加速计是整个IOS屏幕旋转的基础,依赖加速计,设备才可以判断出当前的设备方向,IOS系统共定义了以下七种设备方向:
typedef NS_ENUM(NSInteger, UIDeviceOrientation) {
UIDeviceOrientationUnknown,
UIDeviceOrientationPortrait, // Device oriented vertically, home button on the bottom
UIDeviceOrientationPortraitUpsideDown, // Device oriented vertically, home button on the top
UIDeviceOrientationLandscapeLeft, // Device oriented horizontally, home button on the right
UIDeviceOrientationLandscapeRight, // Device oriented horizontally, home button on the left
UIDeviceOrientationFaceUp, // Device oriented flat, face up
UIDeviceOrientationFaceDown // Device oriented flat, face down
};
以及如下四种界面方向:
typedef NS_ENUM(NSInteger, UIInterfaceOrientation) {
UIInterfaceOrientationPortrait = UIDeviceOrientationPortrait,
UIInterfaceOrientationPortraitUpsideDown = UIDeviceOrientationPortraitUpsideDown,
UIInterfaceOrientationLandscapeLeft = UIDeviceOrientationLandscapeRight,
UIInterfaceOrientationLandscapeRight = UIDeviceOrientationLandscapeLeft
};
一、UIKit处理屏幕旋转的流程
当加速计检测到方向变化的时候,会发出 UIDeviceOrientationDidChangeNotification 通知,这样任何关心方向变化的view都可以通过注册该通知,在设备方向变化的时候做出相应的响应。上一篇博客中,我们已经提到了在屏幕旋转的时候,UIKit帮助我们做了很多事情,方便我们完成屏幕旋转。
UIKit的相应屏幕旋转的流程如下:
1、设备旋转的时候,UIKit接收到旋转事件。
2、UIKit通过AppDelegate通知当前程序的window。
3、Window会知会它的rootViewController,判断该view controller所支持的旋转方向,完成旋转。
4、如果存在弹出的view controller的话,系统则会根据弹出的view controller,来判断是否要进行旋转。
二、UIViewController实现屏幕旋转
在响应设备旋转时,我们可以通过UIViewController的方法实现更细粒度的控制,当view controller接收到window传来的方向变化的时候,流程如下:
1、首先判断当前viewController是否支持旋转到目标方向,如果支持的话进入流程2,否则此次旋转流程直接结束。
2、调用 willRotateToInterfaceOrientation:duration: 方法,通知view controller将要旋转到目标方向。如果该viewController是一个container view controller的话,它会继续调用其content view controller的该方法。这个时候我们也可以暂时将一些view隐藏掉,等旋转结束以后在现实出来。
3、window调整显示的view controller的bounds,由于view controller的bounds发生变化,将会触发 viewWillLayoutSubviews 方法。这个时候self.interfaceOrientation和statusBarOrientation方向还是原来的方向。
4、接着当前view controller的 willAnimateRotationToInterfaceOrientation:duration: 方法将会被调用。系统将会把该方法中执行的所有属性变化放到动animation block中。
5、执行方向旋转的动画。
6、最后调用 didRotateFromInterfaceOrientation: 方法,通知view controller旋转动画执行完毕。这个时候我们可以将第二部隐藏的view再显示出来。
整个响应过程如下图所示:

以上就是UIKit下一个完整的屏幕旋转流程,我们只需要按照提示做出相应的处理就可以完美的支持屏幕旋转。
三、注意事项和建议
1)注意事项
当我们的view controller隐藏的时候,设备方向也可能发生变化。例如view Controller A弹出一个全屏的view controller B的时候,由于A完全不可见,所以就接收不到屏幕旋转消息。这个时候如果屏幕方向发生变化,再dismiss B的时候,A的方向就会不正确。我们可以通过在view controller A的viewWillAppear中更新方向来修正这个问题。
2)屏幕旋转时的一些建议
•在旋转过程中,暂时界面操作的响应。
•旋转前后,尽量当前显示的位置不变。
•对于view层级比较复杂的时候,为了提高效率在旋转开始前使用截图替换当前的view层级,旋转结束后再将原view层级替换回来。
•在旋转后最好强制reload tableview,保证在方向变化以后,新的row能够充满全屏。例如对于有些照片展示界面,竖屏只显示一列,但是横屏的时候显示列表界面,这个时候一个界面就会显示更多的元素,此时reload内容就是很有必要的。
IOS:屏幕旋转与Transform
iTouch,iPhone,iPad设置都是支持旋转的,如果我们的程序能够根据不同的方向做出不同的布局,体验会更好。
如何设置程序支持旋转呢,通常我们会在程序的info.plist中进行设置Supported interface orientations,添加我们程序要支持的方向,而且程序里面每个viewController也有方法
supportedInterfaceOrientations(6.0及以后)
shouldAutorotateToInterfaceOrientation(6.0之前的系统)
通过viewController的这些方法,我们可以做到更小粒度的旋转控制,如程序中仅仅允许个别界面旋转。
一、屏幕旋转背后到底做了什么呢?
下面我们看个简单的例子,用xcode新建一个默认的单视图工程,然后在对应viewController的响应旋转后的函数中输出一下当前view的信息,代码如下:
SvRotateViewController
//
// SvRotateViewController.m
// SvRotateByTransform
//
// Created by maple on 4/21/13.
// Copyright (c) 2013 maple. All rights reserved.
//
#import "SvRotateViewController.h"
@interface SvRotateViewController ()
@end
@implementation SvRotateViewController
- (void)viewDidLoad
{
[super viewDidLoad];
// Do any additional setup after loading the view, typically from a nib.
self.view.backgroundColor = [UIColor grayColor];
}
- (void)didReceiveMemoryWarning
{
[super didReceiveMemoryWarning];
// Dispose of any resources that can be recreated.
}
- (BOOL)shouldAutorotateToInterfaceOrientation:(UIInterfaceOrientation)interfaceOrientation
{
return YES;
}
- (BOOL)shouldAutorotate
{
return YES;
}
- (NSUInteger)supportedInterfaceOrientations
{
return UIInterfaceOrientationMaskAll;
}
- (void)willRotateToInterfaceOrientation:(UIInterfaceOrientation)toInterfaceOrientation duration:(NSTimeInterval)duration
{
NSLog(@"UIViewController will rotate to Orientation: %d", toInterfaceOrientation);
}
- (void)didRotateFromInterfaceOrientation:(UIInterfaceOrientation)fromInterfaceOrientation
{
NSLog(@"did rotated to new Orientation, view Information %@", self.view);
}
@end
查看代码我们可以发现,我们的viewController支持四个方向,然后在旋转完成的didRotateFromInterfaceOrientation函数中打印了self.view的信息,旋转一圈我们可以看到如下输出:

