NR Rel-15/16学习笔记
- PUCCH Format 2/3/4占用的物理资源
- Scrambling
- Modulation
- Frequency Domain OCC
- Transform Precoding for Format 3/4
- Mapping to physical resources
- DMRS position
- Data position
- Configuration of PUCCH Format 2/3/4
- Summary
PUCCH Format 2/3/4占用的物理资源
Scrambling
-
PUCCH Format 2

其中,加扰序列 c ( i ) c(i) c(i)的生成器初始化使用如下公式

其中, n R N T I n_{RNTI} nRNTI由C-RNTI决定;如果配置了高层参数dataScramblingIdentityPUSCH, n I D n_{ID} nID等于配置的数值;否则, n I D = N I D c e l l n_{ID}=N_{ID}^{cell} nID=NIDcell。 -
PUCCH Format 3/4

其中,加扰序列 c ( i ) c(i) c(i)的生成器初始化使用如下公式

其中, n R N T I n_{RNTI} nRNTI由C-RNTI决定;如果配置了高层参数dataScramblingIdentityPUSCH, n I D n_{ID} nID等于配置的数值;否则, n I D = N I D c e l l n_{ID}=N_{ID}^{cell} nID=NIDcell。
Modulation
- PUCCH Format 2
QPSK - PUCCH Format 3/4
QPSK, π / 2 pi/2 π/2-BPSK
Frequency Domain OCC
orthogonal cover code(OCC)
- PUCCH Format 3
PUCCH Format 3 没有使用频域扩频码。其占据的RB数目 M R B P U C C H , 3 M_{RB}^{PUCCH,3} MRBPUCCH,3等于 2 α 2 × 3 α 3 × 5 α 5 ∈ ( 1 , 16 ) 2^{alpha_2} times3^{alpha_3}times5^{alpha_5}in{(1,16)} 2α2×3α3×5α5∈(1,16),且 α 2 , α 3 , α 5 alpha_2,alpha_3,alpha_5 α2,α3,α5均是正整数,因此,PUCCH Format可能占据的RB数目为 ( 1 , 2 , 3 , 5 , 6 , 10 , 15 ) (1,2,3,5,6,10,15) (1,2,3,5,6,10,15)。
PUCCH Format 3在某个OFDM符号上占据的RE数目 M s c P U C C H , 3 = M R B P U C C H , 3 × N s c R B M_{sc}^{PUCCH,3}=M_{RB}^{PUCCH,3}times N_{sc}^{RB} MscPUCCH,3=MRBPUCCH,3×NscRB。
Modulation后的符号记作 d ( x ) d(x) d(x),将其映射为 y ( x ) y(x) y(x),公式如下:

其中, l l l是时序OFDM符号索引, k k k是某个RB上的子载波索引。 - PUCCH Format 4
PUCCH Format 4只占据一个RB,因此 M R B P U C C H , 4 = 1 , M s c P U C C H , 4 = 12 M_{RB}^{PUCCH,4}=1, M_{sc}^{PUCCH,4}=12 MRBPUCCH,4=1,MscPUCCH,4=12。扩频因子记作 N S F P U C C H , 4 = 2 , 4 N_{SF}^{PUCCH,4}={2,4} NSFPUCCH,4=2,4,扩频序列 w n w_n wn如下表所示:


扩频的公式如下所示:

