我是靠谱客的博主 沉默冷风,这篇文章主要介绍DNS(域名服务器)欺骗技术 ,现在分享给大家,希望可以做个参考。


概述:什么是DNS欺骗?
DNS欺骗是一门改变DNS原始指向IP的艺术。为了更好的理解,让我们先来看一个例子。如果你想用浏览器去google搜索一些信息,毫无疑问的你会在地址栏里输入www.google.com的网址然后回车。
那么在这背后又有什么事情正在进行着呢?一般而言,你的浏览器将会向DNS服务器发送一个请求,从而要求得到与www.google.com相匹配的IP地址,DNS服务器则会告诉你的浏览器google的IP地址,接着你的浏览器会连接并显示主页内容。哦,等一下,你打开的网页说google因无钱支付网站费用而转让给CSite的消息。你可能会非常吃惊,并打电话告诉你的好朋友。当然你的朋友一定会笑你疯掉了,因为你的朋友是可以登陆google并进行搜索的。还确信正在和你通信的IP地址是友好的吗?说不定你已成圈中之羊。当你在浏览器地址里输入http:// 66.249.89.99并回车时,你又会发现,其实www.google.com还健在。
其实刚刚就是DNS劫持攻击时目击者可能看到的情形。
Quote:
试想如果跳转的页面被无声无息地挂着马又会多糟糕
非常急切地相要知道着其中地玄机吧?是不是DNS服务器给了我们一个错误地IP地址?可能是吧。至少,这是我们脑中最符合逻辑地答案。
按此在新窗口打开图片事实上,有两种方法可以实现DNS劫持攻击。让我们来看看第一种,“DNS ID欺骗”技术。
A)DNS 高速缓冲存储器麻痹(DNS Cache Poisoning)
可以想象,DNS服务器不可能将所有现存的域名或IP地址存储在本身的存储空间里。这就是为什么DNS服务器有一个高速缓冲存储器(cache),它使得服务器可以存储DNS记录一一段时间。
事实上,一台DNS服务器只会记录本身所属域中的授权的主机,如果它想要知道其它的,在自身域以外主机的信息,就必须向信息持有者(另一台DNS服务器)发送请求,同时,为了不每次都发送请求,这台DNS服务器会将另一台DNS服务器返回的信息又记录下来。
那么现在,我们就来看看是怎么麻痹DNS的缓存的。
攻击者有自己的域(attacker.net)和一个已被攻陷的DNS服务器(ns.attacker.net)。注意!我说的是被攻陷的DNS服务器,因为攻击者已经自定义了他自己的DNS服务器的记录,比如,记录可以是www.google.com=81.81.81.81
1)攻击者向你的DNS服务器发送请求查询www.attacker.net
2)你的DNS服务器不知道这台主机的IP地址,因为他不属于本身域,所有你的DNS服务器就会问此主机的所属域的DNS服务器。
3)这时被黑DNS服务器就会回复你的DNS服务器,在此同时它也会给出它所有的记录(包括连接www.google.com的记录)
注意,这个过程叫做zone transfer.
4)这是你的DNS服务器还没有被麻痹。攻击者得到了自己的IP地址,但是他的目标不是得到自己网络服务器的地址,而是逼迫zone transfer进行以使你的DNS服务器麻痹直到其缓存不会被清楚或更新。
5)现在如果你再问你的DNS服务器关于www.google.com的IP地址,它会告诉你172.50.50.50,这也正是攻击者的服务器所在!现在,攻击者就能为所欲为,例如挂马什么的……当然这也对google造成了相当的损失!
