八个指标如下:

一、速率

厂家数据与数据数据换算:

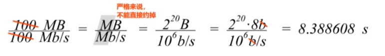
例题:有一个待发送的数据块,大小为100 MB,网卡的发送速率为100 Mbps,则网卡发送完该数据块需要多长时间?
解:注意一个字节八个比特,速率和比特率转换

二、带宽
在模拟信号中的意义:

带宽在计算机网络中意义:

三、吞吐量
如图:

四、时延
网络时延的组成部分如下:

- 源主机将分组发往传输线,需要时间,这段时间称为发送时延。
- 分组的电信号在链路止传输,这也需要花费定的时间,我们把这段时间称为传播时延。
- 路由器收到信号后,存储转发也需要时间,这一段时间称为处理时延。
源主机与目标主机之间有多个路由器,所以有多个传播时延和处理时延,如图所示:

例:

主机发送速率由最低的部分决定,因此分配的时候要分配好。
例题:(信道宽度是1Mb/s)

例如:

五、小总结

六、时延带宽积
如下,相当于计算一个体积:

七、往返时间
在许多情况下,因特网上的信息不仅仅单方向传输,而是双向交互,RTT就是往返时间。
如图:

卫星链路时间较多,传播时延比较大。
八、利用率
如下所示:

信道利用率并非越高越好,利用率增高时延也会增加,具体如下:

九、丢包率
丢包率即分组丢失率,是指在一定的时间范围内,传输过程中丢失的分组数量与总分组数量的比率。
丢包率具体可分为接口丢包率、结点丢包率、链路丢包率、路径丢包率、网络丢包率等。
丢包率是网络运维人员非常关心的一个网络性能指标,但对于普通用户来说往往并不关心这个指标,因为他们通常意识不到网络丢包。
分组丢失两种情况:
- 分组在传输过程中出现误码,被结点丢弃;
- 分组到达一台队列已满的分组交换机时被丢弃;在通信量较大时就可能造成网络拥塞。

因此,丢包率反映了网络的拥塞情况:

丢包率较高会使得网站无法工作。
十、小总结
总结如下:

十一、参考
慕课 计算机网络 高军
最后
以上就是勤奋苗条最近收集整理的关于计算机网络八大性能指标的全部内容,更多相关计算机网络八大性能指标内容请搜索靠谱客的其他文章。
本图文内容来源于网友提供,作为学习参考使用,或来自网络收集整理,版权属于原作者所有。
发表评论 取消回复