以 N S F P U C C H , 4 = 4 N_{SF}^{PUCCH,4}=4 NSFPUCCH,4=4为例,扩频的过程是将相同的 d ( x ) d(x) d(x)重复4遍,然后乘以扩频序列。
当 l = 0 l=0 l=0,在第 0 0 0到第 11 11 11个子载波上,发出的是 d ( 0 ) , d ( 1 ) , d ( 2 ) , d ( 0 ) , d ( 1 ) , d ( 2 ) , d ( 0 ) , d ( 1 ) , d ( 2 ) , d ( 0 ) , d ( 1 ) , d ( 2 ) d(0),d(1),d(2),d(0),d(1),d(2),d(0),d(1),d(2),d(0),d(1),d(2) d(0),d(1),d(2),d(0),d(1),d(2),d(0),d(1),d(2),d(0),d(1),d(2)。
当 l = 1 l=1 l=1,在第 0 0 0到第 11 11 11个子载波上,发出的是 d ( 3 ) , d ( 4 ) , d ( 5 ) , d ( 3 ) , d ( 4 ) , d ( 5 ) , d ( 3 ) , d ( 4 ) , d ( 5 ) , d ( 3 ) , d ( 4 ) , d ( 5 ) d(3),d(4),d(5),d(3),d(4),d(5),d(3),d(4),d(5),d(3),d(4),d(5) d(3),d(4),d(5),d(3),d(4),d(5),d(3),d(4),d(5),d(3),d(4),d(5)。
因此,与未进行扩频相比,占据的OFDM符号扩大了 N S F P U C C H , 4 N_{SF}^{PUCCH,4} NSFPUCCH,4倍, l l l的最大索引值为 N S F P U C C H , 4 × M s y m / M s c P U C C H , 4 N_{SF}^{PUCCH,4} times M_{sym}/M_{sc}^{PUCCH,4} NSFPUCCH,4×Msym/MscPUCCH,4。扩频能够使得最多 N S F P U C C H , 4 N_{SF}^{PUCCH,4} NSFPUCCH,4个UE使用相同的时频资源发送不同的信息。
Transform Precoding for Format 3/4
之后,对PUCCH Format 3/4进行DFT扩展,公式如下所示:

Mapping to physical resources
DMRS position
-
PUCCH Format 2
-
DMRS序列生成

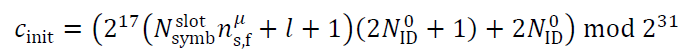
其中, c ( i ) c(i) c(i)是伪随机序列,生成器的初始化如下所示:

l l l是一个slot内的OFDM符号编号
n s , f u n_{s,f}^{u} ns,fu是一个无线帧内的slot编号
N I D 0 N_{ID}^{0} NID0等于RRC信令DMRS-UplinkConfig中scramblingID0的值,如果该项缺省,则等于 N I D c e l l N_{ID}^{cell} NIDcell。 -
DMRS映射
映射公式如下:

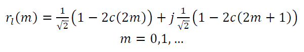
通过该公式,从 r ( 0 ) r_(0) r(0)开始映射 r l ( m ) r_{l}(m) rl(m),将其映射到第 ( k , l ) ( p , u ) (k,l)_(p,u) (k,l)(p,u)个RE上。其中, k = 0 k=0 k=0对应CRB0的第0个子载波, β P U C C H , 2 beta_{PUCCH,2} βPUCCH,2是功控因子, p p p是天线端口号,等于2000。可以看出,对于某个用于传输PUCCH Format的RB,其第1,4,7,10个SC被DMRS占据。其示意图如下所示:

-
-
PUCCH Format 3/4
-
DMRS序列生成
DMRS序列 r l ( m ) r_l(m) rl(m)通过下列公式生成:

其中, r u , v ( α , δ ) r_{u,v}^{(alpha,delta)} ru,v(α,δ)是Low-PAPR序列,和PUCCH Format 0/1使用的序列一样,其参数 α alpha α的选取如下:- PUCCH Format 3, α = 0 alpha=0 α=0
- PUCCH Format 4, 如下表所示,也意味着当
N
S
F
P
U
C
C
H
,
4
=
x
N_{SF}^{PUCCH,4}=x
NSFPUCCH,4=x,x个PUCCH占据相同的时频资源,但是通过码域正交进行区分:

-
DMRS映射
按照如下公式进行映射:

其中, M s c P U C C H , s M_{sc}^{PUCCH,s} MscPUCCH,s是PUCCH占据的总RE数目,等于 M R B P U C C H , s × N s c R B M_{RB}^{PUCCH,s}times N_{sc}^{RB} MRBPUCCH,s×NscRB; k k k是分配给PUCCH最小RB序号的第一个子载波; l l l是第一个用于传输PUCCH的OFDM符号。根据跳频与否以及DMRS数量, l l l的起始位置如下表所示:

