DSP期末总复习
基于教材:《数字信号处理——原理、实现及应用(第3版)》 高西全等 编著
一、基本概念
1.1 信号
1.2 系统
- 线性性
- 时不变性
- 因果性/可实现性
(1)def: 系统n时刻的输入取决于n时刻和n时刻以前的输入信号,和n时刻之后的输入信号无关
(2)充要条件:n<0时h(n)=0
(3)因果系统的单位脉冲响应必然是因果序列 - 稳定性
充要条件:系统的单位脉冲响应绝对可和
1.4 差分方程
- def:从0开始,到某项结束
- 递推法求解
二、傅里叶变换
2.1 连续信号:CTFT和CTFS
记住公式,不做证明。

2.2 时域离散信号:DTFT和DTFS、周期信号的傅里叶变换
2.2.1 DTFS
- 公式、证明如下:

- 频谱是离散线状谱,周期为N.(虽然横坐标不是频率,但是是对频率的采样,所以也是频谱)
【变量在n,k之间切换】这实质上体现了:离散谱是对包络线的采样。
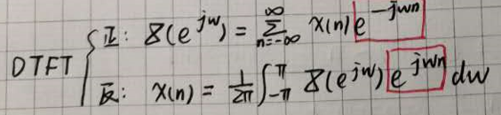
2.2.2 DTFT
- 适用于非周期信号,是通过令周期序列的周期趋于无穷得到的,同时还要求序列绝对可和。
公式:

- 【变量在n,w之间切换】频谱是连续的,是对DTFS离散谱的包络,周期为2pi.
2.2.3 周期信号的傅里叶变换
公式及证明:

2.3 傅里叶变换的性质和常用结论
- 性质
(1)周期性
(2)线性性
(3)移位性:x(n-n0) --> 外面乘一个e^-jwn0
(4)频移性:e^-jw0n --> X里面变成w-w0
(5)频域微分性质
(6)对称性
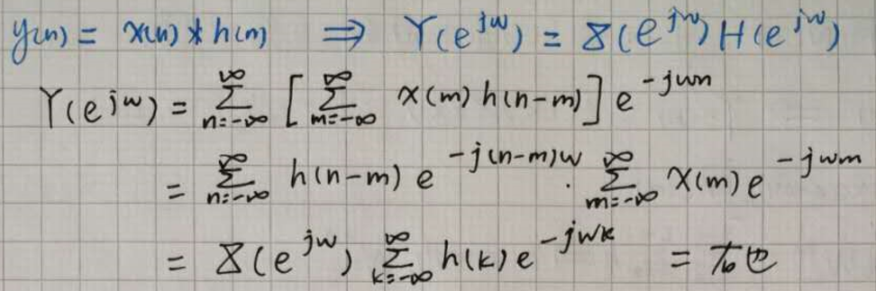
(7)卷积定理 - 基本序列的FT

2.4 离散傅里叶变换(DFT)
DTFT和ZT的变换结果都是连续函数,而DFT既是时域到频域的变换,其变换结果又是对时域离散信号频谱的等间隔采样。
2.4.1 基本概念
设序列长度为M,定义N点DFT为:

要求:N>=M,注意WN的代换
2.4.2 关系
- N点DFT是序列的Z变换在单位圆上的等间隔采样
- N点DFT是序列的DTFT在[0,2pi]上的等间隔采样
- IDFT是DTFS的主值区序列,X(k)是X(k)~的主值序列
2.4.3 性质
- 线性性
- 隐含周期性
- 有限长序列的循环移位:先周期延拓,再左移m个单位,最后取主值序列。
循环移位性质(证明见下) - 复共轭序列的DFT
- 实信号DFT的特点