二、什么是Transform
Transform(变化矩阵)是一种3×3的矩阵,如下图所示:

通过这个矩阵我们可以对一个坐标系统进行缩放,平移,旋转以及这两者的任意组着操作。而且矩阵的操作不具备交换律,即矩阵的操作的顺序不同会导致不同的结果。UIView有个transform的属性,通过设置该属性,我们可以实现调整该view在其superView中的大小和位置。
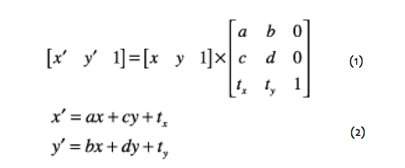
矩阵实现坐标变化背后的数学知识:

设x,y分别代表在原坐标系统中的位置,x',y'代表通过矩阵变化以后在新的系统中的位置。其中式1就是矩阵变化的公式,对式1进行展开以后就可以得到式2。从式2我们可以清楚的看到(x,y)到(x',y')的变化关系。
1)当c,b,tx,ty都为零时,x' = ax,y' = by;即a,d就分别代表代表x,y方向上放大的比例;当a,d都为1时,x' = x,y' = y;这个时候这个矩阵也就是传说中的CGAffineTransformIdentity(标准矩阵)。
2)当a,d为1,c,b为零的时候,x' = x + tx,y' = y + ty;即tx,ty分别代表x,y方向上的平移距离。
3)前面两种情况就可以实现缩放和平移了,那么旋转如何表示呢?
假设不做平移和缩放操作,那么从原坐标系中的一点(x,y)旋转α°以后到了新的坐标系中的一点(x',y'),那么旋转矩阵如下:

展开以后就是x' = xcosα - ysinα,y' = xsinα + ycosα;
实际应用中,我们将这些变化综合起来,即可完成所有二维的矩阵变化。现在我们在回过头来看看前面设备旋转时的输出,当设备位于Portrait的时候由于矩阵是标准矩阵,所以没有进行打印。当转到UIInterfaceOrientationLandscapeLeft方向的时候,我们的设备是顺时针转了90°(逆时针为正,顺时针为负),这个时候矩阵应该是(cos-90°,sin-90°,-sin-90°,cos-90°,tx,ty),由于未进行平移操作所以tx,ty都为0,刚好可以跟我们控制台输出:"<UIView: 0x8075390; frame = (0 0; 320 480); transform = [0, -1, 1, 0, 0, 0]; autoresize = W+H; layer = <CALayer: 0x8074980>>"一致。观察其他两个方向的输出,发现结果均和分析一致。
由此可以发现屏幕旋转其实就是通过view的矩阵变化实现,当设备监测到旋转的时候,会通知当前程序,当前程序再通知程序中的window,window会通知它的rootViewController的,rootViewController对其view的transform进行设置,最终完成旋转。
如果我们直接将一个view添加到window上,系统将不会帮助我们完成旋操作,这个时候我们就需要自己设置该view的transform来实现旋转了。这种情况虽然比较少,但是也存在的,例如现在很多App做的利用状态栏进行消息提示的功能就是利用自己创建window并且自己设置transform来完成旋转支持的,下一篇博客会介绍如何实现这种消息通知。
最后
以上就是优美钢笔最近收集整理的关于iOS开发中使用屏幕旋转功能的相关方法的全部内容,更多相关iOS开发中使用屏幕旋转功能内容请搜索靠谱客的其他文章。
发表评论 取消回复