广告关闭
腾讯云11.11云上盛惠 ,精选热门产品助力上云,云服务器首年88元起,买的越多返的越多,最高返5000元!

对于刚开始接触python的小伙伴来说,没有思路方法,不知道从何开始学习,把软件环境安装好后就不知所措了! 接下来我给大家分享下多位大牛倾力打造的python系统学习流程,一个月才设计完的!? python基础部分:老话说的好,“万丈高楼平地起!”不管你做什么都一样,何况编程; 或许初学的时候很是枯燥乏味,但是都是你...

installed_apps = 为了还能像如下方式简便的注册引用,我们需要向python解释器的导包路径中添加apps应用目录的路径。 installed_apps = 我们将配置文件改为放在settings子目录下,所以配置文件中的base_dir指向的变为了工程目录web_projectweb_projectweb_project.使用sys.path添加...

#例:for i in range(1,10): #输出1~10的数不包含10 if i % 2 == 0:#判断是否是偶数 print(i,end=) #在同一行打印偶数 else: #不是偶数 pass #占位符,不做任何事情,直接跳过 #输出结果为:2 4 6 8总结到此这篇关于python流程控制语句的文章就介绍到这了,更多相关python流程控制语句内容请搜索zalou.cn以前的文章或...

问题描述项目中需要用到流程图,如果用js的echarts处理,不同层级建动态计算位置比较复杂,考虑用python来实现 测试demo实现效果如下? 完整代码import yamlimport osimport ibm_dbfrom graphviz import digraphfromdatetime import datetime# db连接def db2_query(sql):conn = ibm_db.connect(database=%s;hostname=%...
eg.第2位就是2的(2-1次)方,就是2; 第8位就是2的(8-1)次方是128。 把所有的值加起来。 (for example:二进制1101,换算成十进制就是:12(1-1)+02(2-1)+12(3-1)+12(4-1)=1+0+4+8=13) ? 整理了一下思路 整理出的流程图如下: ? 于是 用python写出来了:x = int(input(请输入二进制数:)) 输入的二进制数字w ...
对于刚开始接触python的小伙伴来说,没有思路方法,不知道从何开始学习,把软件环境安装好后就不知所措了! 接下来我给大家分享下多位大牛倾力打造的python系统学习流程,一个月才设计完的! python础部分:老话说的好,“万丈高楼平地起!”不管你做什么都一样,何况编程; 或许初学的时候很是枯燥乏味,但是都是你...
前言本系列课程是针对无基础的,争取用简单明了的语言来讲解,学习前需要具备基本的电脑操作能力,准备一个已安装python环境的电脑。 如果觉得好可以分享转发,有问题的地方也欢迎指出,在此先行谢过。 这里的python语法主要是分支语句(单分支,双分支,多分支)和循环语句。 备注:红色代表程序执行的过程...

python黑帽编程2.4流程控制本节要介绍的是python编程中和流程控制有关的关键字和相关内容。 2.4. 1 if ..... else 先上一段代码:#! usrbinpython# -*- coding: utf-8 -*-x=int(input(请输入一个整数:))if x==0:print %d ==0 % xelif x6:words.insert(0,word)print words上面的代码通过切片操作得到了words的一个拷贝...
一些学习python的小白在学习初期,总希望能够得到一份python学习路线图,小雨老师经过多方汇总为大家汇总了一份python学习路线图。 对于一个零基础的想学习python的朋友来说,学习方法很重要,学习方法不对努力白费一定要有一个正确的学习线路与方法学习python编程技术的流程与步骤,自学与参加培训学习都适用...

最重要的是,老夫经常说的信不信我分分钟批量做你大堆的表情包,终于成为现实了... 对此,我想说,完了我爱上了python! 因为python也太好玩了,方向太多...是不可以容忍码农用其惯有的形式固定、流程固定、毫无美感、毫无艺术的变幻和惊喜的直线思维解构。 然而,在生产表情包的过程中,如果只是机械地把图片导...

oauth2流程图oauth2 对于我来说是一个神秘的东西,我想初步的弄懂中间的整个流程,于是就去google搜索相关的文档资料。 在浏览了参差不齐的各种文章后,简述 oauth 2.0 的运作流程 基本对于小白来说是最浅显明了的。 这篇文章以用户使用 github 登录网站留言为例,详述 oauth 2.0 的运作流程。 整个oauth2 的流程分为...

