命令集
[time,x]=solver(str,t,x0) 计算ODE或由字符串str 给定的ODE的值,部分解已在向量time中给出。在向量time
中给出部分解,包含的是时间值。还有部分解在矩阵x中给出,x的列向量每
个方程在这些值下的解。对于标量问题,方程的解将在向量x中给出。这些解
在时间区间t(1)到t(2)上计算得到。其初始值是x0 即x(t(1)).此方程组有str 指定的
M文件中函数表示出。这个函数需要两个参数:标量t 和向量x, 应该返回向量
x’(即x的导数)。因为对标量ODE来说,x和x’都是标量。在M文件中输入odefile
可得到更多信息。同时可以用命令numjac来计算Jacobi函数。
[t,x]=solver(str,t,x0,val) 此方程的求解过程同上,结构val包含用户给solver的命令。参见odeset和表1,可得到更多信息。
Ode45 此方法被推荐为首选方法。
Ode23 这是一个比ode45低阶的方法。
Ode113 用于更高阶或大的标量计算。
Ode23t 用于解决难度适中的问题。
Ode23s 用于解决难度较大的微分方程组。对于系统中存在常量矩阵的情况也有用。
Ode15s 与ode23相同,但要求的精度更高。
Ode23tb 用于解决难度较大的问题,对于系统中存在常量矩阵的情况也有用。
Set=odeset(set1,vak1,set2,val2,…) 返回结构set,其中包含用于ODE求解方程的设置参数, 有关可用设置
的信息参见表1。
Odeget(set,’set1’) 返回结构set中设置set1的值。
有许多设置对odeset控制的ODE解是有用的,参见表1。例如,如果要在求解过程中画出解的图形,可以
输入:inst=odeset(‘outputfcn’,’odeplot’);.也可使用命令odedemo。
表1 ODE求解方程的设置参数
RelTol 给出求解方程允许的相对误差
AbsTol 给出求解方程允许的绝对误差
Refine 给出与输入点数相乘的因子
OutputFcn 这是一个带有输入函数名的字符串,该字符串将在求解函数执行的每步被调用:odephas2(画出2D
的平面相位图)。Odephas3( 画出3D 的平面相位图),odeplot( 画出解的图形),odeprint( 显示中间结
果)
OutputSel 是一个整型向量。指出哪些元素应该被传递给函数,特别是传递给OutputFcn
Stats 如果参数Stats为on,则将统计并显示出计算过程中资源消耗情况
Jacobian… 如果编写ODE文件代码以便F(t,y,jocobian)返回dF/dy,则将jacobian设置为on
Jconstant…如果雅可比数df/dy是常量,则将此参数设置为on
Jpattern… 如果编写ODE文件的编码以便函数F([],[],jpattern)返回带有零的稀疏矩阵并输出非零元素dF/fy,则
需将Jpattern设置为on
Vectorized…如果编写ODE文件的编码以便函数F(t,[y1,y2……])返回[F(t,y1) F(t,y2)…],则将此参数设置成on
Events… 如果ODE文件中带有参数‘events’,则将此参数设置成on
Mass… 如果编写ODE文件编码以实现函数F(t,[],‘mass’)返回M和M(t),应将此参数设置成on
MassConstant…如果矩阵M(t)是常量,则将此参数设置成on
MaxStep… 此参数是限定算法能使用的区间长度上限的标量
InitialStep… 给出初始步长的标量。如果给定的区间太大,算法就使用一个较小的步长
MaxOrder… 此参数只能被ode15s使用,它主要是指定ode15s的最高阶数,并且此参数应是从1到5的整数
BDF… 此参数只能被ode15s使用,如果倒推微分公式而不是用通常所使用的微分公式,则要将它设置为
on
NormControl…如果算法根据norm(e)<=max(Reltol*norm(y),Abstol)来步积分过程中的错误,则要将它设置成on
例1
求解x’=-x^2 初值x(0)=1
创建函数xprim1,将此函数保存在M文件xprim1.m中:
function xprim=xprim1(t,x)
xprim=-x.^2;
然后调用MATLAB的ODE算法求解方程。然后画出解的图形:
[t,x]=ode45(‘xprim1’,[0,1],1);
