一、高斯法和Doolitle法
高斯法和Doolitle法都比较简单,其实Doolitle可以直接用maltab里面的lu命令来求,下面重点讲一下迭代法
二、Jacobi迭代
1.算法实现
Jacobi迭代的伪代码如下:

2.收敛条件

3.matlab实现
根据以上的算法可以写出一个简单的jacobi迭代如下:
function x = jacobi(a,b,k)
n=length(b);
d=diag(a);
r=a-diag(d);
x=zeros(n,1);
for j = 1:k
x = (b-r*x)./d;
end
以上代码是最简单的写法,但是做题的时候一般要求把迭代过程给显示,这样写的话就不够完善,所以有以下拓展版
参数说明:
前两个变量为必选参量,分别问Ax=B的A和B,后三个参量为可选参量,分别为误差(默认为0.001),最大迭代次数(默认为1000),初始输入x矩阵(默认为零向量)p.s. 之后的Gauss迭代法和SOR法的参数都和Jacobi迭代法一样
function r = jacobi(A,B,varargin)
sizeA=size(A);
sizev=size(varargin);
if sizev(2) == 0
rol = 0.000001;
n = 1000;
x = zeros(sizeA(1),1);
elseif sizev(2) == 1
rol = varargin{1};
n = 1000;
x = zeros(sizeA(1),1);
elseif sizev(2) == 2
rol = varargin{1};
n = varargin{2};
x = zeros(sizeA(1),1000);
elseif sizev(2) == 3
rol = varargin{1};
n = varargin{2};
x = varargin{3};
else
error("输入参数过多");
end
for i = 2:n
for j = 1:sizeA(2)
sum1=0;
for k = 1:sizeA(1)
if j == k
continue;
end
sum1 = sum1 - x(k,i-1)*A(j,k)/A(j,j);
end
x(j,i)=B(j)/A(j,j)+sum1;
end
if any(abs(x(:,i)-x(:,i-1))>rol) == 0
break;
end
end
r = x;
end
4.结果展示

三、Gauss-Seidel迭代法
1.算法实现
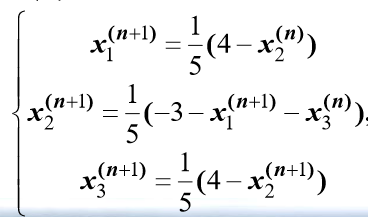
Gauss-Seidel迭代法和Jacobi方法的位移差异是在前者中,最近更新的未知变量的值在每一步中都使用,即更新发生在当前步骤,举个例子方便例子。

构建的迭代公式如下:

算法的伪代码如下:

2.matlab实现
function r = Gauss_Seidel(A,B,varargin)
sizeA=size(A);
sizev=size(varargin);
if sizev(2) == 0
rol = 0.000001;
n = 1000;
x = zeros(sizeA(1),1);
elseif sizev(2) == 1
rol = varargin{1};
n = 1000;
x = zeros(sizeA(1),1);
elseif sizev(2) == 2
rol = varargin{1};
n = varargin{2};
x = zeros(sizeA(1),1000);
elseif sizev(2) == 3
rol = varargin{1};
n = varargin{2};
x = varargin{3};
else
error("输入参数过多");
end
for i = 2:n
for j = 1:sizeA(2)
sum1=0;
for k = 1:j
if j == k
continue;
end
sum1 = sum1 - x(k,i)*A(j,k)/A(j,j);
end
for k = j+1:sizeA(1)
sum1 = sum1 - x(k,i-1)*A(j,k)/A(j,j);
end
x(j,i)=B(j)/A(j,j)+sum1;
end
if any(abs(x(:,i)-x(:,i-1))>rol) == 0
break;
end
end
r = x;
end
3.结果展示

四、逐次超松弛(SOR)迭代法
1.算法实现
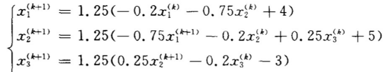
SOR方法使用Gauss-Seidel迭代法的求解方向,并使用过松弛以加快收敛速度,令w是一个实数,并将新的估计中的每个元素xk+1定义为w乘上Gauss-Seidel公式和1-w乘当前估计xk的平均,同样举个例子帮助理解:

迭代公式如下:

算法伪代码如下:

2.matlab实现
function r = SOR(A,B,w,varargin)
sizeA=size(A);
sizev=size(varargin);
if sizev(2) == 0
rol = 0.000001;
n = 1000;
x = zeros(sizeA(1),1);
elseif sizev(2) == 1
rol = varargin{1};
n = 1000;
x = zeros(sizeA(1),1);
elseif sizev(2) == 2
rol = varargin{1};
n = varargin{2};
x = zeros(sizeA(1),1000);
elseif sizev(2) == 3
rol = varargin{1};
n = varargin{2};
x = varargin{3};
else
error("输入参数过多");
end
for i = 2:n
for j = 1:sizeA(2)
sum1=0;
for k = 1:j
if j == k
sum1 = sum1 - w*(1-1/w)*x(k,i-1);
continue;
end
sum1 = sum1 - w*x(k,i)*A(j,k)/A(j,j);
end
for k = j+1:sizeA(1)
sum1 = sum1 - w*x(k,i-1)*A(j,k)/A(j,j);
end
x(j,i)=w*B(j)/A(j,j)+sum1;
end
if any(abs(x(:,i)-x(:,i-1))>rol) == 0
break;
end
end
r = x;
end
最后
以上就是腼腆柜子最近收集整理的关于MATLAB学数值分析(二) 迭代法解线性方程组的全部内容,更多相关MATLAB学数值分析(二)内容请搜索靠谱客的其他文章。
本图文内容来源于网友提供,作为学习参考使用,或来自网络收集整理,版权属于原作者所有。
发表评论 取消回复