目录
语法
说明
示例
将两个向量相乘
将两个数组相乘
将行和列向量相乘
语法
C = A.*B
C = times(A,B)
说明
C = A.*B通过将对应的元素相乘来将数组 A 和 B 相乘。A 和 B 的大小必须相同或兼容。
如果 A 和 B 的大小兼容,则这两个数组会隐式扩展以相互匹配。例如,如果 A 或 B 中的一个是标量,则该标量与另一个数组的每个元素相结合。此外,具有不同方向的向量(一个为行向量,另一个为列向量)会隐式扩展以形成矩阵。
C = times(A,B) 是执行 A.*B 的替代方法,但很少使用。它可以启用类的运算符重载。
示例
将两个向量相乘
创建两个向量 A 和 B,并按元素将这两个向量相乘。
A = [1 0 3];
B = [2 3 7];
C = A.*B
C = 1×3
2
0
21
将两个数组相乘
创建两个 3×3 数组 A 和 B,并按元素将这两个数组相乘。
A = [1 0 3; 5 3 8; 2 4 6];
B = [2 3 7; 9 1 5; 8 8 3];
C = A.*B
C = 3×3
2
0
21
45
3
40
16
32
18
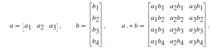
将行和列向量相乘
创建行向量 a 和列向量 b,然后将它们相乘。1×3 行向量和 4×1 列向量组合起来产生 4×3 矩阵。
a = 1:3;
b = (1:4)';
a.*b
ans = 4×3
1
2
3
2
4
6
3
6
9
4
8
12
结果是 4×3 矩阵,矩阵中的每个 (i,j) 元素等于a(j).*b(i):

最后
以上就是动听钥匙最近收集整理的关于Matlab中times函数的使用的全部内容,更多相关Matlab中times函数内容请搜索靠谱客的其他文章。
本图文内容来源于网友提供,作为学习参考使用,或来自网络收集整理,版权属于原作者所有。
发表评论 取消回复