plot(t,x,’-‘,t,x,’o’);
xlabel(‘time t0=0,tt=1’);
ylabel(‘x values x(0)=1’);
或者
首先创建xprim2,将此函数保存在M文件xprim2.m中:
function xprim=xprim2(t,x)
xprim=x.^2;
然后调用MATLAB的ODE算法求解方程。然后画出解的图形:
[t,x]=ode45(‘xprim2’,[0,0.95],1);
注意:在MATLAB中计算出的点在微分绝对值大的区域内更密集些。
如果想在图像中直接观察,则在代码后输入以下命令
plot(t,x,’o‘,t,x,’-’);
xlabel(‘time t0=0,tt=0.95’);
ylabel(‘x values x(0)=1’);
例2求解下列二元一阶微分方程组
X1’=X1-0.1X1X2+0.01t
X2’=-X2+0.02X1X2+0.044
X1(0)=30
X2(0)=20
这个方程组用在人口动力学中。可以认为是单一化的捕食者---被捕食者模式。例如,狐狸和兔子。表示被捕食者, 表示捕食者。如果被捕食者有无限的食物,并且不会出现捕食者。于是有,这个式子是以指数形式增长的。大量的被捕食者将会使捕食者的数量增长;同样,越来越少的捕食者会使被捕食者的数量增长。而且,人口数量也会增长。
创建xprim3,将此函数保存在M文件xprim3.m 中:
function xprim=xprim3(t,x)
xprim=[x(1)-0.1*x(1)*x(2)+0.01*t; …
-x(2)+0.02*x(1)*x(2)+0.04*t];
然后调用一个ODE算法和画出解的图形:
[t,x]=ode45(‘xprim3’,[0,20],[30;20]);
plot(t,x);
xlabel(‘time t0=0,tt=20’);
ylabel(‘x values x1(0)=30,x2(0)=20’);
在MATLAB中,也可以根据x2函数绘制出x1图形,命令plot(x(:2),x(:1)) 可绘制出平面相位图.
例3 带参数的微分方程
X1’=a-(b+1)X1+X1^2X2
X2’=bX1+X1^2X2
X1(0)=1
X2(0)=3
方程由下面的M文件stiff1.m定义:
functionstiff=stiff1(t,x)
global a; %变量不能放入参数表中
glabol b;
stiff=[0,0]; %stiff必须是一个冒号变量
stiff(1)=a-(b+1)*x1+x(1)^2*x(2);
stiff(2)=b*x(1)-x(1)^2*x(2);
下面的M文件给出一个比较困难的问题:
global a;a=100;
global b;b=1;
tic;
[t,X]=ode23(‘stiff1’,[0 10],[1 3]);
toc
size(t)
运行后得到的结果如下:
elapsed_time=72.1647
ans=34009
用专门解决复杂问题的解法ode23s,将得到较好的结果:
elapsed_time=1.0098
ans=103
对于边界值问题,除了微分方程,还有边界处的值。在一维下这意味着至少有两个条件。
例4假设要研究一根杆的温度分布情况。这根杆一端的温度是T0,另一端的温度是T1。令y(x)表示这根杆的温度,函数f(x)表示加热源。从时间t=0开始,在相当长的时间内加热这根杆,直至达到平衡状态。这就是所谓的定常值或稳定状态。这个定常值可由下面的方程模型表示:
-Y’(X)=f(X),0<X<1
Y(0)=T0
Y(1)=T1
假设这根杆两端为:x=0和x=1。
假设在其两端又一根固定的柱子(或者可以看成是一个连接两个岛屿的桥),如图7所示。
令y(x)表示加载函数g(x)后弯曲的柱子。此问题需要有两个关于此柱子两端的边界条件。假设这根柱子非常牢
固的固定在墙上,即y在墙上的导数是0。可以得到下面的ODE,其中介绍了自然协调系统:
Y’’’(X)=g(x),0<X<1
Y(0)= Y’(0)= Y(1)= Y’(1)=0
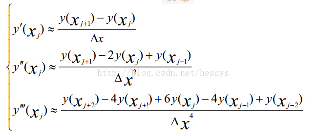
解y(x)的导数可由有限的差分代替
如果用这些差分方程来代替ODE中的导数,就能得到一个所有未知的yi的方程组。其系数矩阵是一个有序区
间,此区间的宽度决定于这个微分方程的导数个数.
