这一章主要内容是时序逻辑电路基础知识,介绍它的组成,分析设计,以及其中的两个最常用的存储部件:锁存器和触发器。
由于这一章内容较多且很重要,所以分为两讲来总结。
今天这一讲主要来总结基础知识、锁存器和触发器。
如有错误,欢迎指正,我会及时地更正错误。
废话不多说,现在开始
时序电路
结构模型

外部输入信号:x1…xn
外部输出信号:z1…zm
驱动信号(存储电路的输入信号:即组合电路的部分输出信号):w1…wm
状态变量(存储电路的输出信号反馈到组合电路的输入端):q1…qr
时序电路结构特点:
1. 具有存储电路
2. 具有反馈支路
时序电路与组合电路不同点:
时序电路在组合电路的基础上多了存储电路。
存储电路由存储器件组成,能存储一位二值信号的器件成为存储单元电路。
常用的是:锁存器、触发器
描述方法
逻辑方程
在时序电路中,所有的输入和输出都是时间的函数(时间是离散的时间)
所以有了一下三组方程:
**1. 输出方程:Z(tn)=F[X(tn),Q(tn)]
2. 驱动方程:W(tn)=G[X(tn),Q(tn)]
3. 状态方程:Q(tn+1)=H[W(tn),Q(tn)]
状态表
是个表格,常见两种格式

状态图

时序图
波形图
分类

锁存器
一种由激励信号(组合电路的内部输出信号)控制电路状态的存储单元。
普通锁存器
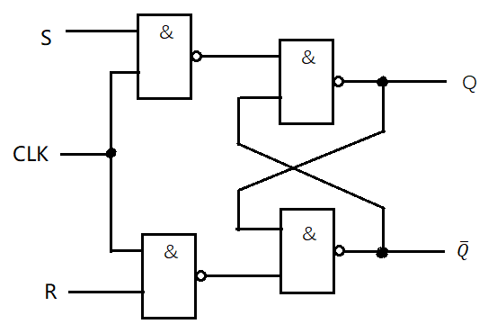
以RS锁存器(Reset-Set锁存器,复位-置位锁存器)来介绍,它是一个最基本的单元。
电路结构及逻辑符号
可以用交叉耦合的**或非门(或者与非门)**组成。
(耦合在此就理解为连接吧,输入输出相互联系,相互影响)
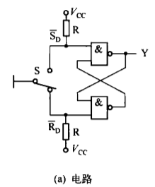
SD:置位端(置1端)
RD:复位端(置0端)
或非门RS锁存器

与非门RS锁存器

与非和或非可以相互转化

对于与非门:由其逻辑表达式可以看出,只要输入端由1(即高电平)就能使其输出为0
对于其两个输出端:

锁存器(或触发器)总是用Q的值来命名:
Q=0:锁存器(或触发器)为0状态(或复位状态)
Q=1:锁存器(或触发器)为1状态(或置位状态)
逻辑功能分析
或非RS锁存器
高电平为激励信号,值为1

SD=RD=1时,锁存器处于不正常工作状态,应该禁止使用,即应满足SDRD=0这个约束条件
与非RS锁存器
低电平为激励信号,值为1,不过在运用时总是用其反变量,所以反变量为0表示有激励信号

SD=RD=1时,锁存器处于不正常工作状态,应该禁止使用,即应满足SDRD=0这个约束条件
注意在判断新状态时,要先看你能确定下来的那个值,再根据这个去判断其他
所以不论是或非门锁存器还是与非门锁存器,都应满足SDRD=0这个约束条件
逻辑功能描述
- 特性表

- 特性方程
由卡诺图和约束条件可得:

特性方程为:

- 状态图

4. 时序图(波形图)

门控锁存器
门控RS锁存器
在RS锁存器的基础上,有一个特定的控制信号去控制锁存器状态转换的时间。
当输入信号发生改变时,即信号不稳定时,禁止锁存器状态转换;
当输入信号稳定以后,锁存器开始做出响应。
电路结构及逻辑符号
电路分为两部分:1. G1、G2构成的RS锁存器;2. G3、G4构成的输入控制门电路
C:控制信号
C后面的1为控制关联标记,表示受其影响的用1标记

逻辑功能分析
RD=RC, SD=SC
当C=0时,RD=SD=0, 锁存器状态Q不变
当C=1时,RD=R,SD=S, 等效为一个输入信号分别为R和S的RS锁存器
逻辑功能描述
- 特性表

- 特性方程
当C=1时,特性方程:

