通用流程
来自MAC层/向MAC层输出的数据和控制流经过编/解码,通过无线传输链路提供传输和控制服务。信道编码方案是错误检测、错误纠正、速率匹配、交织以及传输信道或控制信息向物理信道映射/从物理信道到传输信道控制信息解析或分离的组合方案。
CRC计算
CRC计算单元的输入比特为 a 0 , a 1 , a 2 , a 3 , … , a A − 1 { {a}_{0}},{ {a}_{1}},{ {a}_{2}},{ {a}_{3}},…,{ {a}_{A-1}} a0,a1,a2,a3,…,aA−1,奇偶校验比特为 p 0 , p 1 , p 2 , p 3 , … , p L − 1 { {p}_{0}},{ {p}_{1}},{ {p}_{2}},{ {p}_{3}},…,{ {p}_{L-1}} p0,p1,p2,p3,…,pL−1。 A A A是输入序列的长度, L L L是校验比特数目。校验比特由下列循环生成多项式之一产生:
- g CRC24A ( D ) = [ D 24 + D 23 + D 18 + D 17 + D 14 + D 11 + D 10 + D 7 + D 6 + D 5 + D 4 + D 3 + D + 1 ] { {g}_{text{CRC24A}}}left( D right)=[{ {D}^{24}}+{ {D}^{23}}+{ {D}^{18}}+{ {D}^{17}}+{ {D}^{14}}+{ {D}^{11}}+{ {D}^{10}}+{ {D}^{7}}+{ {D}^{6}}+{ {D}^{5}}+{ {D}^{4}}+{ {D}^{3}}+D+1] gCRC24A(D)=[D24+D23+D18+D17+D14+D11+D10+D7+D6+D5+D4+D3+D+1],CRC长度 L = 24 L=24 L=24
- g CRC24B ( D ) = [ D 24 + D 23 + D 6 + D 5 + D + 1 ] { {g}_{text{CRC24B}}}left( D right)=[{ {D}^{24}}+{ {D}^{23}}+{ {D}^{6}}+{ {D}^{5}}+D+1] gCRC24B(D)=[D24+D23+D6+D5+D+1],CRC长度 L = 24 L=24 L=24
- g CRC24C ( D ) = [ D 24 + D 23 + D 21 + D 20 + D 17 + D 15 + D 13 + D 12 + D 8 + D 4 + D 2 + D + 1 ] { {g}_{text{CRC24C}}}left( D right)=[{ {D}^{24}}+{ {D}^{23}}+{ {D}^{21}}+{ {D}^{20}}+{ {D}^{17}}+{ {D}^{15}}+{ {D}^{13}}+{ {D}^{12}}+{ {D}^{8}}+{ {D}^{4}}+{ {D}^{2}}+D+1] gCRC24C(D)=[D24+D23+D21+D20+D17+D15+D13+D12+D8+D4+D2+D+1],CRC长度 L = 24 L=24 L=24
- g CRC16 ( D ) = [ D 16 + D 12 + D 5 + D + 1 ] { {g}_{text{CRC16}}}left( D right)=[{ {D}^{16}}+{ {D}^{12}}+{ {D}^{5}}+D+1] gCRC16(D)=[D16+D12+D5+D+1],CRC长度 L = 16 L=16 L=16
编码以系统方式进行,这意味着在二元域GF(2)中,多项式:
a
0
D
A
+
L
−
1
+
a
1
D
A
+
L
−
2
+
.
.
.
+
a
A
−
1
D
L
+
p
0
D
L
−
1
+
p
1
D
L
−
2
+
.
.
.
+
p
L
−
2
D
1
+
p
L
−
1
{ {a}_{0}}{ {D}^{A+L-1}}+{ {a}_{1}}{ {D}^{A+L-2}}+...+{ {a}_{A-1}}{ {D}^{L}}+{ {p}_{0}}{ {D}^{L-1}}+{ {p}_{1}}{ {D}^{L-2}}+...+{ {p}_{L-2}}{ {D}^{1}}+{ {p}_{L-1}}
a0DA+L−1+a1DA+L−2+...+aA−1DL+p0DL−1+p1DL−2+...+pL−2D1+pL−1
除以相应的CRC生成多项式时,余数等于0。
添加CRC之后的比特序列表示为
b
0
,
b
1
,
b
2
,
b
3
,
…
,
b
B
−
1
{ {b}_{0}},{ {b}_{1}},{ {b}_{2}},{ {b}_{3}},…,{ {b}_{B-1}}
b0,b1,b2,b3,…,bB−1,其中
b
0
,
b
1
,
b
2
,
b
3
,
…
,
b
B
−
1
{ {b}_{0}},{ {b}_{1}},{ {b}_{2}},{ {b}_{3}},…,{ {b}_{B-1}}
b0,b1,b2,b3,…,bB−1。
a
k
{ {a}_{k}}
ak和
b
k
{ {b}_{k}}
bk的关系如下:

