目录
概述
开关功耗(Switch Power)
内部功耗(Internal Power)
漏电功耗(Leakage Power)
工艺库相关
开关功率相关信息
内部功耗相关信息
漏电功耗相关信息
例子
概述
该部分对IC功耗的类型进行介绍
先总体来看,从动静态来分,可以分为动态功耗与静态功耗,其中动态功耗又分为翻转功耗与短路功耗,其中时钟频率,电源电压对翻转功耗有着较大的影响,静态功耗指得是漏电流功耗。动态功耗是在电路条件下的功耗,静态功耗是即使电路状态不改变也会产生的功耗~翻转功耗是实现电路功能必须的,称为有效功耗,短路功耗与漏电功耗不是实现电路功能所必须的,称为无效功耗。90nm以下工艺需要考虑静态功耗。

本节对各个功耗类型进行简单的介绍,进一步的,在功耗库的基础上进行简单的功耗计算~总功耗=开关功耗+内部功耗+漏电功耗。
开关功耗(Switch Power)
对输出电容负载充电。我们更详细的来看,首先是看这两个图,这里对其进行详细的解释~首先我们假设其具有0的上升下降时间,或者说,P管与N管不会同时导通来进行分析。

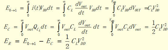
其中CL表示MOS的各个电容的集总,处于Vout以及GND之间。当Vin从1-0的时候,P管开始导通,从电源吸取的一定数量的能量。该部分消耗的能量一部分消耗在PMOS上,另一部分能量存储在等效电容上。从高到低的翻转,这一电容被放电,存储的能量消耗在NMOS中。我们首先看从输入从1-0的翻转,下面的公式描述了总能量E0→1,等效电阻消耗的能量ER为总能量减去电容消耗能量EC。当Vin从0-1进行变化的时候,电源不在提供能源,能源从电容开始泄放,全部消耗在下拉的NMOS的等效电阻上,其消耗的能量等于电容存储的能量~这一阶段的能量消耗与PMOS,NMOS的尺寸无关,等效电阻也是无关的。

平均翻转功率为Pdyn=Pswitching=CLV2DDfα,其中α如下所示。注意其中降低VDD对于动态功耗的影响呈二次方的形式。

内部功耗(Internal Power)
也就是短路功率。前面我们分析的时候,假设N管与P管不会同时导通,但是实际情况并不是这样。输入信号不为无穷大的斜率导致开关过程中,VDD与GND之间短时间出现一条电流通路,此时两个管子同时导通(当输入信号满足条件 VDD-|VTP|>Vin>VTn时,nMOS管和pMOS管同时导通)。如下如所示:

假设峰值电流 ????????????=????????????????????????????????????????????2+????????????????????????????????????????????2=????????????????????????????????????????????
![]()
其中????????????????????其中为峰值电流,Tsc表示来这两个器件同时导通的时间。其中负载电流与短路电流的关系如下所示:
![]()

但是若是只顾局部的优化(大大降低输出的上升/下降时间),就会使得短路功耗减小到最小,引起的问题是会大大降低电路的速度,并在扇出门因此后一级的短路电流过大。
漏电功耗(Leakage Power)
也就是静态功耗。可以用如下公式来表示:Pstat=IstatVDD,其中Istat表示没有开关活动存在时在网络电源两条轨线之间流动的电流。理想情况在电路稳态的时候,是不会有同时导通的情况的,但是存在泄露电流流过晶体管源(漏)与衬底之间的反相偏置的二极管。CMOS反相器中泄露电流的来源如下图所示

综合分析,对于反相器的总功耗,分为动态功耗,短路功耗与漏电功耗。以上就是基本的功耗类型分类了。
工艺库相关
该部分对工艺库中相关的功耗有关信息进行概述学习。
开关功率相关信息

开关功率计算的公式如下所示Pdyn=Pswitching=CLV2DDfα
内部功耗相关信息

漏电功耗相关信息
漏电功耗与单元的状态有关,看到,when后面就是电路输入的状态。

例子
开关功率计算的公式如下所示Pdyn=Pswitching=CLV2DDfα
选α为0.5。则对于下面的例子,开关功耗为29.403uw


对于内部功耗
查表,根据上升下降沿来查看内部功耗


于是得到总的动态功耗为(不考虑漏电功耗)

参考数字集成电路设计第五章 CMOS 反相器设计
最后
以上就是谨慎板凳最近收集整理的关于CMOS IC功耗类型及其影响因素概述开关功耗(Switch Power)内部功耗(Internal Power)漏电功耗(Leakage Power)工艺库相关的全部内容,更多相关CMOS内容请搜索靠谱客的其他文章。
发表评论 取消回复