01.了解小区搜索与同步
02.SS Block的组成
03.物理小区号
04.PSS 序列及同步
05.SSS 序列
06.PBCH和PBCH DMRS 信号
07.同步信号块 (SS Block) 的频域位置
08.同步信号块 (SS Block) 时域位置及类型
????????.
了解小区搜索与同步
从蜂窝通信的角度来看,无线侦听类似于蜂窝通信小区搜索和同步的过程。为了与基站取得通信,终端需要在它所支持的频段内搜索可用小区并获得该小区的工作频率并与基站进行时间同步。蜂窝通信复杂度远大于点对点的无线电通信,有非常多的信令在基站与终端之间交互。首先我们看一下,NR小区搜索和同步的过程。
下图总结了NR中小区搜索设计的主要概念。

● 物理信号
物理层需要一些确定的已知的信号来进行同步以及信道估计,这种信号就是物理信号。物理信号生成于物理层,不承载任何高层信息。例如同步信号,参考信号。小区搜索和同步过程中会接触到下图所示三种物理信号: PSS,SSS和PBCH DMRS。

● 物理信道
承载某种上层信息和业务的时频资源的统称,是无线业务在物理层的实际承载。小区搜索和同步过程中会涉及到物理广播信道(PBCH)。PBCH承载的是最基本的小区信息以及解码其他物理信道所需要的参数,下文会对这些参数进行详细介绍。下图是MathWorks给出的NR小区搜索与同步过程的框图。在获得MIB之前,需要按照下面的顺序进行解码:

![nr 初始小区搜索与同步框图[1]](https://www.shuijiaxian.com/files_image/20230405/20601436814.png)
● 同步信号块(Synchronization signal block)
SS block是NR小区搜索和同步机制中与LTE最大的不同之处。LTE PSS/SSS信号的周期是5ms,一帧内有两个PSS/SSS信号。PBCH的周期是40ms,每10ms发送一次,40ms内的四次PBCH发送相同的内容。LTE的同步信号以及PBCH在时域和频域的位置是固定的。下图是一个LTE帧的资源映射图,可以看出PSS/SSS的周期是5ms,PBCH的周期是10ms。

5G NR遵从‘极简’的设计规范,通过减少always-on信号的存在降低功耗。NR中引入了SS block的概念,SS block是最小的同步单元。基站可以根据传输需求灵活配置SS block的个数及其在时域和频域的位置。如下图所示,SS block长度可以不同,在时域和频域也可以处于不同的位置。



SS block 在时域及频域的灵活配置

● 同步信号集(SS burst set)
NR标准增强了massive MIMO的支持,因此波束赋型成为了NR标准的基因。NR与LTE在小区搜索和同步过程中另外一个重要的区别是SS block不仅要完成同步的任务还要进行初始的波束扫描和波束的建立。SS burst set的设计就是波束赋型思想的一个体现。SS burst set是时域上一些SS block的集合,一个SS burst set中每个SS block除了承载同样系统参数之外还有一个唯一的SS block ID。通过波束赋型,不同SS block形成指向不同方向的波束。终端通过测量不同方向波束的接收功率从而确定基站-终端之间初始波束的方向。SS block set相关的概念如下。

????????.
SS Block的组成

SS Block在时域上由4个OFDM符号组成,频域上占用20 PRB (240子载波) 。TS 38.211表7.4.3.1-1总结了SS Block的资源分配,如下图所示。其中PSS,SSS以及PBCH在频域的位置是固定的,PBCH DMRS在频域上的位置根据物理小区号Physical-layer cell ID (PCI) 进行偏移,不同物理小区的PBCH DMRS在频域上偏移1到3个RE,v=NIDcellmod4。

????????.
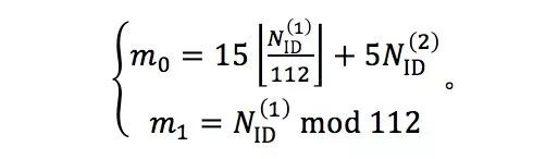
物理小区号
不用于LTE 的504个物理小区号,NR定义了1008个PCI。