-
对于PUCCH Frequency Hopping, 共有两个Hopping的位置,第一个Hopping的长度是 ⌊ N s y m b P U C C H , s / 2 ⌋ lfloor{N^{PUCCH,s}_{symb}/2}rfloor ⌊NsymbPUCCH,s/2⌋,第二个Hopping的长度是 N s y m b P U C C H , s / 2 − ⌊ N s y m b P U C C H , s / 2 ⌋ N^{PUCCH,s}_{symb}/2-lfloor{N^{PUCCH,s}_{symb}/2}rfloor NsymbPUCCH,s/2−⌊NsymbPUCCH,s/2⌋.
下面示意图是PUCCH length从4到9的DMRS位置示意图,此时配置No additional DM-RS与Additional DM-RS,其DMRS的数量与位置均一致。

下面示意图是从PUCCH length从10到14的DMRS位置示意图,此时配置Additional DM-RS比No additional DM-RS多两个DMRS,且DMRS的位置也不一致。左边是No additional DM-RS,右边是Additional DM-RS。

Data position
PUCCH Format 3/4按照先频域再时域的方式将
z
(
x
)
z(x)
z(x)映射到时频资源块上。
在时隙内跳频的情况下,第一个Hop有
⌊
N
s
y
m
b
P
U
C
C
H
,
s
/
2
⌋
lfloor{N^{PUCCH,s}_{symb}/2}rfloor
⌊NsymbPUCCH,s/2⌋个符号,第二个Hop有
N
s
y
m
b
P
U
C
C
H
,
s
/
2
−
⌊
N
s
y
m
b
P
U
C
C
H
,
s
/
2
⌋
N^{PUCCH,s}_{symb}/2-lfloor{N^{PUCCH,s}_{symb}/2}rfloor
NsymbPUCCH,s/2−⌊NsymbPUCCH,s/2⌋个符号。两个Hopping对应的PRB位置由RRC信令规定。
Configuration of PUCCH Format 2/3/4
本节主要阐述如何利用RRC配置用于传输PUCCH Format 2/3/4的物理资源。
利用RRC配置PUCCH可以分为两种
- 通过Cell specific的RRC信令PUCCH-ConfigCommon以及38.213中的默认表格配置用于传输PUCCH Format 0/1的资源。
- 通过UE specific的RRC信令PUCCH-Config配置用于传输PUCCH Format 0/1/2/3/4的资源。
用于传输PUCCH的资源可以按照能够承载UCI信息的大小分为不同的资源集合,称为PUCCH Resource set。每个Resource set中有多个PUCCH Resource,用于传输相同或不同的PUCCH 格式。
每个UE最多能够配置4个PUCCH Resource Set,第一个PUCCH Resource set最多有32个PUCCH Resource,剩下3个PUCCH Resource最多有8个PUCCH Resource。
如果UE传输的UCI信息包含HARQ-ACK信息,根据UCI的比特位数选择PUCCH Resource Set。
- 当 O U C I O_{UCI} OUCI的比特位数小于2,且其中包含了1/2比特的HARQ-ACK信息和SR信息。
- 当 2 < O U C I < N 2 2<O_{UCI}<N_{2} 2<OUCI<N2,其中 N 2 N_{2} N2是由RRC规定的UCI最大payload。如果没有规定, N 2 = 1706 N_{2}=1706 N2=1706.
- 当 N 2 < O U C I < N 3 N_{2}<O_{UCI}<N_{3} N2<OUCI<N3,其中 N 3 N_{3} N3是由RRC规定的UCI最大payload。如果没有规定, N 3 = 1706 N_{3}=1706 N3=1706.
- 当 N 3 < O U C I < 1706 N_{3}<O_{UCI}<1706 N3<OUCI<1706,其中 N 3 N_{3} N3是由RRC规定的UCI最大payload。如果没有规定, N 3 = 1706 N_{3}=1706 N3=1706.
- 首先,来看需要的字段。
需要配置Resource set, Resource, 某种Format对应的PUCCH-FormatConfig。
PUCCH-Config ::=
SEQUENCE {
resourceSetToAddModList
SEQUENCE (SIZE (1..maxNrofPUCCH-ResourceSets)) OF PUCCH-ResourceSet
OPTIONAL, -- Need N
resourceSetToReleaseList
