目录
一、建立线性系统的输入-输出时间描述函数
二、传递函数
1、传递函数
2、传递函数的几点说明
3、传递函数的求取方法
三、典型环节的数字模型
1、比例环节
2、惯性环节
3、积分环节
4、微分环节
5、振荡环节
6、纯滞后环节
四、控制系统的动态结构图
1、框图描述概述
2、典型环节的框图表示
3、结构图化简规则 (重点!!!)
4、方框图简化法求系统传递函数的一般步骤
五、信号流图
1、信号流程图的组成要素及其术语
2、信号代数运算法则
3、根据方框图绘制信号流图
六、梅逊公式及其应用
1、梅逊公式
2、应用梅逊增益公式求传递函数的一般步骤
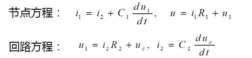
一、建立线性系统的输入-输出时间描述函数

- 确定输入量为u,输出量为uc
- 分析电路的工作原理,假设电阻是理想电阻器,电容也是理想的电容器;
- 根据基尔霍夫定理列写方程

4.消去中间变量求出描述系统输入-输出关系的微分方程。

Ps:常用的拉氏变换公式

二、传递函数
1、传递函数
线性定常系统在零初始条件下,系统输出量的拉氏变换与输入量的拉氏变换之比。
2、传递函数的几点说明
1、作为一种数学模型,传递函数只适用于线性定常系统,这是由于传递函数是经拉普拉斯变换导出的,而拉式变换是一种线性积分运算。
2、线性定常系统或元件的线性定常微分方程与传递函数一一对应,它们是在不同域对同一系统或元件的描述。
3、传递函数是表征线性定常系统或元件自身的固有特性,它与其输入信号的形式无关,但和输入信号的作用位置及输出信号的取出位置有关。所以谈到传递函数,必须指明输入量和输出量。
4、传递函数是复变量的有理分式,且分子、分母多项式的各项系数均为实数,分母多项式的次数大于等于分子多项式的次数,。
5、传递函数是在零初始条件下定义的。控制系统的零初始条件有两层含义:
一是指输入量在时间才起作用;
二是指输入量加于系统前,系统处于稳定工作状态。
6、传递函数只表示单输入和单输出(SISO)之间的关系,对多输入多输出(MIMO)系统,可用传递函数阵表示。
7、传递函数式可表示成式中,为分母多项式的根,称为传递函数的极点;为分子多项式的根,称为传递函数的零点;称为传递函数的增益。
8、传递函数的分母多项式称为特征多项式,记为而称为特征方程。
传递函数分母多项式的阶数总是大于或等于分子多项式的阶次,即。这是由于实际系统的惯性所造成的。
9、实际工程中,许多不同的物理系统具有完全相同的传递函数,所以传递函数只描述了输出与输入之间的关系,并不提供任何有关该系统的物理结构。
10、一个传递函数只适用于单输入、单输出系统,因而信号在传递过程中的中间变量是无法反映出来的。
11、对于系统未知的传递函数,可通过给系统加上已知特性的输入,再对其输出进行研究,就可以得到该系统传递函数,并可以给出其动态特性的完整描述。
12、传递函数的拉式反变换是系统对应的脉冲响应。
3、传递函数的求取方法

三、典型环节的数字模型
1、比例环节
特点:输入量输出量之间的关系为固定比例关系c(t)=Kr(t)
传递函数: G(S)=C(S)/R(S)=K(S)
常见的物理系统:
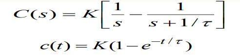
2、惯性环节
特点:输入量输出量之间的关系满足下列微分方程
![]()
传递函数:

τ—时间常数 K—比例系数
单位阶跃响应:
r(t)=1(t) R(s)=1/s
C(s)=G(s)R(s)=(K/τs+1)×(1/s)

常见物理系统:
直流电机

3、积分环节
特点:输入量输出量之间的关系满足下列方程

传递函数:

单位阶跃响应:

常用物理系统:
电机拖动系统

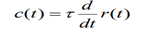
4、微分环节
特点:

