小夸张了,不过真心希望上期内容如标题,能给大家带去实质性的小帮助),在博文中我们也提到了电压驻波比,所以这期我们就过了,本次只给一个公式,展示端口1的电压驻波比:

阻抗匹配
如上图所示,射频微波信号在电路中传输时犹如水龙头里面的水,当水流到出口处遇到了另外的接口,如果采用的水管不合适,必然会造成水不能全部到达水管,因此在水龙头接口处接一个适配于两个端口的转接头十分必要。

射频微波电路的阻抗匹配电路设计十分常见,至于如何来设计匹配电路,我们实际工程中应用得最多得工具莫过于Smith圆图,如上图所示,为阻抗型Smith圆图,其具有:三个特殊点(匹配点、开路点、短路点);三条特殊线(实轴为纯电阻线、左半实轴为电压波节点、右半实轴为电压波腹点);两个特殊面(上半圆的感性面,下半园的容性面);两个旋转方向(观察方向朝电源方向时,顺时针;观察方向朝负载方向时,逆时针)。
在Smith圆图参与实际应用时,往往是得到两个端口在上述圆图所在的位置,然后根据电感电容去适配(一般有L型匹配方式,Pi型匹配,需要注意的是匹配时为了做宽带,可以把等Q值圆调出来,在靠近匹配点时,Q越小能做到的带宽越宽)

在使用电感电容参与匹配时,有如上图所示规律,大家可以联想记忆,假如哥们儿戴了一副金丝眼镜,镶金丝的电感在上平面,并往左,串往右;电容在下,并还是左,串还是往右。也就是“感上容下,并左串右”
咋们用一点书面用语的话就是:
并联电感:沿着等电导圆逆时针移动;
并联电容:沿着等电导圆顺时针移动;
串联电感:沿着等电阻圆顺时针移动;
串联电容:沿着等电阻圆逆时针移动。
好啦,射频微波的传输特性及阻抗匹配咋们就聊到这里了,下面进入S参数的讨论。
(2)S参数
一般来说,对于一个射频微波网络有Y、Z、S和A参量矩阵来分析,Y矩阵称为导纳矩阵,Z称为阻抗矩阵,A参量矩阵为级联矩阵,S称为散射参数矩阵; S参数矩阵是建立在入射波与反射波关系上的网络参数,特别适合射频微波频段的参数分析,一般地,散射参量可以直接用网络分析仪测量得到,可以用网络分析技术来计算。只要知道网络的散射参量,就可以将它变换成其它矩阵参量;因此S参数对于射频微波从业人员又一不得不好好掌握的基础概念。
在设计中我们很多时候遇到的是一个二端口微波网络,为了让大家再次熟悉S参数矩阵,咋们看下图:

如上二端口网络,可得其S参数矩阵:

S11:端口2匹配时,端口1的反射系数;
S22:端口1匹配时,端口2的反射系数;
S12:端口1匹配时,端口2到端口1的反向传输系数;
S21:端口2匹配时,端口1到端口2的正向传输系数;
系统非线性特性
(1)1dB压缩点


在射频微波系统中,常常会用到1dB压缩点来衡量其线性度,一般1dB压缩点越高,其线性度越好。放大器等有源器件通常关注实际增益比理论上的线性增益少1dB的位置,就被称之为1dB增益压缩点。该点对应的输入、输出功率一般分别标记为 P 1dB,in 和 P 1dB,out。更多关于1dB压缩点的内容,在之前RFASK的博客主Knight的《频谱分析系列:1dB增益压缩点概述及测试》一文中写的比较详细,大家下来如果想要快速掌握相关知识,可以过去阅读学习。
(2)三阶交调截点


如上图所示,在射频或微波多载波电子通信系统中,当有两个及其以上的信号时,由于系统的非线性特性,会产生多个频率分量,输入信号pin(f1)和pin(f2)除了产生输出信号Pout(f1)和 Pout(f2)之外,还产生了新的频率Pout(2f2-f2)和pout(2f2 -f1) , 称为三阶交调输出。
通常,输出端口有用功率与无用功率(单位dBm)之差被定义为以dB为单位的交调失真(inter modulation distortion , IMD),即

交调失真对模拟微波通信来说,会产生邻近信道的串扰,对数字微波通信来说,会降低系统的频谱利用率,并使误码率恶化;因此容量越大的系统,要求IP3越高,IP3越高表示线性度越好和更少的失真。
其中,不失一般性,这里笔者给出OIP3与IMD的关系,其他的(比如IIP3与IMD的关系,多级级联IP3的计算公式等等)读者下来可以自行查阅推导:

可能有读者朋友会问到,既然Pout1dB与OIP3都是衡量非线性的指标,那么他们的有不有什么关系呢?笔者这里给出一个经验值,一般OIP3比输出1dB压缩点高10dB左右.
系统噪声系数
噪声系数,在接收机系统经常被用来衡量其性能的好坏。电子设备噪声系数的定义为,输入信噪比与输出:

噪声级联公式为(读者朋友们需要注意的是,在计算时需要换成数值计算,最后再来换成对数):

灵敏度(最小可检测信号)
在接收机系统中,灵敏度是是衡量接收机对给定电平信号的检测能力的,并且依赖几个因素,如接收机噪声系数,调制方式,调制度,中频带宽,解调带宽以及要求解调器输出的信纳比,这些因素对接收机灵敏度的之间的关系可以用以下公式大概简单的表示:

其中-174dBm为热噪声基底,(按照常温25℃计算得到的):