SEQUENCE (SIZE (1..maxNrofPUCCH-ResourceSets)) OF PUCCH-ResourceSetId OPTIONAL, -- Need N
resourceToAddModList
SEQUENCE (SIZE (1..maxNrofPUCCH-Resources)) OF PUCCH-Resource
OPTIONAL, -- Need N
resourceToReleaseList
SEQUENCE (SIZE (1..maxNrofPUCCH-Resources)) OF PUCCH-ResourceId
OPTIONAL, -- Need N
format1
SetupRelease { PUCCH-FormatConfig }
OPTIONAL, -- Need M
format2
SetupRelease { PUCCH-FormatConfig }
OPTIONAL, -- Need M
format3
SetupRelease { PUCCH-FormatConfig }
OPTIONAL, -- Need M
format4
SetupRelease { PUCCH-FormatConfig }
OPTIONAL, -- Need M
schedulingRequestResourceToAddModList
SEQUENCE (SIZE (1..maxNrofSR-Resources)) OF SchedulingRequestResourceConfig
OPTIONAL, -- Need N
schedulingRequestResourceToReleaseList
SEQUENCE (SIZE (1..maxNrofSR-Resources)) OF SchedulingRequestResourceId
OPTIONAL, -- Need N
multi-CSI-PUCCH-ResourceList
SEQUENCE (SIZE (1..2)) OF PUCCH-ResourceId
OPTIONAL, -- Need M
dl-DataToUL-ACK
SEQUENCE (SIZE (1..8)) OF INTEGER (0..15)
OPTIONAL, -- Need M
spatialRelationInfoToAddModList
SEQUENCE (SIZE (1..maxNrofSpatialRelationInfos)) OF PUCCH-SpatialRelationInfo
OPTIONAL, -- Need N
spatialRelationInfoToReleaseList
SEQUENCE (SIZE (1..maxNrofSpatialRelationInfos)) OF PUCCH-SpatialRelationInfoId
OPTIONAL, -- Need N
pucch-PowerControl
PUCCH-PowerControl
OPTIONAL, -- Need M
...
}
- PUCCH Resource set
依次配置Resource set id, Resource set中的Resource资源,Resource上可以承载的最大UCI payload。
-- A set with one or more PUCCH resources
PUCCH-ResourceSet ::=
SEQUENCE {
pucch-ResourceSetId
PUCCH-ResourceSetId,
resourceList
SEQUENCE (SIZE (1..maxNrofPUCCH-ResourcesPerSet)) OF PUCCH-ResourceId,
maxPayloadSize
INTEGER (4..256)
OPTIONAL
-- Need R
}
PUCCH-ResourceSetId ::=
INTEGER (0..maxNrofPUCCH-ResourceSets-1)
- PUCCH Resource
根据PUCCH Resource set中的Resource list可以索引到某个具体的PUCCH Resource 配置。
在PUCCH Resource中,需要先配置PUCCH Format 2/3/4开始的PRB位置。如果使能了跳频,还会配置跳频中第二个PRB的位置。之后,再配置某个PUCCH format具体的时域位置,占据的PRB数目,扩频相关参数等。
PUCCH-Resource ::=
SEQUENCE {
pucch-ResourceId
PUCCH-ResourceId,
startingPRB
PRB-Id,
intraSlotFrequencyHopping
ENUMERATED { enabled }
OPTIONAL, -- Need R
secondHopPRB
PRB-Id
OPTIONAL, -- Need R
format
