我是靠谱客的博主 彩色鞋子,这篇文章主要介绍方程的根的个数C语言xtu_《自动控制原理》——根轨迹法,现在分享给大家,希望可以做个参考。

根轨迹:闭环系统的特征根随某参数从0到∞变化时的轨迹线。

绘制根轨迹的意义:可以分析系统性能,看出系统的稳准快三项指标随参数的变化会发生什么。

2466c3fafcd751828ecae6be9878dcd9.png
定义:当参数Kr从0→∞变化时,特征方程的根在复平面上形成的轨迹为根轨迹。

闭环极点:与开环零点、开环极点及 K* 均有关

闭环零点:前向通道零点 + 反馈通道极点

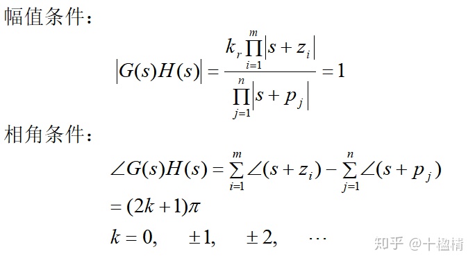
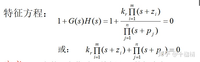
根轨迹的幅值相角条件

7835e45c7d05c717c4b74b252ed93632.png
根轨迹上点的必须满足幅值、相角条件

根轨迹的绘制

(一)根轨迹的起点和终点

轨迹起始于开环极点,终止于开环零点;如果开环零点个数少于开环极点个数,则有 n-m 条根轨迹终止于无穷远处。

起点:对应于kr=0

终点:对应于kr→∞

根轨迹起始于开环传递函数的极点终止于开环传递函数的零点。零点包括m个有限零点和(n-m)个无限零点。

(2) 根轨迹的分支数和对称性

根轨迹的分支数等于开环传递函数的极点数。根轨迹对称于实轴。

(3) 根轨迹在实轴上的分布

从实轴上最右端的开环零、极点算起,奇数开环零、极点到偶数开环零、极点之间的区域必是根轨迹。

两个极点,一个零点时根轨迹的绘制
定理:系统有2个开环极点,1个开环零点,且在复平面存在根轨迹, 则复平面的根轨迹一定是以该零点为圆心的圆弧。

4d94e38bd26ae5d2026e22f5676083dd.png
当n-m>2时,闭环极点之和=开环极点之和为一常数

529223ce96b35dd3256e2c040956cfb1.png

(4) 根轨迹的渐近线

确定了n > m时,n-m条根轨迹分支趋于无穷远处的规律。

c5731d5cafaed8090d803f4e56f46b73.png
σ是渐近线与实轴的交点,等于所有n个开环极点减去m个开环零点。φ是渐近线与实轴正方向的夹角。

(5) 根轨迹的分离点与会合点

试根法,求出近似值

cd4a08adc2ea98c284ef12e180c61186.png
分离点d减去所有开环极点的倒数和等于分离点d减去所有开环零点的倒数和。(无零点时右端写为0)

(6) 根轨迹与虚轴的交点

两种求解方法:

用特征方程的实部、虚部方程求解(s=jw)

用劳斯表求解

10c24ecf90ad90d32f9dc3945bf9854c.png
两种解法

(7) 根轨迹在开环复极点和复零点的出射角与入射角

c2a91048fb4c2b0851bdc527f32dc45a.png

画根轨迹思路:开环传递函数,特征方程,确定n、m,实轴上的轨迹,渐近线,一道题对应的根轨迹不需使用所有的法则,但在特定情况下用什么法则应该清楚。

最后

以上就是彩色鞋子最近收集整理的关于方程的根的个数C语言xtu_《自动控制原理》——根轨迹法的全部内容,更多相关方程内容请搜索靠谱客的其他文章。

本图文内容来源于网友提供,作为学习参考使用,或来自网络收集整理,版权属于原作者所有。
点赞(214)

评论列表共有 0 条评论

立即
投稿
返回
顶部