其中

PCI是蜂窝系统一个重要的物理参数,在NR标准中PSS/SSS序列的产生,PBCH DMRS信号在频域的偏移以及其他DMRS的初始化都与PCI有关。
????????.
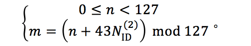
PSS 序列及同步
PSS 位于SS Block第一个符号中间的127个子载波由公式 (2) 生成。dpss(n)=1-2x(m) (2),其中

m序列可以用下图所示线性反馈移位寄存器来表示。

寄存器初始状态为:



????????.
SSS 序列
SSS位于SS Block第二个符号中间的127个子载波, 由公式(3)中的Gold序列生生成。

SSS的生成可以用下图所示线性反馈移位寄存器来表示。

两个m序列的偏移量分别为:

寄存器初始状态为:


????6.
PBCH和PBCH DMRS信号
PBCH承载无线资源控制(radio resource control, RRC)层的系统参数,完成帧同步所需的其它重要参数,以及进一步解码其他物理信道所需的参数。
PBCH-DMRS信号:
LTE标准中没有PBCH DMRS信号,通过cell reference signal (CRS)对PBCH进行信道估计。CRS存在于全部传输带宽上。NR标准中减少了全频带 ‘Always-on’ 信号的存在,取消了小区级参考信号并新增了PBCH DMRS来进行PBCH的信道估计。
PBCH-DMRS信号在PBCH信道的解码过程中有两个作用:

PBCH生成序列&频域映射:



c(n)可以用下图所示线性反馈移位寄存器来表示。

初始化:





同步信息:

PBCH 信道:
不同于物理信号,PBCH需要承载高层传下来的系统参数。为了保证传输可靠性,物理信道都会经过加扰,CRC校验,信道编码,速率匹配等过程。这几个步骤是所有NR物理信道在发射之前都要进行的处理步骤,与小区搜索过程没有关系,这里不做介绍。
MIB与SIB1
PBCH的载荷(payload)承载RRC层的master information block(MIB)信息。MIB定义了小区最基本的系统信息以及解码PDSCH SystemInformtioType 1 (SIB1)所需要的参数。除了MIB之外,PBCH承载了8 bits额外的payload。各参数的长度以及物理意义如下面的导图所示。其中和subCarrierSpacingCommon和pdcch-configSIB1定义了SIB1的子载波间隔以及SIB1所在control resource set (CORESET)的搜索空间。
SIB1包含了除MIB外终端在接入网络之前所或需要获取的信息。SIB1通过普通的PDSCH传输,周期为160ms。TS 38.213 13章中预定义了一些表格用来描述SIB1所在CORESET的位置的位置以及SIB1与SS block的复用方式。MIB中的pdcch-configSIB1,subCarrierSpacingCommon以及k_ssb用来对这些表格进行索引。我们会在后续的文章中对SIB1的内容和解调进行讲解。

????????.
同步信号块(SS Block)的频域位置
● SS Block的中心频率
LTE标准中,PSS/SSS位于载波中心。LTE终端搜索到PSS/SSS就获取了载波的中心频率。因此当终端进行小区搜索的时候,需要在所有可能的载波中心位置进行PSS/SSS的匹配 。LTE的信道栅格(channel raster)是100kHz, 终端需要在支持的所有频段以100kHz在为步长进行PSS/SSS同步。LTE单载波支持的最大带宽是20MHz,而NR最大可以支持400MHz的单载波,沿用LTE的搜索方式会导致较长的同步时间以及较大的功耗。
为了缩短小区搜索的时间,NR定义了同步栅格(Synchronization raster)来指示SS Block在频率上可能出现的位置 。TS 38.104表5.4.3.1-1给出了SS Block中心频点(第十个PRB的起始频点nPRB=10, RE=0)的位置SSREF以及global synchronization channel number(GSCN)范围。

