前言
在阅读本篇文章时请关注如下问题:
- 1.什么是三层架构?
- 2.为什么使用三层架构?
- 3.三层与以往使用的两层相比有什么不同?它的优势在哪里?
- 4.如何学好三层架构?如何应用三层架构?
一、什么是三层架构
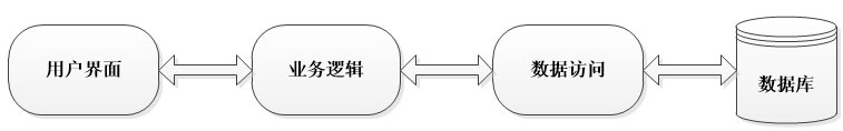
三层架构就是为了符合“高内聚,低耦合”思想,把各个功能模块划分为表示层(UI)、业务逻辑层(BLL)和 数据访问层(DAL)三层架构,各层之间采用接口相互访问,并通过对象模型的实体类(Model)作为数据传递的载体,不同的对象模型的实体类一般对应于数据库的不同表,实体类的属性与数据库表的字段名一致。
各模块功能划分表:
| UI:(表现层) | 主要是指与用户交互的界面。用于接收用户输入的数据和显示处理后用户需要的数据。 |
| BLL:(业务逻辑层) | UI层和DAL层之间的桥梁。实现业务逻辑。业务逻辑具体包含:验证、计算、业务规则等等。 |
| DAL:(数据访问层) | 与数据库打交道。主要实现对数据的增、删、改、查。将存储在数据库中的数据提交给业务层,同时将业务层处理的数据保存到数据库。(当然这些操作都是基于UI层的。用户的需求反映给界面(UI),UI反映给BLL,BLL反应给DAL,DAL进行数据的操作,操作后再逐步返回,直到将用户所需数据反馈给用户) |
三层架构运作流程图:
三层架构中各功能模块如何联系?
这里就要提到Entity(实体层):它不属于三层中的任何一层,但是它是必不可少的一层。对于大量的数据来说,用变量做参数有些复杂,因为参数量太多,容易搞混。比如:我要把员工信息传递到下层,信息包括:员工号、姓名、年龄、性别、工资.......用变量做参数的话,那么我们的方法中的参数就会很多,极有可能在使用时,将参数匹配搞混。这时候,如果用实体做参数,就会很方便,不用考虑参数匹配的问题,用到实体中哪个属性拿来直接用就可以,很方便。这样做也提高了效率。
Entity在三层架构中的作用:
| 1.实现面向对象思想中的"封装"; |
| 2.贯穿于三层,在三层之间传递数据;(注:确切的说实体层贯穿于三层之间,来连接三层) |
|
3.对于初学者来说,可以这样理解: 每张数据表对应一个实体,即每个数据表中的字段对应实体中的属性 (注:当然,事实上不是这样。 为什么? 1>)可能我们需要的实体在数据表对应的实体中并不存在 2>)我们完全可以将所有数据表中的所有字段都放在一个实体里) |
| 4.每一层(UI—>BLL—>DAL)之间的数据传递(单向)是靠变量或实体作为参数来传递的,这样就构造了三层之间的联系,完成了功能的实现。 |
(补充:3.中为什么说可以暂时理解为每个数据表对应一个实体??
我们做系统的目的,是为用户提供服务,用户可不关心你的系统后台是怎么工作的,用户只关心软件是不是好用,界面是不是符合自己心意。用户在界面上轻松的增、删、改、查,那么数据库中也要有相应的增、删、改、查,而增删改查具体操作对象就是数据库中的数据,说白了就是表中的字段。所以,将每个数据表作为一个实体类,实体类封装的属性对应到表中的字段,这样的话,实体在贯穿于三层之间时,就可以实现增删改查数据了)
三层及实体层之间的依赖关系:
二、为什么使用三层架构
三层架构区分层次的目的是为了 “高内聚,低耦合”。开发人员分工更明确,将精力更专注于应用系统核心业务逻辑的分析、设计和开发,加快项目的进度,提高了开发效率,有利于项目的更新和维护工作。
三、三层与两层的区别
两层:

(当任何一个地方发生变化时,都需要重新开发整个系统。"多层"放在一层,分工不明确耦合度高——难以适应需求变化,可维护性低、可扩展性低)
三层:

(发生在哪一层的变化,只需更改该层,不需要更改整个系统。层次清晰,分工明确,每层之间耦合度低——提高了效率,适应需求变化,可维护性高,可扩展性高)
三层架构的优势:
| 1.结构清晰、耦合度低 |
| 2.可维护性高,可扩展性高 |
| 3.利于开发任务同步进行, 容易适应需求变化 |
三层架构的劣势:
| 1.降低了系统的性能。这是不言而喻的。如果不采用分层式结构,很多业务可以直接造访数据库,以此获取相应的数据,如今却必须通过中间层来完成。 |
| 2.有时会导致级联的修改。这种修改尤其体现在自上而下的方向。如果在表示层中需要增加一个功能,为保证其设计符合分层式结构,可能需要在相应的业务逻辑层和数据访问层中都增加相应的代码 |
| 3.增加了代码量,增加了工作量 |
以上就是本文的全部内容,希望对大家的学习有所帮助,也希望大家多多支持靠谱客。
最后
以上就是顺利白羊最近收集整理的关于简单介绍三层架构工作原理的全部内容,更多相关简单介绍三层架构工作原理内容请搜索靠谱客的其他文章。
发表评论 取消回复