传递函数:

单位阶跃响应:

常见的物理系统:
RC电路

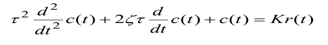
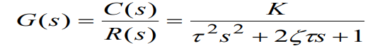
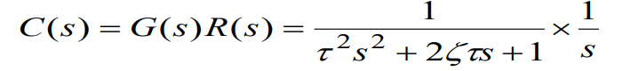
5、振荡环节
特点:输入量输出量之间的关系满足下列方程

传递函数:

τ—时间常数 ζ—阻尼系数(阻尼比)
单位阶跃响应:
令K=1



(第三章内容)
6、纯滞后环节
特点:输入量输出量之间的关系满足下列方程
![]()
传递函数:

单位阶跃响应:延迟单位脉冲函数
四、控制系统的动态结构图
1、框图描述概述
自动控制系统的数学模型有框图和和信号流程图两种描述方法。框图又称为方块图或结构图,把系统或环节用一个方框表示。

2、典型环节的框图表示

3、结构图化简规则 (重点!!!)



4、方框图简化法求系统传递函数的一般步骤
(1)观察系统中是否存在相互交错的局部反馈回路;
(2)通过汇合点和引出点的秱动消除交错回路;
(3)先求出并联环节和具有局部反馈环节的传递函数,然后求出整个系统的传递函数。
五、信号流图
1、信号流程图的组成要素及其术语
节点:表示系统中的信号或变量。其值等于所有进入该节点的信号之和。
支路:起于一个节点,终止于另一个节点,而这两个节点之间不包含或经过第三个节点。用支路增益(传递函数)表示两个变量的因果关系,支路相当于乘法器,信号在支路上沿箭头单向传递。
![]()
出支路:离开节点的支路。
入支路:指向节点的支路。
源节点:只有输出的节点,代表系统的输入变量。
汇节点:只有输入的节点,代表系统的输出变量。
混合节点:既有输入又有输出的节点。若从混合节点引出一条具有单位增益的支路,引出信号为输出节点。

通道:又称路径,从一个节点出发,沿着支路的箭头方向相继经过多个节点的支路。
开通道:如果通道从某节点开始,终止在另一个节点上,而且通道中每个节点只经过一次。
前向通路:从输入节点到输出节点的通路上通过任何节点不多于一次的通路。前向通路上各支路增益总乘积,称前向通路总增益,一般用pk表示。
回路:起点不终点重合且通过任何节点不多于一次的闭合通路。回路中所有支路增益总乘积称为回路增益,用Lk表示。
不接触回路:相互间没有任何公共节点的回路。
2、信号代数运算法则

3、根据方框图绘制信号流图
转换规则:
1、用支路代替方框中的环节,支路增益为环节的传递函数。
2、方框图中的信号用节点表示。
3、综合点的符号在支路增益中体现。
六、梅逊公式及其应用
1、梅逊公式
梅逊公式的表达式为:
:待求的总传递函数。
称为特征式。
:所有回路(条)的回路增益之和。
:所有两两互不接触回路(条)的回路增益乘积之和。
:所有三三互不接触回路(条)的回路增益乘积之和。
:从输入节点到输出节点第条前向通路的增益。
:在中,将与第条前向通路相接触的回路去掉后所余下的部分的,称为余子式。
:从输入节点到输出节点所有前向通路的条数。
例题:


2、应用梅逊增益公式求传递函数的一般步骤
1、确定前向通道数n=?
2、计算各前向通道的增益P1,P2,P3….
3、确定回路数,并计算![]()
4、计算特征式∆
5、计算余子式∆k
6、计算传递函数
最后
以上就是甜甜御姐最近收集整理的关于自动控制原理笔记二(线性系统的数学模型)一、建立线性系统的输入-输出时间描述函数二、传递函数三、典型环节的数字模型 3、积分环节 四、控制系统的动态结构图五、信号流图六、梅逊公式及其应用的全部内容,更多相关自动控制原理笔记二(线性系统内容请搜索靠谱客的其他文章。
发表评论 取消回复