交互式的命令行工具,方便测试 selector 和 debugging爬虫支持将数据导出为 json,csv,xml格式。 可推展性强,运行自己编写特定功能的插件内置了很多拓展和中间件用于处理:cookies和 sessionhttp的压缩,认证,缓存robots.txt爬虫深度限制scrapy内部数据流程图? scrapy内部数据流程图其中:scrapy engine(引擎)...
我参考了段小草的这个答案如何入门python爬虫,然后有了下面的这个函数。 这里先来大概的分析一下整个流程。 我们要知道,知乎上的每一个问题都有一个唯一...下图是我的主页的部分截图,从上面可以看到这19个数据,下面第二张图是终端上显示的我的这19个数据,我们可以作个对照,看看是否全部抓取到了...
pipenv - 官方推荐的的python包管理工具。 pipenv是一款旨在将所有包管理工具(如bundler, composer, npm, cargo,yarn等)的优点集中应用于python领域中的工具。 它对各个平台都有很好的支持。 它可以为你的项目自动创建和管理虚拟环境,并且在你安装删除包时自动在pipfile中添加移除相应的包。 它同时生成一个非常...
图2 运行结果结语通过这样一个简单的线性回归问题,可以初步感受到借助python语言来解决一个数据分析处理的问题的便携性和功能性是十分强大的...3 算法流程及代码(1)构建一个线性模型,遍历points数组,对数组数据进行一个迭代求和算平均值。 代码如下: import numpy as np def computer_error_for...
python有两种循环,while循环和for循环。 python循环的流程图如下:? 本文目录1 while循环2 无限循环3 break与continue4 for循环5 range()6嵌套循环while循环python中while循环的一般形式是:while 布尔表达式:执行语句块下面是一个while循环的例子:i = 1sum = 0while i > for i in range (5):. print (i)...

今天的推文教程使用geopandas进行空间图表的绘制(geopandas空间绘图很方便,省去了很多的数据处理过程,而且也完美衔接matplotlib,学习python 空间绘图的小伙伴可以看下啊),具体为空间气泡图的绘制,主要涉及的内容如下:geopandas geojson数据格式读取并可视化展示单独添加散点大小图例图层adjusttext库解决文本...

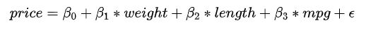
抽象出来,实证过程大致为:导入数据、概览数据、描述性统计、相关系数、绘制散点图回归和模型评估与解释。 接下来,将在 python 中按照此流程重现。 python 中进行回归定义路径和导入数据import osfrom os.path import joinimportnumpy as npimport pandas as pd os.getcwd()data_path = join(os.getcwd()...

使用python编写客户端不是一件很复杂的事情。 比如说,基本上不管是mac版本,还是windows版本、linux版本,一般python都默认安装了tkinter这个gui库...特别是一些工具类的app。 只有那些特定的客户端才会用到canvas,比如说制图软件、3d软件、视频播放软件、流程图软件、ps软件等等。 wx安装在linux上面安装...
流程图如下:扩容python 会根据散列表的拥挤程度扩容。 “扩容”指的是:创造更大的数组,将原有内容拷贝到新数组中。 接近 23 时,数组就会扩容。 根据键查找“键值对”的底层过程我们明白了,一个键值对是如何存储到数组中的,根据键对象取到值对象,理解起来就简单了。 a.get(name)gaoqi当我们调用 a.get(“name”)...
最后
以上就是儒雅黑夜最近收集整理的关于python for循环流程图_python流程图的全部内容,更多相关python内容请搜索靠谱客的其他文章。
发表评论 取消回复