题目:Energy-Efficient Task Offloading Based on Differential Evolution in Edge Computing System With Energy Harvesting
研究内容:
研究了无线供电的边缘计算网络,综合考虑无线通信网络中传感器节点有限的能量和计算能力,提出了基于不同进化的能量收集和任务计算优化方案
(1)首先,建立无线边缘计算网络模型,分析系统的能量收集、任务卸载和任务计算,以及系统的计算总次数和总能耗。
(2)根据系统的总计算位数和总能耗,建立优化系统能效的目标函数,提出基于差分进化的优化方法,得到系统计算、卸载时间、计算时间和频率的最优能效。
(3)实验结果表明,该方法不仅能取得较好的收敛效果,而且能有效解决微型设备的能源短缺问题,延长设备的使用寿命。
系统模型:

本文对无线供电的边缘计算网络进行了研究。系统框架模型如图1所示。该系统由一个专用发电站、K个边缘用户和一个边缘服务器组成。发电站为边缘用户提供能源。边缘用户利用接收到的能量将一部分需要计算的任务卸载到边缘服务器,另一部分在本地计算。边缘服务器计算由边缘用户传递的数据,并在完成后反馈给边缘用户。两者通过无线信道相互作用。
能量收集阶段:
能量站向移动边缘用户的发射功率为
(最大值0-3w),传输时间为
,能量转换效率是
(0.6)
假设边缘用户的个数为K,
为能量站和第k个用户之间的信道增益
每个用户从能量站得到的总能量为:
任务卸载:
第k个边缘用户卸载任务的时间为:
系统带宽为:W
边缘用户和边缘服务器之间的信道增益为:
第k个边缘用户的发射功率为:
遭受功率为
第k个边缘用户卸载到服务器的比特数为:
总体比特数为:
MEC任务计算:
边缘服务器的工作频率为:
工作时间为:
1bit数据所需要的cpu周期为:
边缘服务器的最大任务数为:
边缘服务器最终的计算位数为:
边缘服务器的有效电容为:
边缘服务器处理任务的能耗为:
本地计算:
第k个用户的本地计算时间为:
本地计算频率为:
第k个边缘用户的有效电容:
第k个用户本地计算的比特数:
第k个用户本地计算的能耗:
在考虑能耗时,大多数研究者只考虑边缘用户,而忽略了电站和边缘服务器的能耗。本文在实验设计中考虑了专用能源站、边缘服务器、传感器和边缘用户的能耗
专用能源站、边缘服务器、传感器和边缘用户的能耗分别为E1、E2和E3,具体如下:
系统的总能耗为:
专用能源站的电路损耗:
第k个边缘用户的电路损耗:
总比特数:
计算出的无线功能计算网络系统的能量效率如下:
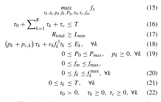
总体数学建模:
16)表示整个系统的能量传输、服务器的任务卸载和任务计算应该在指定的时间内完成,其中T相当于设置一个最大延迟。
17)给出了系统所需的最小位数(Lmin)
18)表示边缘用户消耗的能量不能超过他们从能源站接收的能量。
19)规定能量站的最大发射功率不能超过Pmax。
(20)定义边缘服务器的最大工作频率和边缘用户的最大本地计算频率不应分别超过fmax和fmax k。
(21)是边缘用户局部计算的时间约束,局部计算时间不能超过T.
(22)是能量转移时间、边缘用户卸载任务时间和边缘服务器的时间约束进行计算。
最后
以上就是留胡子舞蹈最近收集整理的关于文献阅读20201-3-17的全部内容,更多相关文献阅读20201-3-17内容请搜索靠谱客的其他文章。








发表评论 取消回复