-3dB 也叫半功率点或截止功率点,该点的功率为其总功率的一半。
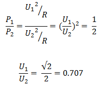
对于低通频率响应,随着信号的频率增加到一定的程度信号幅度会开始衰减。当信号的功率衰减到原有的一半时候有:

在坐标轴上对应的-3dB位置称为【半功率点】,如果用信号幅度(即电压)的变化来做衡量,因为功率与电压是平方关系,所以信号幅度衰减为原来的0.707倍的时候即半功率点

通常以-3dB位置为通带的截止频率,或者为通带与阻带之间的划分。对于通带的平坦度与阻带的衰减幅度,不同类型的滤波器有不同的表现。

对于高通电路而言,频率为-3dB时的频率称为高通电路的下限频率。
对于低通电路而言,频率为-3dB时的频率称为低通电路的上限频率。
半功率点,在输入信号幅值保持不变的条件下,增益下降了3dB的频率点,其输出功率约等于中频区输出功率的一半。
这时功率是正常功率的一半,电压或电流是正常时的 0.707。在电声系统中,±3dB 的差别被认为不会影响总特性。所以各种设备指标,如频率范围,输出电平等,不加说明的话都可能有 ±3dB 的出入。随着输入频率上升,放大电路的电压放大倍数将下降,当电压幅度降至最大值的 0.707 倍时的位置为截止频率。这时功率恰好是最大功率的一般所以又称为是半功率点。用分贝表示正好下降了 3dB,对应的频率称为上截止频率,又常称为 -3dB 带宽。
最后
以上就是笨笨茉莉最近收集整理的关于模电——半功率点(-3dB)什么意思?的全部内容,更多相关模电——半功率点(-3dB)什么意思内容请搜索靠谱客的其他文章。
本图文内容来源于网友提供,作为学习参考使用,或来自网络收集整理,版权属于原作者所有。
发表评论 取消回复