LDPC码
码块分段单元的输入序列为
b
0
,
b
1
,
b
2
,
b
3
,
…
,
b
B
−
1
{ {b}_{0}},{ {b}_{1}},{ {b}_{2}},{ {b}_{3}},…,{ {b}_{B-1}}
b0,b1,b2,b3,…,bB−1,其中
B
>
0
B>0
B>0。如果
B
B
B大于最大码块大小
K
cb
{ {K}_{text{cb}}}
Kcb,则输入序列要进行分段操作,并且每个分段后的码块要添加一个
L
=
24
L=24
L=24的CRC序列。最大码块大小为:
K
cb
=
8448
{ {K}_{text{cb}}}=8448
Kcb=8448
码块总数C根据以下方法计算得到:

当
C
≠
0
C≠0
C̸=0时,码块分段的输出比特为
c
r
0
,
c
r
1
,
c
r
2
,
c
r
3
,
…
,
c
r
(
K
r
−
1
)
{ {c}_{r0}},{ {c}_{r1}},{ {c}_{r2}},{ {c}_{r3}},…,{ {c}_{rleft( { {K}_{r}}-1 right)}}
cr0,cr1,cr2,cr3,…,cr(Kr−1),其中
0
≤
r
<
C
0le r<C
0≤r<C为码块号,
K
r
{ {K}_{r}}
Kr是码块
r
r
r中的比特数。
每个码块中的比特数为(仅适用于
C
≠
0
C≠0
C̸=0的情况):

注:蓝色高亮部分是华为批注:K+ and K_ are kept for now. May update after TBS is finalized.
在Table 5.3.2-1中所有列举的集合中找到Z的最小值,表示为
Z
c
{ {Z}_{c}}
Zc。
K
b
⋅
Z
c
≥
K
+
{ {K}_{b}}cdot { {Z}_{c}}ge { {K}_{+}}
Kb⋅Zc≥K+且对于LDPC BG#1有
K
=
22
Z
c
K=22{ {Z}_{c}}
K=22Zc,对于LDPC BG#2有
K
=
10
Z
c
K=10{ {Z}_{c}}
K=10Zc。

信道编码
Polar coding
对于给定的码块,信道编码器的输入序列为
c
0
,
c
1
,
c
2
,
c
3
,
…
,
c
K
−
1
{ {c}_{0}},{ {c}_{1}},{ {c}_{2}},{ {c}_{3}},…,{ {c}_{K-1}}
c0,c1,c2,c3,…,cK−1,其中
K
K
K是编码器的输入比特数。编码后的比特序列表示为
d
0
,
d
1
,
d
2
,
…
,
d
N
−
1
{ {d}_{0}},{ {d}_{1}},{ {d}_{2}},…,{ {d}_{N-1}}
d0,d1,d2,…,dN−1,其中
N
=
2
n
N={ {2}^{n}}
N=2n并且
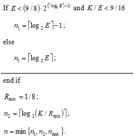
n
n
n的值由下列方法决定:
E
E
E 表示速率匹配输出序列长度,由2.4.1节给出;

比特序列
c
0
,
c
1
,
c
2
,
c
3
,
…
,
c
K
−
1
{ {c}_{0}},{ {c}_{1}},{ {c}_{2}},{ {c}_{3}},…,{ {c}_{K-1}}
c0,c1,c2,c3,…,cK−1采用下列方法被交织成比特序列
c
0
‘
,
c
1
‘
,
c
2
‘
,
c
3
‘
,
…
,
c
K
−
1
‘
c_{0}^{‘},c_{1}^{‘},c_{2}^{‘},c_{3}^{‘},…,c_{K-1}^{‘}
c0‘,c1‘,c2‘,c3‘,…,cK−1‘:

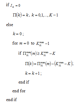
其中交织pattern
Π
(
k
)
Pi left( k right)
Π(k)由下列方法确定:

其中
Π
I
L
max
(
m
)
Pi _{IL}^{max }left( m right)
ΠILmax(m)由Table 5.3.1-1和
K
I
L
max
K_{IL}^{max }
KILmax给定。
批注:The value of K I L max K_{IL}^{max } KILmax equals to Kmax = max(140, max DCI payload size in Rel-15 + 20) + 24. The value of K I L max K_{IL}^{max } KILmax should be the number of elements in Table 5.3.1-1, in the end. According to the current Tabel 5.3.1-1, K I L max = 224 K_{IL}^{max }=224 KILmax=224.