2.5 卷积
2.5.1 线性卷积
- 定义
运算过程:将x(n)中的n换成m,h(n)中的n换成n-m,相同m的序列值相乘后,再对乘积求和。 - 图解法
- 解析法【注意分类讨论】
- 性质:移位、运算律
2.5.2 循环卷积
三个长度量:L:循环卷积的长度 M:x(n)的长度 N:h(n)的长度
x((n-m))L是以L为周期的信号。
形成循环倒相序列,为了解决掉负数项,由周期性给系数加L,n值由0取到L-1,得到矩阵
2.6 快速傅里叶变换(FFT)
2.6.1 如何减小运算量?
不断将长序列的DFT分解为短序列的DFT,并利用周期性和对称性及一些特殊值来减少DFT运算量。
2.6.2 基2 FFT算法
- 按n的奇偶性分解
- 引入l,进行变量代换
- 利用WN的性质,两个角标同时除以2,得到两个N/2点DFT
- 得到周期性公式
- 蝶形图:(以8点为例)
(1)最后求得的八个数,是两两一组的形式求出来的,即X(k),X(k+N/2)
为了解出这两个未知数,我们需要知道对应的X1(k),X2(k)
(2)X1(k)又和X1(k+N/4)构成另一对,可以看出,两组的间距、运算点数每次除以2
……
(3)直到到达最后一层
WN的角标变化:两组[0 1 2 3] N --> 四组[0 1] N/2【实际写成[0 2] N】 --> 八组[0] N/4【实际写成[0] N】
2.7 模拟信号的频谱分析
- 由模拟信号时域采样得到N点采样序列,经过DFT,再乘以T,就是模拟信号在频域的采样。
f和k可以进行坐标转换,以f为横坐标,以X(k)为函数值,绘制出|X(k)|的包络/X(k)的相位包络,就是模拟信号的幅频/相频特性。 - 参数选择

- 误差分析
连续信号的谱分析主要关心两个指标:分辨率、谱分析范围
(1)频谱混叠:若采样频率不满足采样定理,会在0.5Fs附近引起混叠
(2)截断效应:CTFT是在无穷区间上的,然而实际观察到的模拟信号一般是有限长的,没有观察到的是0.
用矩形窗截断。
1)频谱泄漏:原来离散的谱线向两边展宽。矩形窗长度越长,展宽的宽度越窄。
泄漏会使频谱模糊,谱的分辨率降低。
2)谱间干扰:矩形窗函数的频谱存在许多旁瓣,和主信号频谱卷积后形成很多旁瓣,旁瓣起着谱间干扰的作用。
(3)栅栏效应:N点DFT得到的只是N个采样点上的频谱值,两点间的频谱是不知道的,就像被栅栏遮住一样。 - DFT对周期信号进行谱分析
三、Z变换
3.1 Z变换
- def: 不加说明均指双边Z变换
只有幂级数收敛,Z变换才有意义–>收敛域 - Z变换和傅里叶变换的关系:傅里叶变换是单位圆上的Z变换(前提是Z变换必须存在)
- 四种序列的收敛域
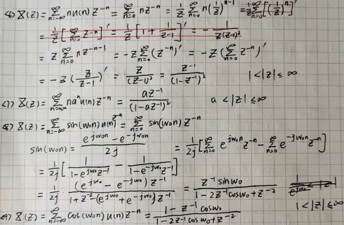
因果序列的收敛域:R<|z|<=INF 零极相消不影响收敛! - 常用结论证明:


