我是靠谱客的博主 高贵枫叶,这篇文章主要介绍《物理光学》之(一、光波)第一章 光在各向同性介质中的传播特性一、光波与电子波 麦克斯韦电磁方程 二、几种特殊形式的光波,现在分享给大家,希望可以做个参考。
第一章 光在各向同性介质中的传播特性
一、光波与电子波 麦克斯韦电磁方程
1.电磁波谱
其中,可见光:

由于光的频率极高,数值很大,使用起来很不方便,所以常用波长来表征。
2.麦克斯韦电磁方程
麦克斯韦电磁方程的物理意义:
3.物质方程
以上情况时在各向均匀同性的介质中,如晶体。
而在各向均匀异性的介质中,如空气,则如下:


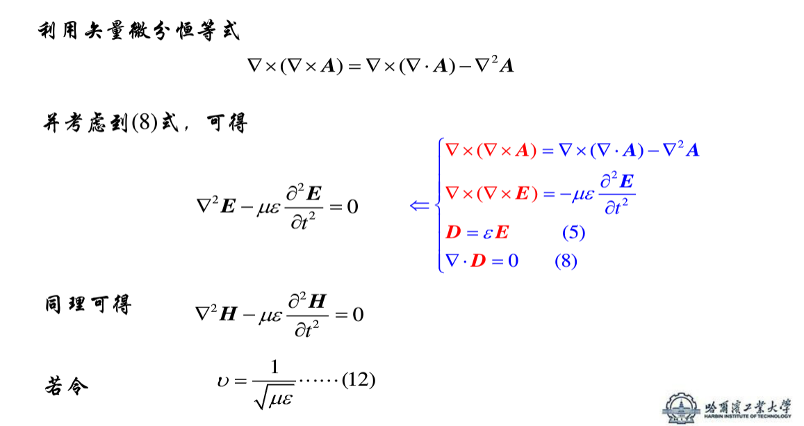
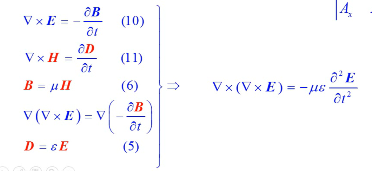
4.波动方程
上图表面,电场(E)与磁场(H)相垂直。

公式回顾:
故有:


5. 光电磁场的能流密度





若考虑不同介质的光强,比例系数不能省略。
二、几种特殊形式的光波

1.平面光波





单色平面光波






2.球面光波



3.柱面光波

4.高斯光束




最后
以上就是高贵枫叶最近收集整理的关于《物理光学》之(一、光波)第一章 光在各向同性介质中的传播特性一、光波与电子波 麦克斯韦电磁方程 二、几种特殊形式的光波的全部内容,更多相关《物理光学》之(一、光波)第一章内容请搜索靠谱客的其他文章。
本图文内容来源于网友提供,作为学习参考使用,或来自网络收集整理,版权属于原作者所有。













发表评论 取消回复