一、滤波器结构
1、IIR滤波器
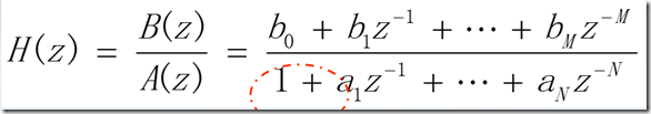
(1)系统函数

(2)差分方程

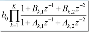
(3)级联形式:

(4)并联形式

2、FIR滤波器
(1)系统函数

(2)差分方程

(3)级联形式:

(4)线性相位的条件

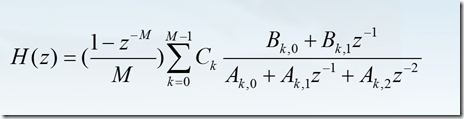
(5)频率抽样形式

二、Matlab函数实现
1、IIR滤波器
(1)直接型实现:

(2)级联型实现:

A、变直接型为级联形式
[b0,B,A]=dir2cas(b,a)
B、滤波器的级联实现:
y=casfiltr(b0,B,A,x)
[b,a]=cas2dir(b0,B,A)
(3)并联型实现
•变直接形式为并联形式:
[C,B,A]=dir2par(b,a)
•滤波器的并联实现:
y=parfiltr(C,B,A,x)
•变并联形式为直接形式
[b,a]=par2dir(C,B,A)

2、FIR滤波器
(1)直接型:
Y = fiter(b,1,x)
(2)级联型
[b0,B,A]=dir2cas(b,1)
(3)频率抽样型:
•变h(n)值形式为频率取样形式
[C,B,A]=dir2fs(h)
最后
以上就是冷静钢笔最近收集整理的关于数字信号处理实验(四)——数字滤波器结构的全部内容,更多相关数字信号处理实验(四)——数字滤波器结构内容请搜索靠谱客的其他文章。
本图文内容来源于网友提供,作为学习参考使用,或来自网络收集整理,版权属于原作者所有。
发表评论 取消回复