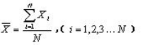
1、 均值
数学定义:

Matlab函数:mean
如果X是一个矩阵,则其均值是一个向量组。mean(X,1)为列向量的均值,mean(X,2)为行向量的均值。若要求整个矩阵的均值,则为mean(mean(X))或者mean2(X)。
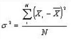
2、 方差
数学定义:

均方差:
按求取方差公式的不同,方差分为两种:biased(有效估计的方差)和unbiased(无偏估计的方差)。当分析数据为样本数据(Sample Data)为无偏估计的方差,求方差除以n-1 ,分析数据为总体数据(The Population )有效估计的方差,求方差除以n。无偏估计的方差可以修正样本的差异,更精确描述样本空间。因此matlab默认采用的是无偏估计的方差。
Matlab 函数:var
如果X是一个一维向量,var(data,1) 求总体方差,var(data,0) 求样本方差
如果X是一个矩阵,var没有求矩阵的方差功能,可使用std先求均方差,再平方得到方差。
3、 标准差
定义:
标准差是对均方差开根号。同理,标准差也分为两种,一种是总体数据(除n),一种为样本数据(除n-1)。
Matlab 函数:var
假设X是矩阵,那么
std1=std(X(:),1);%有效估计的方差(/n)
std2=std(X(:),0);%无偏估计的方差(/n-1)
std3=std2(X);%无偏估计的方差(/n-1)
最后
以上就是超帅皮卡丘最近收集整理的关于利用MATLAB求均值、方差和标准差的全部内容,更多相关利用MATLAB求均值、方差和标准差内容请搜索靠谱客的其他文章。
本图文内容来源于网友提供,作为学习参考使用,或来自网络收集整理,版权属于原作者所有。
发表评论 取消回复