3.2 Z变换的性质
- 线性性:注意收敛域取交集!
- 序列移位:x(n-n0) --> 提取出z^(-n0)
- 时间反转:n取负 --> z取倒数
- z域微分:nx(n) --> -z*(X(z))’
- 共轭序列:对x(n)取共轭 --> X(z)同时对z和X取共轭
- 五个定理:
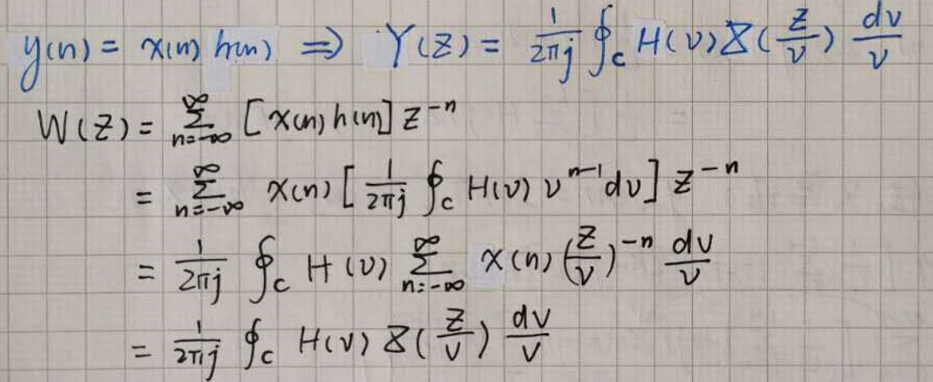
(1)时域卷积定理
3.3 逆Z变换
- 部分分式展开法
最关键的就是最后一步时,根据收敛域判别可能的原序列!
以及,是否足够熟练地作出准确记忆和判断。【助记:z大于啥的时候正常,小于加负号】 - 围线积分法
其中:c是X(z)的收敛域中一条包含原点的逆时针旋转的封闭曲线,zk是F(z)在围线c内的M个极点

进行留数相关运算时,z都写成z-a的形式,不要带着z^-1的形式了。 - 例题
(1)课本2.3.6【要点:F(z)的极点与n的取值有关;因果序列的性质;多阶极点的处理】

(2)课本2.3.10【要点:z变换性质的综合应用】

(3)课后2-24【要点:按收敛域分类讨论】

3.4 Z变换的应用
- 传输函数/频率响应函数、系统函数
- 根据极点分布,分析系统的因果性、稳定性
(1)因果系统的系统函数的极点均在某个圆内,收敛域包含无穷
(2)系统稳定时,系统函数收敛域一定包含单位圆/系统函数的极点不能位于单位圆上。
(3)因果稳定的条件:H(z)的极点集中在单位圆内 - 根据零极点分布,分析系统的频率特性
(1)基本概念
设:M个零点,N个极点
频率w由0增大到2pi的过程中,OB矢量绕坐标原点逆时针转一圈。
极点零点分别指向B --> 极点矢量,零点矢量
幅频特性 = 零点矢量长度之积/极点矢量长度之积
相频特性 = w(N - M) + 零点矢量相角之和 - 极点矢量相角之和
(2)零极点分布对幅频特性的影响:
系统函数的极点主要影响幅频特性的峰值,峰值频率在极点附近。极点越靠近单位圆,峰值越高越尖锐。若极点在单位圆上,幅度无穷大,系统不稳定。
系统函数的零点主要影响幅频特性的谷值,谷值频率在零点附近。零点越靠近单位圆,谷值越接近零。若零点在单位圆上,谷值为零。
处于坐标原点的零极点不影响幅频特性。
(3)例题:课本2.4.6

(4)例题:课本2.4.8

四、模拟信号数字处理
这一章要干什么?
用数字信号处理方法处理模拟信号。处理思路如下:
预滤波 --> ADC --> 数字信号处理 --> DAC --> 平滑滤波
4.1 预滤波
采样前对模拟信号进行预滤波,预滤波器就是一个模拟低通滤波器,阻带截止频率0.5 omega s
也称抗混叠滤波器。
4.2 采样
4.2.1 理想采样信号
- 时域【横坐标都是t】:模拟信号 + 单位冲激串调制 —> 理想采样信号
- 频域【横坐标都是模拟角频率】【CTFT得到】:理想采样信号的频谱是模拟信号频谱以采样频率为周期进行周期延拓。
- 原理推导:

4.2.2 时域离散信号
- 区别:模拟信号和理想采样信号在整个t轴上有定义,而时域离散信号仅在整数点有定义。
- 时域【横坐标是n】:模拟信号 + 等间隔T采样 —> 时域离散信号
- 频域【横坐标是数字频率】【DTFT得到】:时域离散信号的频谱是模拟信号频谱变换一下横坐标(除以T)。
- 采样频率必须大于等于模拟信号最高频率的两倍以上,才能不丢失信息。
- 原理推导:

