文章目录
- 一、1.6.1 计算机网络的性能指标
一、1.6.1 计算机网络的性能指标
1. 速率:比特(binary digit,二进制数字),bit,b,代表二进制数字0或者1,速率指的是数据传送速率,也称为数据率或比特率。
常用单位是bit/s(比特每秒),或者b/s,bps。
bit在表示存储时,1K一般指2^10,
bit在表示速率时,1k一般指10^3。
k b/s = 10^3 b/s,M b/s = 10^6 b/s,G b/s = 10^9 b/s
2.带宽(bandwidth) :
在通信中,带宽指的是信号所包含的各种不同频率成分所占据的频率范围。
在计算机网络中,带宽用来表示网络中某通道传送数据的能力,定义为单位时间内网络中的某信道所能通过的“最高数据率”。单位为bit/s。
这两种表示方式本质上是一样的,频率范围越宽,传输的最高数据率也越高。
3.吞吐量(throughput):表示单位时间内通过某个通道的实际数据量。
4.时延(delay):指的是数据从网络的一端传送到另一端所需的时间。
(1)发送时延(transmission delay),指的是主机或路由器发送数据所需的时间

(2)传播时延(propagation delay),指的是电磁波在信道中传播一定距离所需的时间。

在自由空间的传播速率:310^8 m/s
在铜线中的传播速率:2.310^8 m/s
在光纤中的传播速率:2.0*10^8 m/s
(3)处理时延,主机或路由器在收到分组时要花费时间进行处理,例如分析首部,提取数据部分等等
(4)排队时延,分组在进入路由器后需要排队等待处理,转发时也需要排队等待转发。
总时延 = 发送时延 + 传播时延 + 处理时延 + 排队时延。
几种时延产生的地方是不同的

5.时延带宽积
时延带宽积 = 传播时延 * 带宽

管道的长度看成传播时延,横截面积看成带宽,时延带宽积表示整个管道的体积。
如果从发送端连续发送数据,则在发送的第一个比特到达接收端时,发送端已经发送了时延带宽积个比特的数据了,时延带宽积也称为以比特为单位的链路长度。
6.往往时间RTT
往返时间表示双向交互一次需要多少时间,包括发送时延,传播时延,处理时延,排队时延。
7.利用率
利用率分为信道利用率和网络利用率。
信道利用率:该信道有百分之几的时间是被利用的。
网络利用率:该网络所以信道利用率的加权平均和。
当信道利用率变大时,时延也会变大。
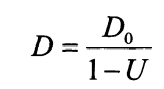
他们之间的关系如下:

D0表示网络空闲时的时延,D表示网络当前的时延,U表示信道利用率。

从图上可以看出,当利用率增大时,时延会增大,而且会增大的越来越快,当利用率趋近于1时,时延也趋于无穷大。
一般控制利用率不超过50%。
最后
以上就是英俊蜻蜓最近收集整理的关于第一章概述-------第一节--1.6 计算机网络的性能一、1.6.1 计算机网络的性能指标的全部内容,更多相关第一章概述-------第一节--1.6内容请搜索靠谱客的其他文章。
发表评论 取消回复