在0-3GHz频率范围内,同步栅格的步长是1200kHz; 在3GHz – 24.25GHz频率范围内,同步栅格的步长是1.44MHz; 在24.25GHz-100G频率范围内,同步栅格的步长是17. 82MHz。同步栅格的步长明显大于LTE 100kHz的信道栅格。终端设备只需要在其所支持的频段内SSREF的位置进行PSS/SSS搜索。
TS 38.104表5.4.3.3-1和表5.4.3.3-2分别给出了NR FR1和FR2各频段内SSREF的GCSN值。下表节选其中n77、n78、n79三个典型频段。

以band 78为例GSCN的范围是[7711–<1>–8051] ,341个频点,而该频段信道栅格的个数远远大于这个数值下表。

我们来看一个例子:一个终端设备运行在3400MHz – 3500MHz频段,根据38.104表5.4.3.1-1可以计算出SS Block可能存在位置的GSCN 为7777到7846。当该设备进行小区搜索的时候,只需要在GSCN 7777到7846相应的SSREF位置进行PSS/SSS同步。NR定义的n78的信道栅格是15kHz和30kHz,因此稀疏的同步栅格大大降低了NR终端进行小区搜索的时间。

● SS Block的子载波间隔
在固定的频率下,SS block的时间长度随着子载波间隔的增加而减少,终端接收到的SS block的功率也随之减少。从而导致PSS误检率以及残留频率误差的增加。SS block子载波间隔的选择需要考虑到同步搜索的时间,同步检测复杂度以及准确度。NR中定义了四种SS block子载波间隔。FR1支持15kHz和30kHz的子载波间隔,FR2支持120kHz和240kHz的子载波间隔,如下图。

● SS Block与载波中心频点的位置关系
NR中SS Block可以位于传输载波的任何位置,甚至可以不与物理资源块(resource block)对齐。NR终端在接收更多的系统信息(SIB1)之前,需要知道SS Block与common resource block(CRB)中心的偏移,即完成RB对齐。这一偏移量k_ssb在PBCH的MIB(4比特)和部分payload(3比特)表示,前文中介绍PBCH的导图中有详细的解释。载波中心的位置可以由SS block的中心频点,k_ssb,以及SIB1中FrequencyInfoDL-SIB共同确定。
在Keysight N7631C Signal Studio Pro for 5G NR软件中打开SS/PBCH block设置界面,其中
RB offset: SS block与CRB 0# SC 0#(Point A)的RB偏移 - FR1: 以15 kHz为单位计算 - FR2: 以60 kHz为单位来计算, i.e. SCS =120 kHz, 偏移一个RB, 则RB offset=2
k_ssb: SS block与common resource grid边界的偏移量 - FR1: k_ssb以15 kHz为单位计算 - FR2: k_ssb以实际子载波间隔为单位计算, RB offset和k_ssb的物理意义如下图所示

TS 38.211规定了不同子载波间隔下k_ssb的取值范围如下表。

下面通过三个例子我们来具体看一下相关参数的意义及设置。信号的基本信息如下。
频段:FR1
子载波间隔:30 kHz
带宽:100MHz (273RB)
例一
SS Block的中心与载波中心重合, 此时SS Block与CRB边界重合, k_ssb=0
RB offset=(273÷2-20÷2)×(30÷15)=253, 具体意义参考下方示意图

例二
SS block RB Offset=253, k_ssb=12, SSB的中心位于载波中心上方180(15*12)kHz处
MIB中k_ssb对应的4bits为1100

例三
SS Block底部与point A重合, k_ssb=0, RB offset(by 15kHz)=0, SSB的中心位于载波中心下方45.54MHz处。

