1、引言

2、几种常用的数制
2.1十进制

2.2二进制

2.3十六进制

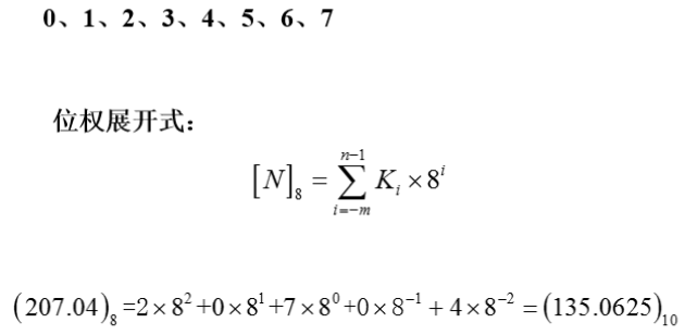
2.4八进制


3、不同数制间的相互转换
3.1十进制与其它进制间的相互转换




3.2二进制与十六进制间的转换

3.3二进制与八进制间的转换


4、二进制数的算术运算
4.1二进制数的基本运算

4.2二进制数的原码、补码和反码

4.3带符号二进制数的算术运算







5、几种常用的编码



最后
以上就是精明钢铁侠最近收集整理的关于数字电路1(数制和码制)的全部内容,更多相关数字电路1(数制和码制)内容请搜索靠谱客的其他文章。
本图文内容来源于网友提供,作为学习参考使用,或来自网络收集整理,版权属于原作者所有。
发表评论 取消回复