limit函数用法
在MATLAB中使用limit计算函数在某点的极限:
limit(f,a)
例1:
>> syms x;
>> limit((x^3+1)/(x^4+2))
ans =
1/2
例2:
>> limit(x+3,5)
ans =
8
假设f(x)与g(x)是不同的函数:
例:
计算他们在x趋向于3时的极限值
>> syms x;
>> f = (2*x+1)/(x-2);
>> g = x^2+1;
>> F1 = limit(f,3)
F1 =
7
>> F2 = limit(g,3)
F2 =
10
使用以上条件验证极限的性质
- 性质1

F1 =
7
>> F2 = limit(g,3)
F2 =
10
>> limit(f+g,3)
ans =
17
- 性质2

假设我们让k = 3,因此我们求得:
>> k = 3;
>> limit(k*f,3)
ans =
21
- 性质3

极限的乘积是:
>> F1*F2
ans =
70
乘积的极限:
>> limit(f.*g,3)
ans =
70
相等,证明完毕。
- 性质4(重要)

首先创建:

>> h = f.^g;
>> h
h =
((1 + 2*x)/(- 2 + x))^(1 + x^2)
计算它的极限:
>> limit(h,3)
ans =
282475249
等式右边:
>> F1^F2
ans =
282475249
相等,证明完毕。
isequal函数
在MATLAB中调用isequal函数来查看两个量是否相等;
如果相等,返回值为1
如果不相等,则返回0。
现在我们回头看看以上的例子:
A = F1^F2;
k = 3;
我们验证一下:
>> A = F1^F2;
>> isequal(A,k)
ans =
logical
0
显然不相等,再看:
>> isequal(A,limit(h,3))
ans =
logical
1
这是是相等的,返回值为1.
自变量趋于无穷时的极限
limit(f,inf)
我们使用MATLAB来显示:

在MATLAB中输入:
>> syms x;
>> q = sqrt(x^2+x)-x;
>> limit(q,inf)
ans =
1/2
我们还可以计算负无穷的极限,例如:
>> syms x;
>> limit((5*x^3+2*x)/(x^10+x+7),-inf)
ans =
0
我们不仅可以向MATLAB中输入无穷,MATLAB同样可以告诉我们极限的结果是无穷,例如我们验证:

>> syms x;
>> limit(1/abs(x))
ans =
Inf
左极限和右极限
如果存在间断点,那么函数在该点的极限就不存在。为了处理函数在x = a处不连续的情况,我们定义了函数左极限和右极限的记号。
在MATLAB中使用’left’,和’right’即可求出左极限和右极限。
如果左极限跟右极限相等,那么函数在该点的极限就存在。
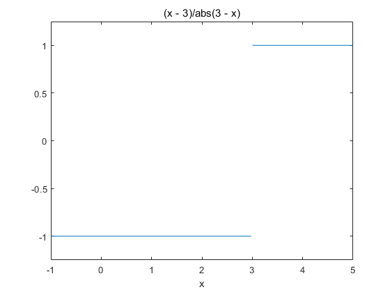
例如:指出
极限不存在。
>> syms x;
>> f = (x-3)/abs(x-3);
>> a = limit(f,x,3,'left')
a =
-1
>> b = limit(f,x,3,'right')
b =
1
结果不相等,所以该点的极限不存在。
需要注意的是,我们还要向limit传递用来计算极限的变量x.
接下来我们可以绘制该函数的图像,为了显示该函数的间断点,我们设置定义域:
>> ezplot(f,[-1 5])

最后
以上就是专一乌龟最近收集整理的关于MATLAB与高等数学--极限计算limit函数用法isequal函数自变量趋于无穷时的极限左极限和右极限的全部内容,更多相关MATLAB与高等数学--极限计算limit函数用法isequal函数自变量趋于无穷时内容请搜索靠谱客的其他文章。
本图文内容来源于网友提供,作为学习参考使用,或来自网络收集整理,版权属于原作者所有。
发表评论 取消回复