下图给出了A,B,C上述三个例子中SS Block与载波中心位置关系的示意图。

有两点需要注意
在Initial search时,终端通过解码PBCH获取了k_ssb ,并不知道载波中心频点。因此上面的例子仅用来说明SS Block与载波中心的位置关系与RB offset及k_ssb的关系。 SIB1信息元素 ServingCellConfigCommonSIB 中参数 absoluteFrequencyPointA 和 absoluteFrequencySSB 会载波point A以及SS block中心的AFRCN值。
SS block的中心频点位于nPRB=10,RE=0,即第10个RB的第一个子载波中心。
????????.
同步信号块 (SS Block) 时域位置及类型
● SS Block的周期
NR标准规定SS Block的周期可以为5 ms, 10 ms, 20 ms, 40ms, 80 ms和160 ms, 默认值为20 ms。相比LTE固定的5 ms的PSS/SSS周期,NR标准中较长的SS Block周期可以使处于连接状态的设备进行快速小区搜索,较长的SS Block周期结合稀疏的synchronization raster可以大大提高网络的能耗效率。SS block的周期信息由SIB1信息元素ServingCellConfigCommonSIB中参数ssb-periodicityServingCell定义。
● SS Burst Set和初始波束扫描
5G中引入了超大规模天线阵列,毫米波频段天线个数可能高达256。波束赋型在5G的应用不仅限LTE TM8传输模式通过多流传输来提高系统的速率,更重要的是通过波束赋型是信号能量更加集中增强覆盖,减少用户间及小区间干扰。如前文所述波束赋型的思想体现在很多NR的设计中。SS burst set和初始波束扫描就是其中之一。
初始波束扫描的目的是在基站和终端中间建立一个合适的波束方向对,进行随后的接入及数据传输。SS block可以采用时分的方式在不同时间经由不同的波束发送,如下图所示。

在同一组波束中发射的SS block称为一个SS burst set并具有下述特征。
SS burst set中所有SS block位于同一个half-frame内(5ms)
SS burst set中所有SS block都在同一个天线端口传输
SS burst set中不同SS block具有不同SS block time index
SS burst set中最大的SS block个数Lmax由频率决定

高频段的Lmax值高于低频段主要处于下面两个考虑: - 频率越高电磁波波束越窄, 为了获得达到良好的空间覆盖和分辨率,需要更多数目的波束。 - 在FR1频段SS block SCS=15/30 kHz,一个SS block所占用的时间较SCS=120kHz或者240kHz的时候要长很多,较大的Lmax值会增加系统开销。因此低频段采用了较小的Lmax。
波束扫描过程中终端选择信号强度最大的SS block波束作为初始波束方向,进行随后的PRACH接入。如下图,UE 1从波束3接收到的信号强度最大,而UE2从波束7接收到的信号强度最大。终端会在与所选择的SS block index相关的时间发送PRACH接入信息。基站通过解析收到的PRACH信息,可以判断终端所处方向并建立初始Beam pair。在接入完成后的数据传输过程中,基站和终端通过导频信号CSI- RS对波束进行管理和切换。

● SS Block类型以及时域位置映射
TS 38.213定义了SS block的类型,每一种类型定义了不同的子载波间隔以及SS block在时域的位置,如下图。

SS block 时域位置映射
通信中,发射的SS block个数可以小于相应频段的Lmax。
实际使用 SS block 个数由 SIB1 信息元素 ServingCellConfigCommonSIB 中参数ssb-PositionsInBurst定义。下面通过三个例子来了解下SS block的时域位置。
Case A
Lmax=8, SS block位置: 0:3, 信号带宽=100 MHz, 子载波间隔=15 kHz, SS Block周期=5ms。
Lmax=8只有SS block 0-3位置上存在同步信号块, 分别位于每5ms内的 {2,3,4,5}, {8,9,10,11}, {16,17,18,19}, {22,23,24,25}符号。如下图。

Case B
Lmax=8, SS block 位置: 7, 信号带宽=50 MHz, 子载波间隔=30 kHz, SS Block周期=5ms。

Case C
Lmax=64, SS block 位置: 0-63, 信号带宽=50 MHz, 子载波间隔=120 kHz, SS周期=10 ms 。

????????.小结
本文介绍了NR中初始小区搜索和同步过程中涉及到的物理信道物理信号以及NR新引入的同步信号块和同步信号集的概念。初始小区搜索完成终端与基站的频率及时间同步并获取物理小区号以及MIB信息。
[1]. www.mathworks.com
原作者:是德科技 吕荻 博士
最后
以上就是鲜艳香菇最近收集整理的关于5GNR初始小区搜索与同步的全部内容,更多相关5GNR初始小区搜索与同步内容请搜索靠谱客的其他文章。
发表评论 取消回复