根据通信理论,单边带系统将功率全部转换到了有用信息的边带,使用的带宽只有双边带调制信号的一半,具有100%理论传输效率和2倍的频带利用率,成为一种广泛使用的方式。目前,通信设备大多采用单边带系统,信号处理过程的形象仿真,有助于相关设备的学习和研究。本文引用地址:http://www.eepw.com.cn/article/201612/328560.htm
1 单边带信号的调制解调的数学表达式
单边带(SSB)调制是调幅(AM)的一种特殊形式。
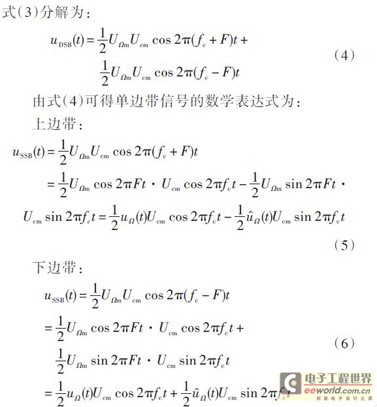
调幅信号是载波信号振幅按调制信号规律变化的一种振幅调制信号,调幅信号频谱由载频和上、下边带组成,被传输的信息包含在两个边带中,而且每一边带包含有完整的被传输的消息。仅传输一个边带(上边带或下边带)的调幅方式称为抑制载波的单边带调制,简称单边带调制。设单频基带信号为:


单边带信号的解调方法是相干法。在接收机中,用本地载波与接收的单边带信号相乘,输出的信号经过低通滤波器后,高频分量被滤除,最后得到解调输出的低频基带信号: 12UΩmUcm cos 2πFt。
2 单边带信号调制解调的过程
单边带调制的方法主要有滤波法和相移法。滤波法,就是从双边带信号中滤出一个边带信号,相移法则是利用信号的希尔伯特变换来实现。多频率实信号f(t)的希尔伯特变换就是将该信号中所有频率成分的信号分量移相 -π 2 而得到的新信号,记为 f (t)。 f (t)信号通过传递函数为 -j·sgn(ω) 的滤波器,即可得到f (t) .其中,具有传递函数 H(ω) = -j·sgn(ω) 的滤波器称为希尔伯特滤波器。根据式(5)、式(6)单边带信号的时域表达式,可以得到单边带调制信号相移法的一般模型框图。相移法的主要过程如图1所示。

3 SSB调制解调系统的仿真
Matlab包括许多标准函数,其信号处理工具可以解决通信中信号变换、调制解调、滤波、频谱估计、线性系统分析等多项功能,采用相移法调制、相干法解调对单边带原理进行仿真。取载波f=1 000 Hz,基带信号F=300 Hz,对上边带信号解调,低通滤波器设计四阶,截止频率为500 Hz,各部分信号波形如图3所示。由时域波形可以看出,仿真结果和SSB调制理论相符。Matlab作为一种功能强大的数据分析和工程计算语言,Simu-link是其中一个可视化方框图系统建模和仿真平台,在Simulink中建立单边带调制解调系统模型,系统框图如图4所示。
信号源模块采用Simulink 工具箱中用户自定义库中的Matlab Function模块来通过函数编程实现,以实现任意信号源的输入。在实际的系统设计中应考虑各种噪声、干扰,各模块参数的设置也要进行严格的分析和计算,以更好地实现系统的性能。

4 结语
通过对单边带信号处理过程的模拟仿真,得到形象生动的工作波形和实用的仿真模型,可以模拟各种输入信号的通信过程,结合相关通信设备的工作过程,能够取得事半功倍的效果,而且有助于相关虚拟仿真软件Matlab的使用。
最后
以上就是难过蛋挞最近收集整理的关于matlab信号仿真模型,对Matlab单边带信号处理得到生动的仿真模型的全部内容,更多相关matlab信号仿真模型,对Matlab单边带信号处理得到生动内容请搜索靠谱客的其他文章。
发表评论 取消回复