CHOICE {
format0
PUCCH-format0,
format1
PUCCH-format1,
format2
PUCCH-format2,
format3
PUCCH-format3,
format4
PUCCH-format4
}
}
PUCCH-ResourceId ::=
INTEGER (0..maxNrofPUCCH-Resources-1)
如下所示,针对某种Format,需要配置其占据的RB数目,symbols数目,以及开始的symbol位置。对于Format 4,其只占据一个RB,因此不用配置PRB数目,但是由于其使用了Frequency OCC,需要配置OCC的长度以及OCC序列。
PUCCH-format2 ::=
SEQUENCE {
nrofPRBs
INTEGER (1..16),
nrofSymbols
INTEGER (1..2),
startingSymbolIndex
INTEGER(0..13)
}
PUCCH-format3 ::=
SEQUENCE {
nrofPRBs
INTEGER (1..16),
nrofSymbols
INTEGER (4..14),
startingSymbolIndex
INTEGER(0..10)
}
PUCCH-format4 ::=
SEQUENCE {
nrofSymbols
INTEGER (4..14),
occ-Length
ENUMERATED {n2,n4},
occ-Index
ENUMERATED {n0,n1,n2,n3},
startingSymbolIndex
INTEGER(0..10)
}
- PUCCH Format Config
针对某种Format,还需配置一些其他参数。
Repetition 参数:是否使能slot间跳频(interslotFrequencyHopping);Repetition次数(nrofslots)。
DMRS 参数:针对PUCCH Format 3/4,是否需要额外的DMRS(DMRS的数目参见38.211 6.4.1.3.3.2种的Table)
计算可承载UCI的一些参数:信道编码码率(maxCodeRate),调制方式(使能BPSK)
使能CSI/HARQ-ACK的复用汇报:simultaneousHARQ-ACK-CSI
PUCCH-FormatConfig ::=
SEQUENCE {
interslotFrequencyHopping
ENUMERATED {enabled}
OPTIONAL, -- Need R
additionalDMRS
ENUMERATED {true}
OPTIONAL, -- Need R
maxCodeRate
PUCCH-MaxCodeRate
OPTIONAL, -- Need R
nrofSlots
ENUMERATED {n2,n4,n8}
OPTIONAL, -- Need S
pi2BPSK
ENUMERATED {enabled}
OPTIONAL, -- Need R
simultaneousHARQ-ACK-CSI
ENUMERATED {true}
OPTIONAL
-- Need R
}
PUCCH-MaxCodeRate ::=
ENUMERATED {zeroDot08, zeroDot15, zeroDot25, zeroDot35, zeroDot45, zeroDot60, zeroDot80}
Summary
本文主要关注PUCCH Format 2/3/4占用的物理层资源。
- PUCCH Format 2
时域:短PUCCH,占据1-2个symbols;
频域:最多占据16个PRB
DMRS:FDM with data
调制方式:QPSK
是否使能扩频:No
配置资源方式: UE specific RRC - PUCCH Format 3
时域: 长PUCCH, 占据4-14个symbols
频域: 占据1,2,3,4,5,6,8,9,10,12,15, 16个PRB.
DMRS: TDM with data
调制方式: QPSK, π / 2 pi/2 π/2-BPSK
是否使能扩频: No
配置资源方式: UE specific RRC - PUCCH Format 4
时域: 长PUCCH, 占据4-14个symbols
频域:占据一个PRB
DMRS:TDM with data
调制方式: QPSK, π / 2 pi/2 π/2-BPSK
是否使能扩频: Frequency Domain OCC, N S F , m a x = 4 N_{SF,max}=4 NSF,max=4
配置资源方式: UE specific RRC
最后
以上就是贤惠煎饼最近收集整理的关于PUCCH Format 2/3/4占用的物理资源PUCCH Format 2/3/4占用的物理资源的全部内容,更多相关PUCCH内容请搜索靠谱客的其他文章。
发表评论 取消回复