当C=0时
Qn+1=Qn
- 工作波形

用与非门实现的门控RS锁存器

门控D锁存器(双稳态锁存器)
一种能够存储数据的器件
电路结构及逻辑符号

简化后的电路图

逻辑符号

逻辑功能分析

逻辑功能描述
- 特性表

- 特性方程
Qn+1=D
- 状态图

- 时序图

触发器
锁存器的空翻:输入信号若发生多次变化,输出状态也可能发生多次变化
主从触发器
主从RS触发器
- 逻辑图及逻辑符号
逻辑图
CLK:时钟信号

逻辑符号

2. 工作原理

- 逻辑功能描述
①特性表

②特性方程
与RS锁存器相同

③波形图

主从D触发器
①电路图及逻辑符号(上升沿)
电路图

逻辑符号

②工作原理
CLK=0时,主锁存器被选通,Qm=D,从锁存器保持原状态不变
CLK由0变1时,主锁存器被封锁,从锁存器被选通,从锁存器按照与主锁存器相同的输出状态输出
③逻辑功能描述
特性方程:Qn+1=D
波形图:

主从JK触发器
克服主从RS触发器CLK=0时,输入信号必须遵循SR=0这一约束条件
- 逻辑图及逻辑符号

- 工作原理
再J=K=1时,CLK由1变为0时,输出状态翻转一次(即0变1,1变0),这样就去除了RS触发器中存在的约束条件
- 逻辑功能描述
①特性图

②特性方程

③状态图

④时序图

主从触发器缺陷
输入数据必须保持恒定,如果有干扰,将会导致状态的错误转换
边沿触发器

边沿触发器:
只在上升沿或下降沿及跳变前后极短的一段时间内,触发器才能接受数据,并使输出状态转换。
而在稳定的1或0电平期间,输入数据都不能进入触发器,影响不了输出。
特点:只要求在极短的时间内输入数据保持稳定,提高了触发器的抗干扰能力
分类

维持阻塞边沿触发器(边沿D触发器)
- 电路结构及逻辑符号
上升边沿触发的维持阻塞边沿D触发器(正边沿触发器)

2. 工作原理


3. 逻辑功能描述
①特性表

②工作波形

CMOS边沿触发器
介绍CMOS上升沿D触发器
- 电路结构

触发器使用中的几个问题
触发器逻辑功能的转换
有时需要将已有触发器转换为待求触发器:即在已有触发器的输入端加上一定的转换逻辑电路
转换的关键:求转换电路

驱动方程:
X=f1(A,B,Qn)
Y=f2(A,B,Qn)
代数法
通过比较已有触发器和待求触发器的特性方程,求出驱动方程
举个例子:将JK触发器转化为D触发器


图表法
步骤:
- 列出待求触发器的特性表
- 逐行列出已有触发器所需的驱动信号
- 根据驱动信号画出逻辑图
还是来看个例子:把RS触发器转换为JK触发器
4. 特性表

5. 由卡诺图得到驱动方程
注意:还要满足约束条件SR=0

6. 画逻辑图

触发器的脉冲工作特性
以下无需计算,查相应器件手册可得。
1. 建立时间(tset)
为了使触发器做好触发准备,要求输入信号在时钟脉冲的边沿到来之前,提前一段时间到来。
提前的这段时间叫做建立时间,用tset表示
2. 保持时间(th)
为保证触发器可靠翻转(0变1,1变0),在时钟脉冲到达后,输入信号必须保持一段时间不变。
这段时间成为保持时间,用th表示
3. 传输延迟时间(tPHL tPLH)
从时钟脉冲边沿到达到触发器的新状态稳定建立起来所需要的时间。
tPHL:输出端由高电平变为低电平的传输延迟时间
tPLH:输出端由低电平变为高电平的传输延迟时间
一般情况下,tPHL≠tPLH
4. 最高时钟频率(fmax)
在保证触发器可靠翻转的条件下,所允许的时钟频率的一个上限值。
5. 脉冲宽度
为保证时序逻辑电路能够正常稳定地工作,要求输入信号的脉冲宽度大于最小脉冲宽度
最小脉冲宽度由它的最小高电压时间和最小低电压时间来决定
6. 功耗:总功率消耗
根据该参数可确定所需直流电源的输出容量
触发器应用举例
-
消颤开关

-
异步脉冲的同步化
-
单脉冲发生器
可能有的地方写的不够详尽,还请多多见谅,我会不定期地进行更新补充。
最后
以上就是缥缈狗最近收集整理的关于第5讲 时序逻辑电路基础知识:基础知识、锁存器和触发器——计算机逻辑基础的全部内容,更多相关第5讲内容请搜索靠谱客的其他文章。
发表评论 取消回复