批注:Contents of this table will be updated. Current working assumption is the pattern for nFAR=21 in R1-1712167.
Polar序列 Q 0 N max − 1 = { Q 0 N max , Q 1 N max , … , Q N max − 1 N max } mathbf{Q}_{0}^{ { {N}_{max }}-1}=left{ Q_{0}^{ { {N}_{max }}},Q_{1}^{ { {N}_{max }}},…,Q_{ { {N}_{max }}-1}^{ { {N}_{max }}} right} Q0Nmax−1={Q0Nmax,Q1Nmax,…,QNmax−1Nmax}由Table5.3.1-2给定,其中 0 ≤ Q i N max ≤ N max − 1 0le Q_{i}^{ { {N}_{max }}}le { {N}_{max }}-1 0≤QiNmax≤Nmax−1表示Polar编码前的一个比特索引,其中 i = 0 , 1 , … , N − 1 i=0,1,…,N-1 i=0,1,…,N−1, N max = 1024 { {N}_{max }}=1024 Nmax=1024。Polar序列 Q 0 N max − 1 mathbf{Q}_{0}^{ { {N}_{max }}-1} Q0Nmax−1按可靠性升序排列 W ( Q 0 N max ) < W ( Q 1 N max ) < … < W ( Q N max − 1 N max ) Wleft( Q_{0}^{ { {N}_{max }}} right)<Wleft( Q_{1}^{ { {N}_{max }}} right)<…<Wleft( Q_{ { {N}_{max }}-1}^{ { {N}_{max }}} right) W(Q0Nmax)<W(Q1Nmax)<…<W(QNmax−1Nmax),其中 W ( Q i N max ) Wleft( Q_{i}^{ { {N}_{max }}} right) W(QiNmax)表示比特索引 Q i N max Q_{i}^{ { {N}_{max }}} QiNmax的可靠性。
对任意码块编码为 N N N比特,都使用相同的Polar序列 Q 0 N − 1 = { Q 0 N , Q 1 N , Q 2 N , … , Q N − 1 N } mathbf{Q}_{0}^{N-1}=left{ Q_{0}^{N},Q_{1}^{N},Q_{2}^{N},…,Q_{N-1}^{N} right} Q0N−1={Q0N,Q1N,Q2N,…,QN−1N}。Polar序列 Q 0 N − 1 mathbf{Q}_{0}^{N-1} Q0N−1是Polar序列 Q 0 N max − 1 mathbf{Q}_{0}^{ { {N}_{max }}-1} Q0Nmax−1的子集,即值小于 N N N的所有 Q i N max Q_{i}^{ { {N}_{max }}} QiNmax元素,并且按可靠性升序排列 W ( Q 0 N ) < W ( Q 1 N ) < W ( Q 2 N ) < … < W ( Q N − 1 N ) Wleft( Q_{0}^{N} right)<Wleft( Q_{1}^{N} right)<Wleft( Q_{2}^{N} right)<…<Wleft( Q_{N-1}^{N} right) W(Q0N)<W(Q1N)<W(Q2N)<…<W(QN−1N)。
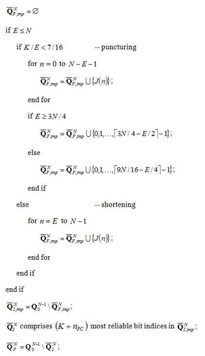
Q ˉ I N mathbf{bar{Q}}_{I}^{N} QˉIN是Polar序列 Q 0 N − 1 mathbf{Q}_{0}^{N-1} Q0N−1中的一组比特索引, Q ˉ F N mathbf{bar{Q}}_{F}^{N} QˉFN是Polar序列 Q 0 N − 1 mathbf{Q}_{0}^{N-1} Q0N−1中其他比特的索引,其中 Q ˉ I N mathbf{bar{Q}}_{I}^{N} QˉIN和 Q ˉ F N mathbf{bar{Q}}_{F}^{N} QˉFN由2.4.1.1节给定, ∣ Q ˉ I N ∣ = K + n P C left| mathbf{bar{Q}}_{I}^{N} right|=K+{ {n}_{PC}} ∣∣∣QˉIN∣∣∣=K+nPC, ∣ Q ˉ F N ∣ = N − ∣ Q ˉ I N ∣ left| mathbf{bar{Q}}_{F}^{N} right|=N-left| mathbf{bar{Q}}_{I}^{N} right| ∣∣∣QˉFN∣∣∣=N−∣∣∣QˉIN∣∣∣, n P C { {n}_{PC}} nPC是奇偶校验比特数。
G N = ( G 2 ) ⊗ n { {mathbf{G}}_{N}}={ {left( { {mathbf{G}}_{2}} right)}^{otimes n}} GN=(G2)⊗n表示矩阵 G 2 G_2 G2的 n n n次克罗内克积,其中 G 2 = [ 1 0 1 1 ] { {mathbf{G}}_{2}}=left[ begin{matrix} 1 & 0 \ 1 & 1 \ end{matrix} right] G2=[1101]。
g j { {mathbf{g}}_{j}} gj表示矩阵 G N G_N GN的第 j j j行,比特索引 j = 0 , 1 , … , N − 1 j=0,1,…,N-1 j=0,1,…,N−1。 w ( g j ) wleft( { {mathbf{g}}_{j}} right) w(gj)表示 g j { {mathbf{g}}_{j}} gj的行重,即 g j { {mathbf{g}}_{j}} gj中1的个数。奇偶校验比特的索引集合表示为 Q P C N mathbf{Q}_{PC}^{N} QPCN,其中 ∣ Q P C N ∣ = n P C left| mathbf{Q}_{PC}^{N} right|={ {n}_{PC}} ∣∣QPCN∣∣=nPC。 ( n P C − n P C w m ) left( { {n}_{PC}}-n_{PC}^{wm} right) (nPC−nPCwm)个奇偶校验比特位于 Q ˉ I N mathbf{bar{Q}}_{I}^{N} QˉIN中的 ( n P C − n P C w m ) left( { {n}_{PC}}-n_{PC}^{wm} right) (nPC−nPCwm)(nPC−nPCwm)个最不可靠的比特索引。其他 n P C w m n_{PC}^{wm} nPCwm个奇偶校验比特位于 Q ~ I N mathbf{tilde{Q}}_{I}^{N} Q~IN中行重最小的比特索引,其中 Q ~ I N mathbf{tilde{Q}}_{I}^{N} Q~IN表示 Q ˉ I N mathbf{bar{Q}}_{I}^{N} QˉIN中 ( ∣ Q ˉ I N ∣ − n P C ) left( left| mathbf{bar{Q}}_{I}^{N} right|-{ {n}_{PC}} right) (∣∣∣QˉIN∣∣∣−nPC)个最可靠的比特索引;如果 Q ~ I N mathbf{tilde{Q}}_{I}^{N} Q~IN中具有相同最小行重的比特索引大于 n P C w m n_{PC}^{wm} nPCwm,则其他 n P C w m n_{PC}^{wm} nPCwm个奇偶校验比特位于 Q ~ I N mathbf{tilde{Q}}_{I}^{N} Q~IN中可靠性最高且行重最小的 n P C w m n_{PC}^{wm} nPCwm个比特索引。
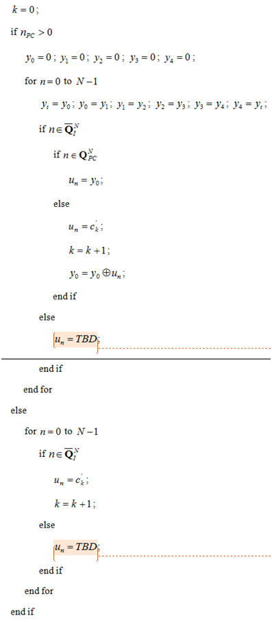
根据下列方法生成序列
u
=
[
u
0
u
1
u
2
…
u
N
−
1
]
mathbf{u}=left[ { {u}_{0}}text{ }{ {u}_{1}}text{ }{ {u}_{2}}text{ }…text{ }{ {u}_{N-1}} right]
u=[u0 u1 u2 … uN−1]:

