我是靠谱客的博主 爱笑灯泡,这篇文章主要介绍学习5g通信心得体会_5G通信标准学习笔记——让信号飞一会(L1篇上)无线接口物理层的特点(L1)传输信道物理信道传输信道与物理信道的映射,现在分享给大家,希望可以做个参考。

无线接口

无线接口是用户与接入网之间的接口,说的通俗一些就是手机搜索到的信号。无线接口的作用主要是用来建立并且维护各种无线承载,这是一个完全开放的接口,只要是遵循接口协议的设备,都能够接入。无线承载是什么,简单来说就是你正在使用手机的时候,让gNB知道了有这么一个手机存在,并且给这个手机了一个独一无二的编号,这样才会把需要给你发送的内容准确的发送到你的手机上,而不会被别的手机接收。

无线接口的协议栈只要分为了三个层两个面,其中三层分别是物理层(L1)、数据链路层(L2)、网络层(L3),而2面则是指控制面和用户面。

751315eee63572b6e75e86b86f524ad9.png

图文无关

物理层的特点(L1)

物理层,顾名思义是处在最底层的,提供数据传输具体功能的一层。5G的物理层设计有如下几个特点:

1、 OFDM加MIMO

MIMO的作用已经在LTE网络中得到证明,虽对单个终端的增益有限,但对整个系统而言,空间复用能够大幅度提升整个系统的频谱使用效率,换句话来说,就是提升了网络的容量。现在回想一下,是不是有在人流密度大的时候上不去网,比如演唱会好不容易从黄牛手里抢来了前排票,现场想发个朋友圈却发现一直在加载中。这就是网络高负荷的表现,现场使用网路人太多,导致谁也分不到足够使用的资源。

f5fae0da22d510198ad5212b5396d9f0.png

波束赋形示意图

在OFDM技术上,5G下行与LTE相同,都使用的是OFDMA技术,而5G在上行不仅支持SC-FDMA(LTE上行相同)技术还支持OFDMA(LTE下行相同)技术。

2、 更加灵活的基础设计

a) 更加灵活的帧结构设计

灵活的帧结构设计是5G物理层设计的核心。5G帧结构的设计是按照TDD的思路进行,以时隙(slot)为基础,每个slot有14个符号。在LTE系统中,TDD帧结构的配置周期是5ms或10ms。配置周期越长,也就意味着系统反馈时间越长。举个例子:手机向核心网发送了一个请求消息,那么最快的情况下,也需要在下一个周期的下行子帧才会收到响应消息。因此,在5G系统的帧结构设计中,支持更短的周期配置就是必须的了,而实际上,5G的帧结构周期实际支持在1ms以内的多种配置方式。

不仅配置了更多类型更短周期的帧结构,而且支持符号级别的调度与反馈。相比LTE系统子帧级别的调度,提升不只是一点点。

b)灵活的双工设计

5G系统上行仅支持SC-FDMA技术还支持OFDMA技术。当上行采用OFDMA技术时,上下行波形对称,接收机可以把上行和下行信号联合处理,消除干扰,提升系统性能。(这个没看明白怎么联合处理,尴尬…)

5G系统引入了上下行解耦技术,也就是不同与LTE时期一个下行载波进配置一个上行载波的设计,5G一个下行载波可以配置除一个对应的上行载波外,还可以配置额外的增补上行载波。举个例子:给高频载波部署一些相对较低频率的增补上行载波,这样可以显著提高5G的覆盖范围。

3、 一体化大规模天线

5G需要支持高达100GHz的频谱范围,天线系统的天线个数也远大于LTE系统的天线个数。波束赋形技术是大规模天线设计的核心所在。(原谅我不是搞天线的…)

417dfec70f61f95f15ba78f5f0ca2f44.png

大规模阵列天线

传输信道

1、 下行传输信道

a) 广播信道(BCH broadcast channel)

采用事先定义好的传输格式,在整个小区内广播

b) 下行共享信道(DL-SCH downlink shared channel)

该信道支持重传,并且能够随时调整传输使用的调制方式、编码速率以及发送功率等

c) 寻呼信道(PCH paging channel)

支持终端采用非连续接收的方式(为了给终端省电)。

2、 上行传输信道

a) 上行共享信道(UL-SCH uplink shared channel)

类似下行共享信道,支持重传,并且能够随时调整传输使用的调制方式、编码速率以及发送功率等

b) 随机接入信道(RACH random access channel)

承载用户随机接入的功能,具有少量的控制消息,并且可能发生碰撞。

物理信道

1、 物理广播信道(PBCH)——承载部分系统消息,与同步信号一起提供入网的必要信息

2、 物理下行链路控制信道(PDCCH)——用于下行控制信息发送,主要是调度信息。提供PDSCH接收和PUSCH发送的必要信息

3、 物理下行链路共享信道(PDSCH)——发送下行数据,也承载寻呼信息及部分系统消息

4、 物理随机接入信道(PRACH)——用于随机接入

5、 物理上行链路控制信道(PUCCH)——用于上行控制信息发送。终端发送HARQ;指示数据是否接收成功;上行发送数据请求

6、 物理上行链路共享信道(PUSCH)——上行数据发送,承载部分上行控制信息

传输信道与物理信道的映射

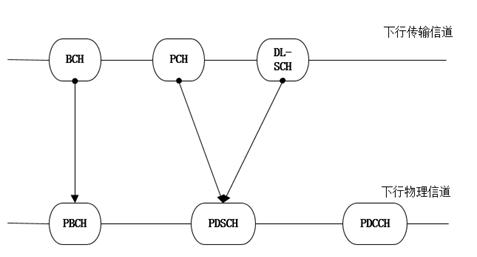
下行:

BCH——————————PBCH

PCH+DL-SCH——————PDSCH

ab09752bcb57ee88e7b778801346f5c3.png

下行传输信道与物理信道映射

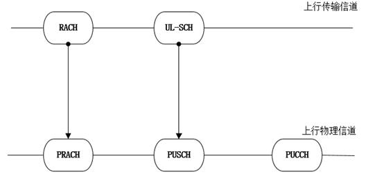
上行

RACH—————————PRACH

UL-SCH————————PUSCH

b0c3e31cd5493e1d6f127edba51d4d68.png

上行传输信道与物理信道映射

物理层上篇就到此为止了,给大家介绍了物理层的一些显著特点,后续将会逐步深入对物理层进行学习。

下一篇将会更新5G帧结构内容,会介绍5G系统的基础帧结构设计。如果有什么意见或建议,请回复我,感谢!

最后

以上就是爱笑灯泡最近收集整理的关于学习5g通信心得体会_5G通信标准学习笔记——让信号飞一会(L1篇上)无线接口物理层的特点(L1)传输信道物理信道传输信道与物理信道的映射的全部内容,更多相关学习5g通信心得体会_5G通信标准学习笔记——让信号飞一会(L1篇上)无线接口物理层内容请搜索靠谱客的其他文章。

本图文内容来源于网友提供,作为学习参考使用,或来自网络收集整理,版权属于原作者所有。
点赞(231)

评论列表共有 0 条评论

立即
投稿
返回
顶部