NF为接收机的噪声系数,B为接收机的信道带宽(大家计算时需要注意单位是Hz),Eb/N0为接收机的解调门限(有的课本会用SNR来表示,本博文之所以没用SNR就是怕大家和上面提到的射频中的SNR搞混淆了)(解调门限是指在一定的误码率BER前提下,接收机接收到的信号应不低于接收机解调门限,接收机才能正确解调接收到的信号,即有用信号平均比特能量与噪声和干扰信号功率谱密度的比值,其是衡量数字调制和编码方式品质的标准。当然,一些常见调制方式下和特定误码率下的Eb/N0值,在上文推荐的书单中有说,具体大家可以参考下)
系统动态范围

线性动态范围:说到动态范围,我们自然就可以想到一个上限值一个下限值来决定的一个区间,那么所谓线性动态范围就是用最噪声基底(N0)表示下限值,上限值则用输出1dB压缩点来表示,即:

可能细心的同学会发现,这个N0的计算在本分书籍中是用 来算的,不过我们也可以用上面的灵敏度公式来算,也就是说线性动态范围还可以按照如下公式来计算(常温25℃):
无失真动态范围:该项定义则是用最小可检测信号表示下限值,上限值则用产生等于最小可检测信号的三阶互调产物的两个等电平输入信号对应的所需信号的输出功率。啥意思???好绕,对不对?莫关系,咋们看看上图说话,也就是说当三阶产物刚出来时,我们的输出功率就是刚刚还没有交调失真,那么我们就把这个时候的输出功率减去最小可检测的功率的值当作无失真动态范围,也就是上图中的DRf.因此,我们可以得到如下公式(常温25℃):

阻塞干扰
阻塞干扰的原理是当外界针对所设计的接收机突然来了一个很强的干扰信号,虽然在一定程度上对频率不造我们上文分析到的邻频干扰,互调等,但当一个超级的大的信号作用于接收机前端电路后,由于接收机电路的非线性仍能造成对有用信号增益的降低或噪声提高,使接收机灵敏度下降,这种现象就是接收机的阻塞。
阻塞干扰实际上是一种非常古老的 RF 指标,早在雷达发明之初就有。其原理是以大信号灌入接收机(通常最遭殃的是第一级 LNA),使得放大器进入非线性区甚至饱和(所以,童鞋们啊,是不是所有接收机都需把放大器要搞大带宽呢???)。此时放大器的工作增益极具变小,同时还会伴随着极强的非线性,造成放大有用信号的功能就无法正常工作了。当然还有一种可能,就是AGC阻塞,当大的干扰信号到达AGC时,AGC将增益调低,但是此时有用信号有没有被正常放大,那么进入到解调器的有用信号幅度就不够。对解决阻塞干扰,主要是 RF模块上来想办法,一是把接收机的动态范围扩大,特别是IP3需要提高,二是,对于带外阻塞,滤波器的抑制度也是很重要的。谨慎考虑,很多接收机前端还会设计一个限幅器,以防接收机烧毁。
镜像抑制度
在上面提到的镜像抑制接收机和IQ零中频接收机中,虽然理论上可以完全抑制了镜像频率,但现实是残酷的,在实际工程实现的时候,由于I 路和Q路信号的相位和幅度不平衡限制了镜像抑制,因此我们在系统设计时会提出一个镜像抑制度(IRR)的概念。
IQ失配会导致正交调制输出信号中会出现镜像信号成分,本文进一步通过数学推导来定量地计算当存在IQ失配时的镜像抑制比,从而为接收机(发射机也是如此)设计指标确定提供一个定量的依据。
镜频抑制公式可以根据下图所示的简化的正交转换系统模型推导出。接收到的射频期望信由振幅归一化的频率和角度调制表示。假设 I 和 Q 通道中的所有不平衡都集中在正交 LO 信号的不平衡上,幅值归一化 I 和 Q 的 LO 信号表示为Cos(ŵlot)和(1 + &)Sin(ŵlot + £),其中&是幅度不平衡, £是相位不平衡。

省略中间的推导过程,由于IQ不平衡导致的信号镜像成分的大小IRR由期望的信号幅度与镜像信号幅度之比确定,单位为 dB,推导结果如下所示:

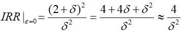
因此可以得到,当&=0, £ 很小时,

当&远远小于1, £ =0时,

所以,根据上面的近似公式,可以进一步地近似得到,当&远远小于1,£ 很小时:

如果要用dB表示的话,需要对上面的公式求一个对数。

由于篇幅原因,本篇博文的系统基础就讲到这里了,接下来的部分我们将进入器件层面来讨论下射频微波基础。我们将按照如下行文结构,继续介绍。如需观看完整文章,点击网址:1.3万字详解射频微波芯片设计基础知识(纯干货|射频系统架构和指标、仿真提取元件参数,芯片设计环境搭建)
作者:RFIC_抛砖
来源:1.3万字详解射频微波芯片设计基础知识(纯干货|射频系统架构和指标、仿真提取元件参数,芯片设计环境搭建)
关于RFASK射频问问
射频问问 (RFASK.NET) 是在"微波射频网 (MWRF.NET)”系列原创技术专栏基础上升级打造的技术问答学习平台,主要围绕射频芯片、微波电路、天线、雷达、卫星等相关技术领域,致力于为无线通信、微波射频、天线、雷达等行业的工程师,提供优质、原创的技术问答、专栏文章、射频课程等学习内容。更多请访问:www.rfask.net
最后
以上就是明亮小馒头最近收集整理的关于射频微波芯片设计3:射频微波芯片设计基础知识的全部内容,更多相关射频微波芯片设计3内容请搜索靠谱客的其他文章。
发表评论 取消回复