批注:Need further agreements on how to set the values for frozen bits.
通过
d
=
u
G
n
mathbf{d}=mathbf{u}{ {mathbf{G}}_{n}}
d=uGn编码器得到输出序列,表示为
d
=
[
d
0
d
1
d
2
…
d
N
−
1
]
mathbf{d}=left[ { {d}_{0}}text{ }{ {d}_{1}}text{ }{ {d}_{2}}text{ }…text{ }{ {d}_{N-1}} right]
d=[d0 d1 d2 … dN−1]。编码在二元域GF(2)进行。




LDPC码速率匹配
Polar code速率匹配包括子块交织、比特收集和比特交织。速率匹配的输入序列为
d
0
,
d
1
,
d
2
,
…
,
d
N
−
1
{ {d}_{0}},{ {d}_{1}},{ {d}_{2}},…,{ {d}_{N-1}}
d0,d1,d2,…,dN−1,输出序列表示为
f
0
,
f
1
,
f
2
,
…
,
f
E
−
1
{ {f}_{0}},{ {f}_{1}},{ {f}_{2}},…,{ {f}_{E-1}}
f0,f1,f2,…,fE−1。
polar code速率匹配
子块交织
编码比特
d
0
,
d
1
,
d
2
,
…
,
d
N
−
1
{ {d}_{0}},{ {d}_{1}},{ {d}_{2}},…,{ {d}_{N-1}}
d0,d1,d2,…,dN−1就是子块交织器的输入比特。编码比特
d
0
,
d
1
,
d
2
,
…
,
d
N
−
1
{ {d}_{0}},{ {d}_{1}},{ {d}_{2}},…,{ {d}_{N-1}}
d0,d1,d2,…,dN−1被分为32个子块。子块交织器的输出比特为
y
0
,
y
1
,
y
2
,
…
,
y
N
−
1
{ {y}_{0}},{ {y}_{1}},{ {y}_{2}},…,{ {y}_{N-1}}
y0,y1,y2,…,yN−1,用以下方式生成:

其中子块交织pattern
P
(
i
)
Pleft( i right)
P(i)由Table 5.4.1.1-1给定。

比特索引集合
Q
ˉ
I
N
mathbf{bar{Q}}_{I}^{N}
QˉIN和
Q
ˉ
F
N
mathbf{bar{Q}}_{F}^{N}
QˉFN由下列方法确定,其中
K
K
K,
n
P
C
{ {n}_{PC}}
nPC和
Q
0
N
−
1
mathbf{Q}_{0}^{N-1}
Q0N−1由2.3.1节定义:

