
点击箭头处蓝色字 “iFTrue未来已来”关注我哦~
核心概览
——《电力电子基础 Power Electrics》系列(之)控制器设计 1 概述 2 负反馈对网络传递函数的影响2.1 反馈环节的特点:减小“扰动-输出”传递函数
2.2 反馈环节的特点:降低“给定-输出”传递函数对前向通道增益变化的敏感性 3 重要参量1/(1+T)与T/(1+T)的释义 4 稳定性 4.1 相角裕度测试
4.2 相位裕度与闭环阻尼系数的关系 5 调节器设计
5.1 超前校正器(PD)
5.2 滞后校正器(PI)
5.3 超前-滞后(PID)校正器
5.4 设计举例 6 开环增益的测量
6.1 电压注入法
6.2 电流注入法
6.3 不稳定系统的测量 7 关键点总结
3 重要参量1/(1+T)与T/(1+T)的释义
▼
在上一节中(《反馈对网络传递函数的影响》),我们可以看到在负反馈系统中,“扰动-输出”闭环传递函数和“给定-输出”闭环传递函数中都包含开环传递函数T(s)这一因子,因而我们可以通过分析开环传递函数T(s)的特性来确定负反馈系统的特性。并且“扰动-输出”闭环传递函数和“给定-输出”闭环传递函数中含有1/(1+T(s))与T(s)/(1+T(s))两个参量,因此我们对这两个参量所代表的意义进行分析。
为了便于说明,我们举一个具体的例子,如图3.1所示的波特图,其对应的开环传递函数为:


图3.1 开环增益波特图示例
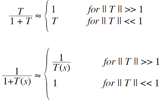
这个例子看起来似乎有点复杂,然而实际开关电源的开环增益往往更为复杂,可能包含4个、5个或更多的极点,但这个例子可以代表我们常见的稳定系统。所以我们可以采用形如图3.1所示的图解法来简化问题。在分析参量|| T/(1+T) ||和|| 1/(1+T) ||的意义之前,首先来看下二者在特定条件下的近似值。
1/(1+T)与T/(1+T)的近似值
当|| T || = 1时,即其对数幅频特性为0dB时,所对应的频率fc称为截止频率,如图3.1所示。由图3.1可知,当频率远远小于截止频率时,即在低频段时,|| T || >> 1,因而1+T ≈ T,则|| T/(1+T) || ≈ 1;当频率远远大于截止频率时,即在高频段时,|| T || << 1,因而1+T ≈ 1,则|| T/(1+T) || ≈ T。
同理,我们可以由图3.1看出,当频率远远小于截止频率时,即在低频段时,|| T || >> 1,则|| 1/(1+T) || ≈ T;当频率远远大于截止频率时,即在高频段时,|| T || << 1,则|| 1/(1+T) || ≈ 1。

T/(1+T)释义
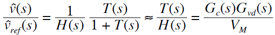
首先给出结论:参量T/(1+T)对“给定-输出”闭环传递函数有重大影响,其可以反映出低频段时输出电压对给定电压的跟随性。下面进行图形分析。
通过对参量T/(1+T)的近似,我们可以很方便的绘出其所对应的对数幅频特性曲线:当频率较低(f < fc)时,T/(1+T)对数幅频特性近似线接近0dB,当频率较高(f > fc)时,T/(1+T)对数幅频特性近似线跟随T的对数幅频特性近似线,如图3.1所示。

图3.2 || T/(1+T) ||近似线的图形释义
由图3.1可知,当频率远远小于截至频率(低频段)时,开环增益T(s)有较大的幅值。“给定-输出”闭环传递函数可以近似为

此时,上式表现的是一种期望的系统特性:低频段时,输出电压根据理想增益1/H(s)跟随给定电压。
当频率远远大于截至频率(高频段)时,|| T || < 1,此时T/(1+T) ≈ T,“给定-输出”闭环传递函数为