根据前面的温度模型的方程研究一下杆的温度分布,将所有的导数换成不同的差分并得到:
其中fj=f(xj)。为了简单起见,设M=6,即给定的y0和y6,而y1,y2,….y5 为未知变量。于是就有
注意,y0=T0和yM=T1必须移到方程组的右边。此时得到的矩阵是一个对角矩阵,其对角线上的元素为2,并且上一对角线和下一对角线上的元素为1。
下面解此问题的文件temperature.m。用户必须先给出分段数及f(x)(用点符号),最后给出T0和T1。有关稀疏矩阵的更多信息参见其他资料。
%杆上的温度分布,用T0和T1分别表示两端温度
%这根杆放在x坐标的0和1 区间上,并被分成M个子区间,每个子区间的长度为1/M
%创建稀疏矩阵方程Ax=b并求解
%矩阵A对角阵,并以稀疏矩阵的形式存储
clear;
M=input(‘Give the number ofsubintervals (M):’);
Deltax=1/M;
xx=0:deltax:1;
funcStr= input(‘give f(x),the extra heatsource(e.g.,x.^3):’,’s’);
T0=input(‘Give y(0) (left): ’);
T1=input(‘Give y(1) (right): ’);
%构造对角阵和方程右边b
vectorOnes=ones(M-1,1);
A=spdiags([-vectorOnes,2*vectorOnes,-vectorOnes],[-1 0 1],M-1,M-1);
x=xx(2:end-1); %x为区域内的值。
f=eval(funcStr); %响应的f(x)的值。
b=deltax^2f;
b(1)=b(1)+T0; %对边界值x=0,x=1 进行特殊处理。
b(end)=b(end)+T1;
b=b’;
%解线性方程
y=Ab; %y在区间内:j=1:M-1.
y=[T0;y;T1]; %y在整个区间内:0<=x<=1.
clf;
%上面图形表示外部热源。
%下面图形表示杆上的热分布。
subplot(2,1,1);
plot(x,f);
grid on;
title(‘External heatsource f(x).’,’FontSize’,14);
subplot(2,1,2);
plot(xx,y,’r’);
grid on;
title(‘Tempearture distribution in a rod.’,’FontSize’,14);
%将区间分成等份,根据方程f(x)=在图中可以得到解。

例5 Matlab 中二阶常微分方程的数值解法
y''-3y'+2y=1; y(0)=1; y'(0)=0; 用数值解法求y(0.5)
odefun=@(t,x)[x(2);3*x(2)-2*x(1)+1];
[t,y]=ode45(odefun,[0:0.01:2],[1 0]);
plot(t,y)
[t y]
结果
y(0.5000)=0.7896
y= dsolve('D2y-3*Dy+2*y=1','Dy(0)=0','y(0)=1');
>> y
y =exp(t) - exp(2*t)/2 + 1/2
>> feval(@(t)exp(t) - exp(2*t)/2 +1/2,0.5)
ans = 0.7896
例6求解范德普方程
首先是函数定义:
function xdot = myFcn (t, x)
xdot = [x(2) ; u(1-x(1)^2)*x(2)-x(1)]
其次是主程序:
% Solving options predetermined
options=odeset('OutputFcn',@odephas2,'reltol',1e-5);
% Solving vdp equation withdifferent ini conditions
for a = -3 : 0.1 : 3
b1=sqrt(25-a^2);
b2=-sqrt(25-a^2);
% Solve the problem
[t,y]=ode45(@myFcn, [0 20],[a b1], options);
hold on
[t,y]=ode45(@myFcn, [0 20],[a b2], options);
hold on
end
grid on
例7x1.^2-10x1+x2.^2+b=0
x1*x2.^2+x1-10x2+8=0