比特选择
E
E
E表示速率匹配输出序列的长度,速率匹配输出序列为
e
k
{ {e}_{k}}
ek,
k
=
0
,
1
,
2
,
…
,
E
−
1
k=0,1,2,…,E-1
k=0,1,2,…,E−1由以下方法产生:

比特交织
比特序列
e
0
,
e
1
,
e
2
,
…
,
e
E
−
1
{ {e}_{0}},{ {e}_{1}},{ {e}_{2}},…,{ {e}_{E-1}}
e0,e1,e2,…,eE−1通过以下方法被交织为比特序列
f
0
,
f
1
,
f
2
,
…
,
f
E
−
1
{ {f}_{0}},{ {f}_{1}},{ {f}_{2}},…,{ {f}_{E-1}}
f0,f1,f2,…,fE−1:
T
T
T表示满足
T
(
T
+
1
)
/
2
≥
E
Tleft( T+1 right)/2ge E
T(T+1)/2≥E的最小整数;


上行传输和控制信息
上行共享信道
传输块CRC添加
每个上行共享信道(UL-SCH)传输块都通过一个CRC来提供错误检测。
使用整个传输块来计算CRC校验比特。送到L1的一个传输块的比特表示为 a 0 , a 1 , a 2 , a 3 , … , a A − 1 { {a}_{0}},{ {a}_{1}},{ {a}_{2}},{ {a}_{3}},…,{ {a}_{A-1}} a0,a1,a2,a3,…,aA−1,校验比特为 p 0 , p 1 , p 2 , p 3 , … , p L − 1 { {p}_{0}},{ {p}_{1}},{ {p}_{2}},{ {p}_{3}},…,{ {p}_{L-1}} p0,p1,p2,p3,…,pL−1,其中 A A A是传输块大小, L L L是校验比特数。按照TS 38.321规范中的定义,最低顺序信息比特 a 0 a_0 a0被映射到最高有效位。
校验比特按照2.1节的描述进行计算并添加到UL-SCH传输块中,若 A > 3824 A>3824 A>3824则设置 L L L为24比特,使用生成多项式 g CRC24A ( D ) { {g}_{text{CRC24A}}}left( D right) gCRC24A(D);否则设置 L L L为16比特,使用生成多项式 g CRC16 ( D ) { {g}_{text{CRC16}}}left( D right) gCRC16(D).。
码块分段及CRC添加
码块分段的输入比特流记为
b
0
,
b
1
,
b
2
,
b
3
,
…
,
b
B
−
1
{ {b}_{0}},{ {b}_{1}},{ {b}_{2}},{ {b}_{3}},…,{ {b}_{B-1}}
b0,b1,b2,b3,…,bB−1,其中
B
B
B表示传输块的比特数目(包含CRC)。
码块分段及CRC添加根据2.2.1节中描述进行。
码块分段之后的比特流记为 c r 0 , c r 1 , c r 2 , c r 3 , … , c r ( K r − 1 ) { {c}_{r0}},{ {c}_{r1}},{ {c}_{r2}},{ {c}_{r3}},…,{ {c}_{rleft( { {K}_{r}}-1 right)}} cr0,cr1,cr2,cr3,…,cr(Kr−1) ,其中 r r r是码块号, K r K_r Kr是码块 r r r的比特数。
UL-SCH的信道编码
码块比特流送至信道编码模块。码块中的比特表示为
c
r
0
,
c
r
1
,
c
r
2
,
c
r
3
,
…
,
c
r
(
K
r
−
1
)
{ {c}_{r0}},{ {c}_{r1}},{ {c}_{r2}},{ {c}_{r3}},…,{ {c}_{rleft( { {K}_{r}}-1 right)}}
cr0,cr1,cr2,cr3,…,cr(Kr−1),其中
r
r
r是码块号,
K
r
K_r
Kr是码块
r
r
r的比特数。码块的总数表示为
C
C
C,每个码块根据2.3.2节的描述独立地进行LDPC编码。
编码之后的比特流表示为 d 0 , d 1 , d 2 , … , d N − 1 { {d}_{0}},{ {d}_{1}},{ {d}_{2}},…,{ {d}_{N-1}} d0,d1,d2,…,dN−1,其中对于LDPC BG#1,有 N = 66 Z c N=66{ {Z}_{c}} N=66Zc;对于LDPC BG#2,有 N = 50 Z c N=50{ {Z}_{c}} N=50Zc。 Z c Z_c Zc的值由2.2.1节给定。
上行控制信息
PUCCH上的控制信息
UCI比特序列生成
notes: This section will capture how to generate the UCI bit stream a 0 , a 1 , a 2 , a 3 , … , a A − 1 { {a}_{0}},{ {a}_{1}},{ {a}_{2}},{ {a}_{3}},…,{ {a}_{A-1}} a0,a1,a2,a3,…,aA−1.
CRC添加
如果UCI负载大小
A
≥
A
0
Age { {A}_{0}}
A≥A0,整个负载都用于计算CRC校验比特。负载比特表示为