这时的传递函数与“给定-输出”的开环传递函数是一样的,也就是高频段时,相当于移除的反馈环路的作用,反馈环路已经无力抑制干扰,这是由于受到了开环传递函数T带宽的限制,而这是我们不希望得到的特性。
1/(1+T)释义
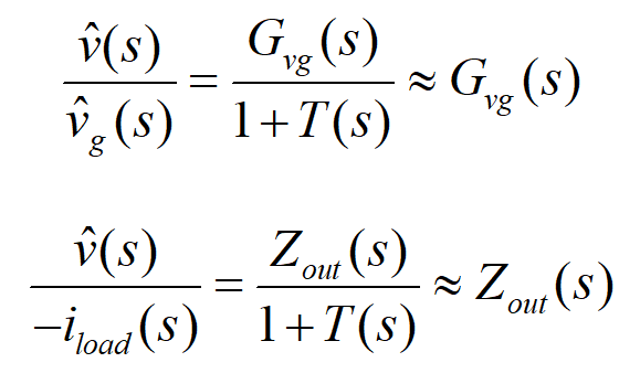
同样先给出结论:参量1(1+T)对“扰动-输出”闭环传递函数有重大影响,其可以反映出低频段时系统对扰动量(包括线路扰动和负载扰动)的抑制能力。下面进行图形分析。
当频率较低(f < fc)时,|| T || >> 1,1/(1+T) ≈ 1/T,1/(1+T)对数幅频特性近似线接近1/T对数幅频特性近似线(-| T |dB);当频率较高(f > fc)时,|| T || << 1,1/(1+T) ≈ 1,1/(1+T)对数幅频特性近似线接近0dB。如图3.3所示。

图3.3 || 1/(1+T) ||近似线的图形释义(精确曲线被省略)
当频率远远小于截至频率(低频段)时,开环增益T(s)有较大的幅值。“扰动-输出”传递函数为

Gvg(s)为原始开环传递函数,可以看出,闭环传递函数的模减小到1/T(s)倍,说明系统对扰动量的抑制了使得扰动量减小到1/T(s)倍。例如,期望扰动传递函数在120Hz的位置减小20倍,则只需要开环传递函数在120Hz的位置对数幅值为(20→26dB)。
对于输出阻抗,存在同样的现象。在频率小于截至频率(低频段)时的闭环输出阻抗为

输出阻抗同样减小了1/T(s)倍,因而当负载电流存在变动时,系统对其的抑制使得其反应在输出电压上的值减小到了1/T(s)倍。
当频率大于截至频率(高频段)时,|| T || << 1,1/(1+T) ≈ 1

这个结果对于扰动回路和输出阻抗是相同的,可以由上式看出高频段时系统对扰动的抑制仅由开环传递函数决定,表明此时反馈环路将对扰动环节影响甚小,已经无力抑制干扰,这是由于受到了开环传递函数T带宽的限制。因而在设计系统时,开环传递高频段通常要保证能够以-40dB/dec衰减且模足够小。
▼
综上所述,系统开环传递函数在校正时需要保证在低频段有较大的增益,以增强系统输出对给定的跟随性和对扰动的抑制能力;而在高频段时需要保证有迅速衰减且足够小,以增强系统对高频扰动的抑制能力。
加入技术交流群行业精英,快来加入
欢迎加入交流群,本群供大家进行交流,电力电子、电力传动、DSP控制器、软件算法,只要你有问题都可以在这里交流。
因目前群人数超200人,仅能邀请加入,请添加以下微信,由我拉你入群,注明:加群 + 从事/研究方向,例如:加群 逆变器软件

「 加入交流群 」
最后
以上就是活力狗最近收集整理的关于matlab如何绘制传递函数对数幅频特性_开环传递函数是怎样影响系统的?重要参量1/(1+T)与T/(1+T)的释义...的全部内容,更多相关matlab如何绘制传递函数对数幅频特性_开环传递函数是怎样影响系统内容请搜索靠谱客的其他文章。
发表评论 取消回复