目录
前言
1. 对于一般通式的极点配置
2.选取滑模面s = c*x
3.极点配置实例讲解
3.1 判断(A,B)是否可控
3.2 求变换矩阵
3.3 求解滑模面系数
3.4 个人见解
前言
其实在跟踪变结构控制那篇文章已经介绍了这个方法,只是可能公式太多有点乱,在这里整理一下,跟踪变结构控制文章链接:
基于参考模型的主动悬架滑模控制(详细滑模控制推导)_Mr. 邹的博客-CSDN博客
1. 对于一般通式的极点配置
一般通式:
其中维度关系为:A为n*n,B为n*m,即n个状态变量,m个输入。
其中A和B可以改写为:
![]()
![]()
其中B1为(n-m)*m,B2为m*m。
注:B2不能为0,否则in(B2) = inf;对于多输入需要用pinv函数求伪逆。
remark 1:如果(A,B)为可控对,则(A11,A12)也是可控的。
remark2:只要rank(B)=m,则存在如下形式的变换矩阵:
![]()
将上述一般形式状态空间方程化简为标准形式,即:
其中:

![]()
2.选取滑模面s = c*x
则由于变化矩阵的存在,所以:
即,其中c为m*n。
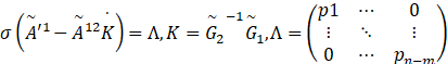
当系统到达切换面上时或者说滑动模态的条件有:s = 0,s' = 0,得到
![]()
注:这里滑模面形式为s = cx,实际上可以表示为s = ce,这里假设位置指令xd = 0即可。
所以误差动态方程为:
![]()
所以可以通过极点配置反馈保证x1以适当的指数衰减率趋向于零,则 x2也以同样的指数衰减率趋向于零。
即存在极点集:

所以最终得到滑模面系数为:
![]()
由于为m*m的非奇异矩阵,所以通常选取为
,进而简化为:
![]()
3.极点配置实例讲解
这里以一篇论文为参考进行实例配置:
[1]周兆敏.用极点配置方法设计滑模控制器[J].信息与控制,1988(04):47-49.

3.1 判断(A,B)是否可控
A = [0 198 0;-0.64 -18.18 4.85;0 0 150];
B = [0;0;900];
Qc = ctrb(A,B);%可控性判断矩阵
np = rank(Qc);%用若rank(Qc) = n,即满秩则可控
if np == length(A)
disp('可控')
end
3.2 求变换矩阵
由于是(A,B)是可控的,所以(A11,A12)也是可控的,所以可以使用极点配置
n = 3;m = 1;%矩阵维度
T = [eye(n-m) -B(1:(n-m))*inv(B(n));zeros(1,(n-m)) eye(m)];
T =
1 0 0
0 1 0
0 0 1
3.3 求解滑模面系数
A1=T*A*inv(T);%变换后的标准型矩阵
A11=A1(1:np-1,1:np-1);
A12=A1(1:np-1,np);
p=[-29.11 -640.2];%需要配置的极点
% 计算极点配置的反馈矩阵
K=acker(A11,A12,p)
% 滑模面系数
C=[K,eye(1)]*T
C =
19.2747 134.2536 1.0000
程序汇总:
% 状态方程
A = [0 198 0;-0.64 -18.18 4.85;0 0 150];
B = [0;0;900];
Qc = ctrb(A,B);%可控性判断矩阵
np = rank(Qc);%用若rank(Qc) = n,即满秩则可控
if np == length(A)
disp('可控')
end
n = 3;m = 1;%矩阵维度
T = [eye(n-m) -B(1:(n-m))*inv(B(n));zeros(1,(n-m)) eye(m)];
A1=T*A*inv(T);%变换后的标准型矩阵
A11=A1(1:np-1,1:np-1);
A12=A1(1:np-1,np);
p=[-29.11 -640.2];%需要配置的极点
% 计算极点配置的反馈矩阵
K=acker(A11,A12,p)
% 滑模面系数
C=[K,eye(1)]*T
3.4 个人见解
可以看到上述的求解结果和文献不一致,文献中所用的方法是展开后进行比对,这里按照它的方法走一遍:
syms c1 c2 s
A11 = [0 198;-0.64 -18.18];
A12 = [0 4.85]';
f = A11-A12*[c1 c2];
det(s*eye(2)-f)
ans =
(9603*c1)/10 + (909*s)/50 + (97*c2*s)/20 + s^2 + 3168/25
代入极点到多项式:
![]()
比对上述结果求解出
c1 =
18.4626
c2 =
130.5691
程序汇总:
syms c1 c2 s
A11 = [0 198;-0.64 -18.18];
A12 = [0 4.85]';
f = A11-A12*[c1 c2];
det(s*eye(2)-f)
% ans =
%
% (9603*c1)/10 + (909*s)/50 + (97*c2*s)/20 + s^2 + 3168/25
c1 = (17856.36-3168/25)/(9603/10)
c2 = 633.26/(97/20)
可以看到通过acker函数求解结果与比对法求解结果很接近,所以个人觉得文献有些问题,欢迎批评指正!
参考文献:
[1]杨金霞. 车辆半主动悬架模型跟踪变结构控制的研究[D]. 江苏:南京林业大学,2006. DOI:10.7666/d.y913537.
[2]王亮. 汽车主动悬架模型跟踪变结构控制研究[D]. 山东:山东理工大学,2009. DOI:10.7666/d.y1507198.
[3]直驱式永磁同步风力发电机中混沌运动的滑模变结构控制[J]. 物理学报,2009,58(11):7552-7557.
[4]《变结构控制系统-姚琼荟》
[5]周兆敏.用极点配置方法设计滑模控制器[J].信息与控制,1988(04):47-49.
最后
以上就是单薄书包最近收集整理的关于极点配置法确定滑模面系数前言1. 对于一般通式的极点配置2.选取滑模面s = c*x3.极点配置实例讲解的全部内容,更多相关极点配置法确定滑模面系数前言1.内容请搜索靠谱客的其他文章。
发表评论 取消回复