a
0
,
a
1
,
a
2
,
a
3
,
…
,
a
A
−
1
{ {a}_{0}},{ {a}_{1}},{ {a}_{2}},{ {a}_{3}},…,{ {a}_{A-1}}
a0,a1,a2,a3,…,aA−1,校验比特表示为
p
0
,
p
1
,
p
2
,
p
3
,
…
,
p
L
−
1
{ {p}_{0}},{ {p}_{1}},{ {p}_{2}},{ {p}_{3}},…,{ {p}_{L-1}}
p0,p1,p2,p3,…,pL−1,其中
A
A
A是UCI负载大小,
L
L
L是校验比特数。
校验比特按照2.1节的描述进行计算并添加,并设置 L 4 为 X 比 特 , 得 到 添 加 C R C 后 的 比 特 序 列 L4为X比特,得到添加CRC后的比特序列 L4为X比特,得到添加CRC后的比特序列{ {b}{0}},{ {b}{1}},{ {b}{2}},{ {b}{3}},…,{ {b}_{B-1}} , 其 中 ,其中 ,其中B=A+L。
UCI的信道编码
信息比特流送至信道编码模块。信息比特流表示为 c 0 , c 1 , c 2 , c 3 , … , c K − 1 { {c}_{0}},{ {c}_{1}},{ {c}_{2}},{ {c}_{3}},…,{ {c}_{K-1}} c0,c1,c2,c3,…,cK−1,其中 K K K是比特数。
如果 12 ≤ K ≤ 22 12le Kle 22 12≤K≤22,则信息比特根据2.3.1节通过Polar进行编码,若 E − K > 192 E-K>192 E−K>192,则设置 n max = 10 { {n}_{max }}=10 nmax=10, I I L = 0 { {I}_{IL}}=0 IIL=0, n P C = 3 { {n}_{PC}}=3 nPC=3, n P C w m = 1 n_{PC}^{wm}=1 nPCwm=1;
若 E − K ≤ 192 E-Kle 192 E−K≤192,则设置 n P C w m = 0 n_{PC}^{wm}=0 nPCwm=0,其中 E E E是由3.3.1.4节给定的速率匹配输出序列长度。
如果 K > 22 K>22 K>22,则信息比特根据2.3.1节通过Polar进行编码,设置 n P C w m = 10 n_{PC}^{wm}=10 nPCwm=10, I I L = 0 { {I}_{IL}}=0 IIL=0, n P C = 0 { {n}_{PC}}=0 nPC=0, n P C w m = 0 n_{PC}^{wm}=0 nPCwm=0;
编码之后的比特流表示为 d 0 , d 1 , d 2 , d 3 , … , d N − 1 { {d}_{0}},{ {d}_{1}},{ {d}_{2}},{ {d}_{3}},…,{ {d}_{N-1}} d0,d1,d2,d3,…,dN−1,其中 N N N是编码比特数。
速率匹配
PUSCH上的控制信息
UCI比特序列生成
notes: This section will capture how to generate the UCI bit stream a 0 , a 1 , a 2 , a 3 , … , a A − 1 { {a}_{0}},{ {a}_{1}},{ {a}_{2}},{ {a}_{3}},…,{ {a}_{A-1}} a0,a1,a2,a3,…,aA−1.
CRC添加
如果UCI负载大小
A
≥
A
0
Age { {A}_{0}}
A≥A0,整个负载都用于计算CRC校验比特。负载比特表示为
a
0
,
a
1
,
a
2
,
a
3
,
…
,
a
A
−
1
{ {a}_{0}},{ {a}_{1}},{ {a}_{2}},{ {a}_{3}},…,{ {a}_{A-1}}
a0,a1,a2,a3,…,aA−1,校验比特表示为
p
0
,
p
1
,
p
2
,
p
3
,
…
,
p
L
−
1
{ {p}_{0}},{ {p}_{1}},{ {p}_{2}},{ {p}_{3}},…,{ {p}_{L-1}}
p0,p1,p2,p3,…,pL−1,其中
A
A
A是UCI负载大小,
L
L
L是校验比特数。
校验比特按照2.1节的描述进行计算并添加,并设置 L 4 为 X 比 特 , 得 到 添 加 C R C 后 的 比 特 序 列 L4为X比特,得到添加CRC后的比特序列 L4为X比特,得到添加CRC后的比特序列{ {b}{0}},{ {b}{1}},{ {b}{2}},{ {b}{3}},…,{ {b}_{B-1}} , 其 中 ,其中 ,其中{B=A+L}。
UCI的信道编码
信息比特流送至信道编码模块。信息比特流表示为 c 0 , c 1 , c 2 , c 3 , … , c K − 1 { {c}_{0}},{ {c}_{1}},{ {c}_{2}},{ {c}_{3}},…,{ {c}_{K-1}} c0,c1,c2,c3,…,cK−1,其中 K K K是比特数。