用MATLAB实现,编写非线性方程组的M文件fx1.m如下所示:
function y=fx1(x)
y(1)=x(1)*x(1)-10*x(1)+x(2)*x(2)+8;
y(2)=x(1)*x(2)*x(2)+x(1)-10*x(2)+8;
y=;
编写非线性方程组导数的M文件dfx1.m
function y=dfx1(x)
y(1)=2*x(1)-10;
y(2)=2*x(2);
y(3)=x(2)*x(2)+1;
y(4)=2*x(1)*x(2)-10;
y=;
附一篇文章《用MATLAB求解非线性微分方程》
原始地址:http://blog.csdn.net/anhuixue/article/details/7560558
总结一下MATLAB中求解微分方程的思路和步骤。MATLAB中的帮助文件,内容实在是特别给力,简明的不能再简明了。可惜了是英文写的,即使是天天要面对英语的我,也颇为头疼。那么以下我将结合我对MATLAB中帮助文档的理解,提出我对求解最简单微分方程的方法的总结。以求解一个经典的非线性方程为例。
一求解一下这个方程,判断她是否稳定。要是稳定,那么她是否存在极限环;
二.一般的计算机求解方程的方法:
首先把该方程改写成一个规范的形式,一般使用状态空间表示法;
调用已有的算法进行求解;
最后对得出的结果进行处理,比如画图之类的。
三.输入待求解的方程。
MATLAB中关于输入输入待解方程的语句特别简单。需要先定义一个普通函数,函数名任意,姑且叫做myFcn,格式如下
function xdot = myFcn (t, x)
需要注意的是,函数必须含有t, x两个参数,名称可以自己任意定。xdot是这个函数本身的返回值,只出现在这个函数内部,因此也可以任意定。
定义中的x被视为是一个列向量,x(i)表示列向量中的第i个分量。那么F函数的每一个分量即简单地用表达时给出即可。其中的自变量可以引用x(i)。以范德普方程为例:
xdot = [x(2) ; u(1-x(1)^2)*x(2)-x(1)]
于是,这两句话便构成了待解函数。
四.调用MATLAB函数进行求解
通常人工求解微分方程需要知道初始值,计算机求解也不例外。另外,由于非线性方程一般只有数值解,故计算精度也可以调整。这些都是可以自己调整的参数。
调用MATLAB计算求解常微分方程的模式很简单,格式为:
[t, x] = ode45(@myFcn, [开始时间 结束时间], [初始值列向量],options)
注意到求解出来的结果是[t, x]即一堆数,所以需要我们进行后处理比如画图之类的。
ode45表示了MATLAB中的一种内置计算微分方程的算法,最为常用,出于娱乐目的,就先用这个。
@表示待求解的方程,如myFcn。
[开始时间 结束时间]表示求解的时间段,不必定义间隔。
[初始值列向量]就不用多说了。通常在求解之前定义一个变量x0列向量表示初始值,然后输入起来就方便多了。
options本身是一个变量。注意,她的名称不固定,但是他是一个以结构体为类型的变量。options很重要,稍后讨论。
五.进行后处理。在得到[t, x]后可以自己用plot神马的进行画图。
六.options的用法。
options在MATLAB帮助中是这样定义格式的:
options = odeset (“Name”, Value, “Name”, Value, …)
意思是,options这个变量要用到odeset这个函数来对他进行赋值。而odeset这个函数的参数必须是成对出现的:一个名称对应一个数值。
我们要用到的是这样的:
options= odeset(“OutputFcn”, @odephas2,“reltol”, 1e-5);
注意,odeset中的参数名称不可任意定,因为都是预定义好的。”OutputFcn”使用预定义的函数进行输出,而与定义的函数有好几种,使用@进行选择,我们选odephas2即画相平面图(phase portrait)。之后的那个参数表示相对误差的最大允许值,不说也明白。
有一个问题,用odephas2画出的图图不好看,因为上面打了好多圈圈。解决办法是找到该文件,修改其中所有的plot语句即可,把那个”-o”去掉就行了。
最后
以上就是含蓄电脑最近收集整理的关于微分方程的Matlab解法的全部内容,更多相关微分方程内容请搜索靠谱客的其他文章。




发表评论 取消回复