二进制、八进制、十进制、十六进制进制转换(代码实现)
- 十进制
- 十进制转二进制
- 十进制转八进制
- 十进制转十六进制
- 二进制
- 二进制转十进制
- 二进制转八进制
- 二进制转十六进制
十进制
十进制是我们最常用的进制位,用0~9表示,逢十进一
十进制转二进制
十进制数转换为二进制数时,由于整数和小数的转换方法不同,所以先将十进制数的整数部分和小数部分分别转换后,再加以合并。
十进制整数转换为二进制整数采用"除2取余,逆序排列"法
具体就是用十进制整数除以2,取余。然后得到的上再除以2,取余。直到不能整除时把取得的余数倒序排列
如图以十进制整数168为例:

十进制小数转换成二进制小数采用"乘2取整,顺序排列"法
具体方法就是对十进制小数点以后的数乘2,取乘积的整数部分,然后再用小数点以后的数乘2,取乘积的整数部分,直到小数部分为0,然后把取出的整数部分按顺序排列起来
如图以十进制0.25为例

整体代码实现以PHP为例

十进制转八进制
十进制转八进制和十进制转二进制一样也是分为整数部分和小数部分(十进制转八进制和转二进制的方法很像)
十进制整数转换为八进制整数采用"除8取余,逆序排列"法
具体就是用十进制整数除以8,取余。然后得到的上再除以8,取余。直到不能整除时把取得的余数倒序排列
如图以十进制整数796为例:

十进制小数转换成八进制小数采用"乘8取整,顺序排列"法
具体方法就是对十进制小数点以后的数乘8,取乘积的整数部分,然后再用小数点以后的数乘8,取乘积的整数部分,直到小数部分为0,然后把取出的整数部分按顺序排列起来
如图以十进制0.703125为例

整体代码实现以PHP为例

十进制转十六进制
十进制转十六进制和十进制转二进制一样也是分为整数部分和小数部分(十进制转十六进制和转二进制的方法很像)
不过我们需要注意的是十六进制中有字母的出现,他们对应的十进制分别为
A=10,B=11,C=12,D=13,E=14,F=15
十进制整数转换为十六进制整数采用"除16取余,逆序排列"法
具体就是用十进制整数除以16,取余。然后得到的上再除以16,取余。直到不能整除时把取得的余数倒序排列
如图以十进制整数124为例:

十进制小数转换成十六进制小数采用"乘16取整,顺序排列"法
具体方法就是对十进制小数点以后的数乘16,取乘积的整数部分,然后再用小数点以后的数乘16,取乘积的整数部分,直到小数部分为0,然后把取出的整数部分按顺序排列起来
如图以十进制0.25为例

整体代码实现以PHP为例

二进制
二进制是计算技术中广泛采用的一种数制。二进制数据是用0和1两个数码来表示的数。它的基数为2,进位规则是“逢二进一”,借位规则是“借一当二”。
二进制转十进制
整数要从右到左用二进制的每个数去乘以2的相应次方并递增(从0次方开始),结果相加
如图以二进制数1101为例