如果 12 ≤ K ≤ 22 12le Kle 22 12≤K≤22,则信息比特根据2.3.1节通过Polar进行编码,若 E − K > 192 E-K>192 E−K>192,则设置 n max = 10 { {n}_{max }}=10 nmax=10, I I L = 0 { {I}_{IL}}=0 IIL=0, n P C = 3 { {n}_{PC}}=3 nPC=3, n P C w m = 1 n_{PC}^{wm}=1 nPCwm=1;
若 E − K ≤ 192 E-Kle 192 E−K≤192,则设置 n P C w m = 0 n_{PC}^{wm}=0 nPCwm=0,其中 E E E是由3.3.1.4节给定的速率匹配输出序列长度。
如果 K > 22 K>22 K>22,则信息比特根据2.3.1节通过Polar进行编码,设置 n P C w m = 10 n_{PC}^{wm}=10 nPCwm=10, I I L = 0 { {I}_{IL}}=0 IIL=0, n P C = 0 { {n}_{PC}}=0 nPC=0, n P C w m = 0 n_{PC}^{wm}=0 nPCwm=0;
编码之后的比特流表示为 d 0 , d 1 , d 2 , d 3 , … , d N − 1 { {d}_{0}},{ {d}_{1}},{ {d}_{2}},{ {d}_{3}},…,{ {d}_{N-1}} d0,d1,d2,d3,…,dN−1,其中 N N N是编码比特数。
速率匹配
下行传输和控制信息
广播信息
到达编码单元的数据,每80ms最多有一个传输块,其编码流程如下:
- 向传输块添加CRC
- 信道编码
- 速率匹配
传输块CRC添加
BCH传输块都通过CRC来进行错误检测。
使用整个传输块来计算CRC校验比特。送到L1的一个传输块的比特表示为 a 0 , a 1 , a 2 , a 3 , … , a A − 1 { {a}_{0}},{ {a}_{1}},{ {a}_{2}},{ {a}_{3}},…,{ {a}_{A-1}} a0,a1,a2,a3,…,aA−1,校验比特为 p 0 , p 1 , p 2 , p 3 , … , p L − 1 { {p}_{0}},{ {p}_{1}},{ {p}_{2}},{ {p}_{3}},…,{ {p}_{L-1}} p0,p1,p2,p3,…,pL−1,其中 A A A是传输块大小, L L L是校验比特数。按照TS 38.321规范中的定义,最低顺序信息比特 a 0 a_0 a0被映射到最高有效位。
校验比特按照2.1节的描述进行计算并添加到UL-SCH传输块中,若 A > 3824 A>3824 A>3824,则设置 L L L为24比特,使用生成多项式 g CRC24A ( D ) { {g}_{text{CRC24A}}}left( D right) gCRC24A(D);否则设置 L L L为16比特,使用生成多项式 g CRC16 ( D ) { {g}_{text{CRC16}}}left( D right) gCRC16(D)。
信道编码
信息比特送至信道编码模块。信息比特表示为
c
0
,
c
1
,
c
2
,
c
3
,
…
,
c
K
−
1
{ {c}_{0}},{ {c}_{1}},{ {c}_{2}},{ {c}_{3}},…,{ {c}_{K-1}}
c0,c1,c2,c3,…,cK−1,其中
K
K
K是信息比特数,它们根据2.3.1节进行Polar编码,并设置
n
max
=
9
{ {n}_{max }}=9
nmax=9,
I
I
L
=
1
{ {I}_{IL}}=1
IIL=1,
n
P
C
=
0
{ {n}_{PC}}=0
nPC=0,
n
P
C
w
m
=
0
n_{PC}^{wm}=0
nPCwm=0;
编码之后的比特序列表示为 d 0 , d 1 , d 2 , d 3 , … , d N − 1 { {d}_{0}},{ {d}_{1}},{ {d}_{2}},{ {d}_{3}},…,{ {d}_{N-1}} d0,d1,d2,d3,…,dN−1,其中 N N N为编码比特数。
速率匹配
下行共享信道和寻呼信道
传输块CRC添加
每个传输块都通过CRC来进行错误检测。
使用整个传输块来计算CRC校验比特。送到L1的一个传输块的比特表示为 a 0 , a 1 , a 2 , a 3 , … , a A − 1 { {a}_{0}},{ {a}_{1}},{ {a}_{2}},{ {a}_{3}},…,{ {a}_{A-1}} a0,a1,a2,a3,…,aA−1,校验比特为 p 0 , p 1 , p 2 , p 3 , … , p L − 1 { {p}_{0}},{ {p}_{1}},{ {p}_{2}},{ {p}_{3}},…,{ {p}_{L-1}} p0,p1,p2,p3,…,pL−1,其中 A A A是传输块大小, L L L是校验比特数。按照TS 38.321规范中的定义,最低顺序信息比特 a 0 a_0 a0被映射到最高有效位。