4.4 理想恢复
- def: 如何用理想采样信号恢复模拟信号?
- 原理推导:将理想采样信号通过理想低通滤波器G

g(t)的作用:在采样点之间连续插值
4.5 线性模拟系统的数字模拟
- 用数字系统模拟线性模拟系统的外部特性
- 传输函数的关系推导:

五、滤波器
5.1 一些散落的实例
5.1.1 滑动平均滤波器
5.1.2 全通滤波器
5.1.3 最小相位滤波器
5.2 模拟滤波器设计
各种滤波器都是基于低通滤波器设计。
5.2.1 设计指标
- 模拟滤波器的设计流程:
(1)根据信号处理要求确定设计指标
(2)选择滤波器类型
(3)计算滤波器设计
(4)确定滤波器系统函数
(5)综合实现 - 因为几种典型的AF的相位特性已知,所以一般只给出对幅频特性的要求,而不考虑相位特性(若有要求则需另外考虑)。
系统函数:Ha(s) 频率响应函数/传输函数:Ha(j/omega)
通带边界频率:/omega p 阻带边界频率:/omega s
通带最大衰减:/alpha p 阻带最小衰减:/alpha s 【注意是dB】
损耗/衰减函数 3dB截止频率

5.2.2 巴特沃斯滤波器

5.2.3 切比雪夫滤波器
I型滤波器:幅频特性在通带等波纹,阻带单调下降
II型滤波器:幅频特性在阻带等波纹,通带单调下降

5.2.4 椭圆滤波器
幅频特性在通带和阻带都等波纹。通带和阻带波纹固定时,阶数越高,过渡带越窄;阶数固定时,通带和阻带波纹越小,过渡带越宽。
阶数相同时,椭圆滤波器可以获得对理想滤波器幅频响应的最好逼近。
5.3 数字滤波器设计
5.3.1 基本概念
- 数字滤波:通过对输入信号进行数值运算,让输入信号中有用的频率成分以较高的保真度通过,滤除某些无用的频率成分,实现对输入信号的选频处理。本章主要介绍选频性滤波器。
- 数字滤波器的优点:精度高,稳定性好,体积小,实现方法灵活,不存在阻抗匹配问题
- 分类:无限长单位脉冲响应数字滤波器IIRDF,有限长单位脉冲响应数字滤波器FIRDF
系统函数分别为:

- 设计方法:间接设计法【先根据数字滤波器指标设计相应的过渡模拟滤波器,再转换成DF】、直接设计法
- 理想滤波器的特点
(1)通带内幅度为常数
(2)阻带中幅度为0
(3)单位脉冲响应是非因果无限长序列
(4)物理不可实现 - 群时延:相频特性的负导数 群时延为常数表示输入信号中的所有频率分量的时间延迟相同。
- 信号通过理想滤波器波形不失真的充要条件:通带内幅度特性是常数,并且具有线性相位
- 理想滤波器的近似实现
(1)h(n)向右移动,忽略n<0的较小的部分
(2)h(n)对中心最大值对称则具有线性相位特性 - 设计实质:根据设计指标确定一个因果稳定的系统函数H(z)
5.3.2 IIRDF
一、基本概念
- 间接法设计流程:
(1)给定数字滤波器指标
(2)将数字滤波器指标转换成相应的过渡模拟滤波器指标
(3)选择合适类型的模拟滤波器
(4)设计满足要求的过渡模拟滤波器Ha(s)
(5)将Ha(s)转换成数字滤波器H(z) - 转换:幅频特性函数、三个带、频率

转换实质:用一种从s平面到z平面的映射函数将Ha(s)转换成H(z)
映射函数的要求:
(1)因果稳定的模拟滤波器转换后仍因果稳定
(2)H(z)的频率响应特性能近似模仿Ha(s)的片断常数频率响应特性
二、脉冲响应不变法(这两种方法都是转换方法)
- 基本思想:【波形逼近】(设模拟滤波器的单位冲激响应为ha(t))对ha(t)等间隔采样,得到数字滤波器的单位脉冲响应h(n)
- 原理推导、性能分析