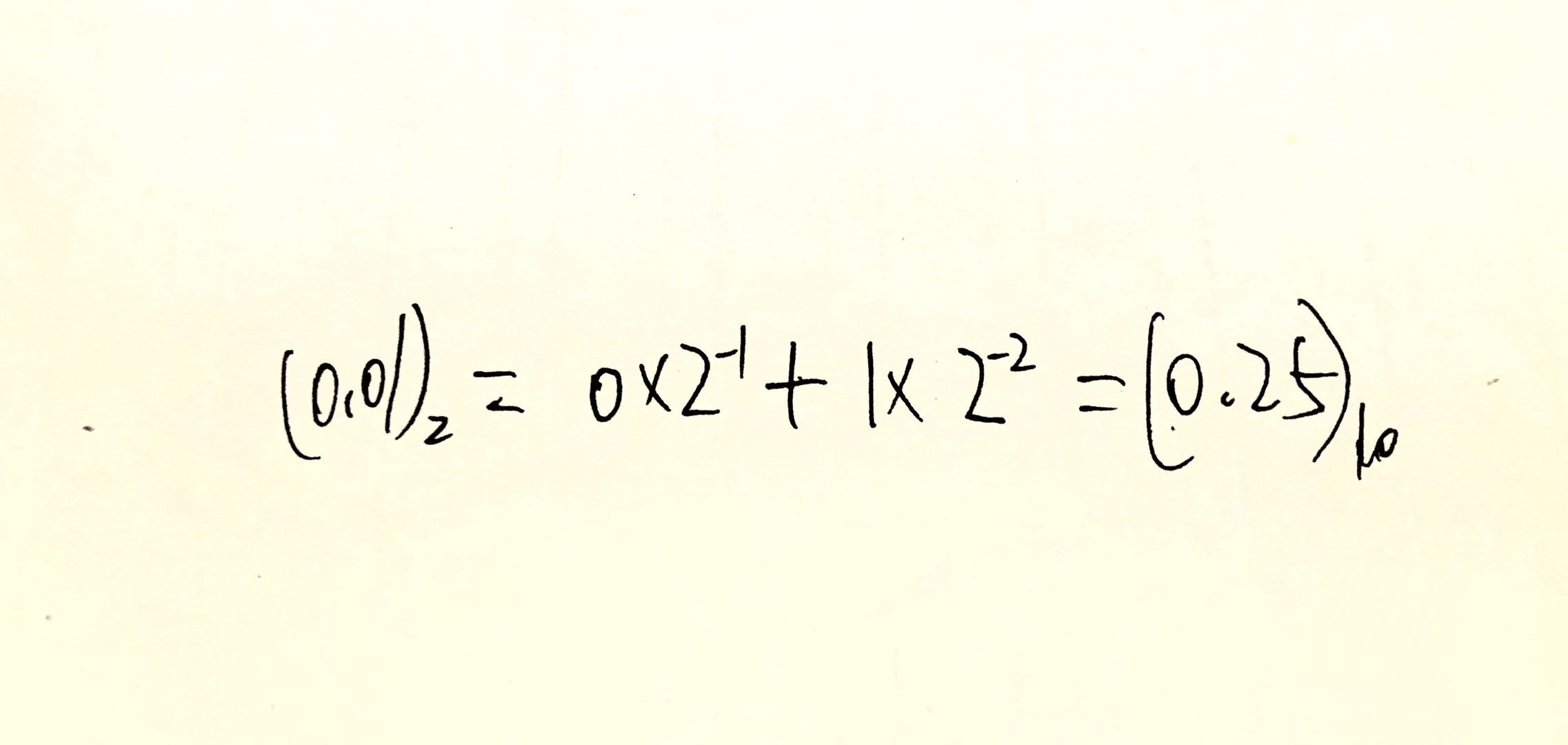
小数点后则是从左往右乘以二的相应负次方并递减(从-1次方开始),结果相加
如图以二进制数0.01为例

整体代码实现以PHP为例

二进制转八进制
二进制转换成八进制及八进制转换成二进制,要比二进制与十进制之间的转换简单一些。首先,我们来看一下数学关系即23=8,即用三位二进制表示一位八进制。现在我们来看二进制与八进制之间的转换。
取三合一法,即从二进制的小数点为分界点,向左(向右)每三位取成一位,接着将这三位二进制按权相加,得到的数就是一位八位二进制数,然后,按顺序进行排列,小数点的位置不变,得到的数字就是我们所求的八进制数。如果向左(向右)取三位后,取到最高(最低)位时候,如果无法凑足三位,可以在小数点最左边(最右边),即整数的最高位(最低位)添0,凑足三位。
我们先来掌握一个基本的东西,即二进制数与八进制数之间的对应关系,如图所示。

如图

整体代码实现以PHP为例

二进制转十六进制
整数要从右到左用二进制的每个数去乘以2的相应次方并递增(从0次方开始),结果相加
如图以二进制数1101为例
小数点后则是从左往右乘以二的相应负次方并递减(从-1次方开始),结果相加
如图以二进制数0.01为例
整体代码实现以PHP为例
最后
以上就是痴情电源最近收集整理的关于二进制、八进制、十进制、十六进制进制转换(代码实现)十进制二进制的全部内容,更多相关二进制、八进制、十进制、十六进制进制转换(代码实现)十进制二进制内容请搜索靠谱客的其他文章。
发表评论 取消回复