校验比特按照2.1节的描述进行计算并添加到UL-SCH传输块中,若 A > 3824 A>3824 A>3824,则设置 L L L为24比特,使用生成多项式 g CRC24A ( D ) { {g}_{text{CRC24A}}}left( D right) gCRC24A(D);否则设置 L L L为16比特,使用生成多项式 g CRC16 ( D ) { {g}_{text{CRC16}}}left( D right) gCRC16(D)。
码块分段及CRC添加
码块分段的输入比特流记为
b
0
,
b
1
,
b
2
,
b
3
,
…
,
b
B
−
1
{ {b}_{0}},{ {b}_{1}},{ {b}_{2}},{ {b}_{3}},…,{ {b}_{B-1}}
b0,b1,b2,b3,…,bB−1,其中
B
B
B表示传输块的比特数目(包含CRC)。
码块分段及CRC添加根据2.2.1节中描述进行。
码块分段之后的比特流记为 c r 0 , c r 1 , c r 2 , c r 3 , … , c r ( K r − 1 ) { {c}_{r0}},{ {c}_{r1}},{ {c}_{r2}},{ {c}_{r3}},…,{ {c}_{rleft( { {K}_{r}}-1 right)}} cr0,cr1,cr2,cr3,…,cr(Kr−1),其中 r r r是码块号, K r K_r Kr是码块 r r r的比特数。
信道编码
码块比特流送至信道编码模块。码块中的比特表示
c
r
0
,
c
r
1
,
c
r
2
,
c
r
3
,
…
,
c
r
(
K
r
−
1
)
{ {c}_{r0}},{ {c}_{r1}},{ {c}_{r2}},{ {c}_{r3}},…,{ {c}_{rleft( { {K}_{r}}-1 right)}}
cr0,cr1,cr2,cr3,…,cr(Kr−1),其中
r
r
r是码块号,
K
r
K_r
Kr是码块
r
r
r的比特数。码块的总数表示为
C
C
C,每个码块根据2.3.2节的描述独立地进行LDPC编码。
编码之后的比特流表示为 d 0 , d 1 , d 2 , … , d N − 1 { {d}_{0}},{ {d}_{1}},{ {d}_{2}},…,{ {d}_{N-1}} d0,d1,d2,…,dN−1,其中对于LDPC BG#1,有 N = 66 Z c N=66Z_c N=66Zc;对于LDPC BG#2,有 N = 50 Z c N=50Z_c N=50Zc。 Z c Z_c Zc的值由2.2.1节给定。
速率匹配
下行控制信息
DCI传输下行和上行调度信息,对非周期CQI报告的请求,或对一个小区和RNTI的上行功率控制命令。编码流程如下:
- 信息单元复用
- CRC添加
- 信道编码
- 速率匹配
DCI格式
CRC添加
DCI传输通过CRC进行错误检测。
使用整个DCI负载计算CRC校验比特。DCI负载比特表示为 a 0 , a 1 , a 2 , a 3 , … , a A − 1 { {a}_{0}},{ {a}_{1}},{ {a}_{2}},{ {a}_{3}},…,{ {a}_{A-1}} a0,a1,a2,a3,…,aA−1校验比特表示为 p 0 , p 1 , p 2 , p 3 , … , p L − 1 { {p}_{0}},{ {p}_{1}},{ {p}_{2}},{ {p}_{3}},…,{ {p}_{L-1}} p0,p1,p2,p3,…,pL−1,其中 A A A为DCI负载比特大小, L L L为校验比特数。
校验比特按照2.1节的描述进行计算并添加,并设置 L L L为24比特,使用生成多项式 g CRC24C ( D ) { {g}_{text{CRC24C}}}left( D right) gCRC24C(D),得到添加CRC后的比特序列 b 0 , b 1 , b 2 , b 3 , … , b B − 1 { {b}_{0}},{ {b}_{1}},{ {b}_{2}},{ {b}_{3}},…,{ {b}_{B-1}} b0,b1,b2,b3,…,bB−1,其中 B = A + L B=A+L B=A+L。
信道编码
信息比特送至信道编码模块。信息比特表示为
c
0
,
c
1
,
c
2
,
c
3
,
…
,
c
K
−
1
{ {c}_{0}},{ {c}_{1}},{ {c}_{2}},{ {c}_{3}},…,{ {c}_{K-1}}
c0,c1,c2,c3,…,cK−1,其中
K
K
K是信息比特数,它们根据2.3.1节进行Polar编码,并设置
n
max
=
9
{ {n}_{max }}=9
nmax=9,
I
I
L
=
1
{ {I}_{IL}}=1
IIL=1,
n
P
C
=
0
{ {n}_{PC}}=0
nPC=0,
n
P
C
w
m
=
0
n_{PC}^{wm}=0
nPCwm=0;
编码之后的比特序列表示为 d 0 , d 1 , d 2 , d 3 , … , d N − 1 { {d}_{0}},{ {d}_{1}},{ {d}_{2}},{ {d}_{3}},…,{ {d}_{N-1}} d0,d1,d2,d3,…,dN−1,其中 N N N为编码比特数。
速率匹配
最后
以上就是悦耳蜜粉最近收集整理的关于5G-NR复用与信道编码的全部内容,更多相关5G-NR复用与信道编码内容请搜索靠谱客的其他文章。
发表评论 取消回复