模拟系统因果稳定,Ha(s)的所有极点位于s平面的左半平面,这些极点全部映射到z平面单位圆内,因此数字滤波器也因果稳定。
数字滤波器频率响应是模拟滤波器频率响应的周期延拓。 - 优点:(若模拟滤波器具有带限特性【实际一般都不满足】,T满足采样定理)数字滤波器频率响应完全模仿了模拟滤波器频率响应。
缺点:总是存在频谱混叠失真,混叠严重时不满足阻带衰减指标,不适合设计高通和带阻滤波器。
如何减小频谱混叠失真?
(1)选用具有锐截止特性【锐截止特性:滤波器从通带能够很快的过渡到阻带的滤波器特性,即过渡带很窄】的模拟滤波器【代价:阶数升高】
(2)提高采样频率【代价:对处理速度要求更高】 - 例题6.2.1【一般取T = 1s】
三、双线性变换法
- 基本思想:【算法逼近】一般数字滤波器用差分方程描述,模拟滤波器用微分方程描述。因此只要能用差分近似微分,就可以将差分方程转换成微分方程。
- 原理推导、性能分析

s平面的整个正虚轴映射成有限宽度的数字频段[0,pi],引起了数字频率和模拟频率之间的严重非线性畸变。 - 优点:从原理上彻底消除了频谱混叠
缺点:仅能保持原模拟滤波器的片断常数幅频响应特性,不能保持相频响应特性。 - 设计步骤
(1)确定数字滤波器四个指标。
(2)非线性预畸变校正,转换成相应的模拟滤波器指标。
(3)设计满足指标要求的过渡模拟滤波器。
(4)由映射关系,转换成数字滤波器 - 采样间隔T的选择
脉冲响应不变法:T = 1s 双线性变换法:T = 2s - 例题6.2.3(略)
5.3.3 FIRDF
最大优点:可以实现线性相位滤波
其他优点:全零点滤波器,硬件和软件实现结构简单,不用考虑稳定性问题。
当幅频特性相同时,FIRDF阶数比IIRDF高得多。
一、线性相位FIRDF
1. 线性相位
重新表示频率响应函数:幅度特性函数相位特性函数 【区别:幅频响应函数,相频响应函数】
(1)第一类线性相位FIRDF的相位特性函数:/theta(w) = -w /tao
(2)第二类线性相位FIRDF的相位特性函数:/theta(w) = /theta0 - w /tao
第二类线性相位FIRDF只讨论theta0 = -pi/2的情况。
线性相位滤波器又称恒定群延时滤波器。
2. 时域约束(对h(n)的约束)
第一类:h(n)关于(N-1)/2偶对称
第二类:h(n)关于(N-1)/2奇对称
3. 频域约束
(1)h(n) = h(N - 1 - n) N为奇数,Hg(w)关于0 pi 2pi三点偶对称:可以实现低通、高通、带通、带阻
(2)h(n) = h(N - 1 - n) N为偶数,Hg(w)关于0 2pi两点偶对称,关于pi奇对称 :可以实现低通、带通
(3)h(n) = - h(N - 1 - n) N为奇数,Hg(w)关于0 pi 2pi三点奇对称:可以实现带通
(4)h(n) = - h(N - 1 - n) N为偶数,Hg(w)关于0 2pi两点奇对称,关于pi偶对称:可以实现高通、带通
4. 零点分布
若zk是零点,则zk^-1,zk, zk* ^-1都是零点,四个一组
二、窗函数法设计
**1. 基本思想:**用FIRDF逼近希望的滤波特性
窗函数设计法:截取hd(n)有限长的一段因果序列,并用合适的窗函数进行加权作为FIRDF的单位脉冲响应h(n)
2. 基本方法
(1)确定技术指标
(2)构造希望逼近的频率响应函数
(3)求hd(n)
(4)加窗得到FIRDF的单位脉冲响应h(n)

3. 设计性能分析
(1)理论推导
逼近误差实际就是加窗的影响,窗函数的类型、长度都会影响逼近误差。

(2)两点误差(加窗效应)
1)理想低通滤波器过渡带宽度为0,但是:Hg(w)以wc为中心形成过渡带,过渡带宽度 = 主带宽度
2)理想低通滤波器通带阻带幅度为1,0,但是:Hg(w)在通带阻带均有波纹。旁瓣越大,波纹幅度越大。
(3)一般的设计指标会给出:过渡带宽度、通带最大衰减、阻带最小衰减
要想使过渡带变窄:增大窗函数长度N
要想满足衰减:改进窗函数形状
4. 典型窗函数
(1)矩形窗
三个参数:旁瓣峰值、过渡带宽度、阻带最小衰减
(2)汉明窗
(3)凯塞窗
1)一种可调整的窗函数,最有用且近似最优。通过调整控制参数可以达到不同的阻带最小衰减,提供最小的主瓣宽度,也就是最窄的过渡带。
2)参数公式
5. 基于窗函数的设计流程
(1)给定技术指标四个
(2)选择窗函数
(3)确定窗口参数N,beta
(4)计算截止频率wc
(5)确定理想滤波器:离散傅里叶反变换 --> hd[n]
(6)对称加窗截断,得到滤波器
5.3.4 IIR数字滤波器与FIR数字滤器的典型区别
- 性能上:
●IIR经济高效,可用较低的阶数获得较好的选择性。【IIR滤波器系统函数的极点可以位于单位圆内的任何地方】但是选择性越好,相位非线性越严重。
●FIR滤波器可以得到严格的线性相位特性,但成本较高,只能用较高的阶数达到高的选择性。【FIR滤波器系统函数的极点固定在原点】 - 结构上:
●IIR必须采用递归结构:极点位置必须在单位圆内,否则系统不稳定。
●FIR主要采用递归结构:不存在稳定问题。可以采用FFT实现,在相同阶数条件下,运算速度可以大大提高。 - 设计工具上:
●IIR滤波器可以借助模拟滤波器的成果,一般都提供有效的封闭形式的设计公式,计算工作量比较小,对计算工具要求不高。
●FIR滤波器一般没有有效的封闭形式的设计公式,对计算工具要求较高。 - 应用上:
●IIR滤波器主要用于设计具有片断常数特性的滤波器【低通、高通、带通、带阻】。
●FIR滤波器能适应某些特殊的应用。
六、时域离散系统的实现
6.1 基本概念
- 基本实现方法:软件实现、硬件实现
- 本章重点研究差分方程/系统函数的实现方法
- 一些指标
6.2 FIR网络结构
FIR的单位脉冲响应有限长,差分方程和系统函数如下:

- 直接型结构:长度为N的FIRDF直接型结构需要N-1个单位延时器,N个乘法器,N-1个加法器
- 级联型结构
(1)先因式分解,整理成一阶二阶网络的级联形式
(2)其中每个网络都用直接型结构实现 - 线性相位结构
公式:

若N为偶数,乘法器减少到0.5N个;若为奇数,乘法器减少到0.5(N+1)个
6.3 IIR网络结构
特点:信号流图中含有反馈支路,其单位脉冲响应无限长。
-
直接型结构
-
级联型结构
-
并联型结构
-
转置型结构
附录:利用复数、级数知识证明定理
1.DTFT的时域卷积定理

2.DTFT的频域卷积定理

3.DTFT的巴塞伐尔定理

4.ZT的时域卷积定理

5.ZT的频域卷积定理

6.ZT的巴塞伐尔定理

7.DFT的时域循环卷积定理

8.DFT的频域循环卷积定理

9.离散巴塞伐尔定理

最后
以上就是小巧花卷最近收集整理的关于数字信号处理期末总复习DSP期末总复习的全部内容,更多相关数字信号处理期末总复习DSP期末总复习内容请搜索靠谱客的其他文章。
发表评论 取消回复