B)DNS ID欺骗(DNS ID Spoofing)
我们可以看到,当主机X要与主机Y联系是需要近来的IP地址。然而在绝大多数情况下,X只有Y的名字,这样,DNS协议就是来解决名字到IP地址的问题的。
因此,X就会向它所在域的DNS服务器询问Y的IP地址。其间,主机X分配一个随即数,这个数也将会出现在从DNS服务器返回的信息里。当X收到回复后,X会对比两个数字,如果一致,则收到信息被视为有效。
那这样一个模型是否安全呢?并非十分安全。任何人都可以组织一次攻击来获得这个ID。举例说如果你用LAN,别人就可以利用嗅探器捕获你的请求ID,然后根据这个ID伪造一个回复信息……但是信息里含有攻击者所选的IP地址。然后,不加识别的,X会吧攻击者提供的IP地址当作Y的。
顺便提一句,DNS协议的提出请求是依赖于UDP的(只有在zone transfer时才用TCP),这也就意味着发送一个伪造的包是极其简单的,因为没有SYN/ACK号(不像TCP,UDP没有提供一个小型防IP欺骗的防护)
但是,这样的攻击是被局限的。在我以上的例子中,攻击者用嗅探器拦获ID,回复构造过的包给受害主机。
换句话说,即使攻击者拦截了请求,数据包还是会传去DNS服务器,而DNS服务器也照样会回复(除非攻击者拦截并阻止对网关的请求或实施ARP缓存麻痹才可能在转换网络中攻击)。
这就意味着攻击者必须在真DNS服务器前回复,即为了攻击成功,攻击者必须和被攻击者同一个LAN,只有这样他才可以获得快速的ping并且捕获对方的数据包。
实践举例(仅作测试目的)
看怎么劫持我们本地网络连接:
1、麻痹被攻击者的ARP缓存(具体的工具和说明可以在http://www.arp-sk.org上找到)
2、此时,目标主机的出口数据包将会重定向到你的主机上,但是还必须转发给真正的网关。我们可以用类似Winroute Pro的工具来实现。
3、为了实施DNS ID欺骗我们用valgasu开发的工具WinDNSSpoof
(在使用这个工具前请先安装Winpcap,见http://winpcap.polito.it)
命令行下输入类似的命令:
wds -n www.google.com-i 123.123.123.123 -g 00-C0-26-DD-59-CF –v
这个命令会使目标主机的www.google.com指向123.123.123.123。
其中00-C0-26-DD-59-CF是网关或DNS服务器的MAC地址。
Tips: 在Windows NT内核下,查询远程IP的MAC地址可以在CMD里用nbtstat -A xxx.xxx.xxx.xxx命令
警告:记住!在未授权的情况下使用这些手段是被禁止的!
C)借助生日悖论的精确攻击
什么是“生日悖论”?
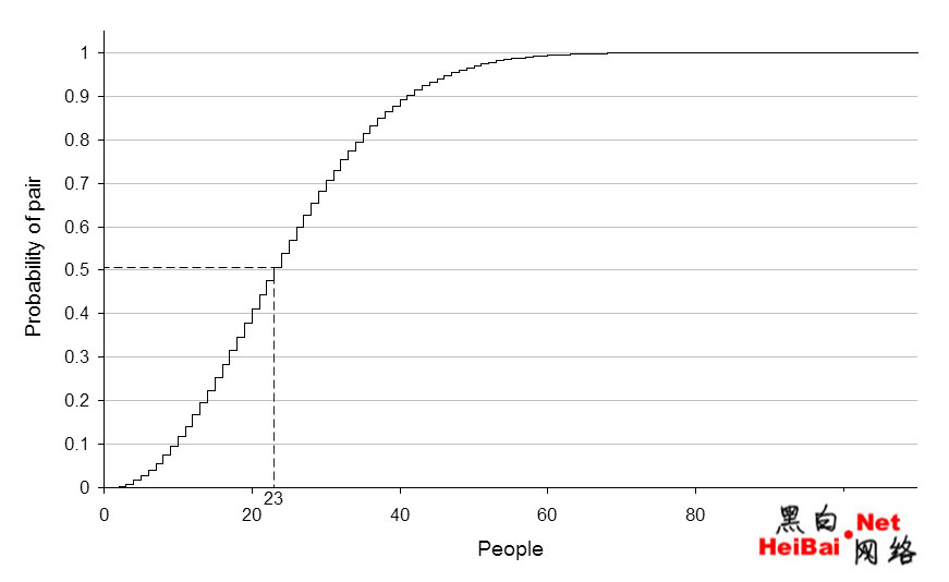
“生日悖论”得名于一个能产生奇怪现象的数学模型,即如果有23人在一起,那么很有可能其中的两人有相同的生日。其实要理解也不是那么困难。
假设现在你在一个派对问某人他的生日,那么他跟你不同生日的几率就是364/365=0.997,则相同的概率就是1-364/365=0.003。
现在,如果你再问另外一个人,他的生日不同于前一人且不同于你的概率就是(364/365)*(363/365)=0.992,所以我们至少可以推得我们中两人有相同生日的概率为1-0.992=0.008。
如果我们继续这样的推算,很快就能算得23人中有两人的生日相同的概率高达50%。我们可以通过以下的C代码看出概率是如何趋近于1的。
#define POSSIBILITIES 365.0
void main (void)
{
float chances;
int i, j;
for (i = 1; i
没法编译的朋友可以看下面的结果:
People
2
9
16
23
30
37
44
65
79
Chances
0.0027
0.0946
0.2836
0.5073
0.7063
0.8487
0.9329
0.9977
0.9999
没法编译的朋友可以看下面的结果:

生日悖论普遍的应用于检测哈希函数:N-位长度的哈希表可能发生碰撞测试次数不是2N次而是只有2N/2次。这一结论被应用到破解密码学散列函数的生日攻击中生日问题所隐含的理论已经在[Schnabel 1938]名字叫做capture-recapture的统计试验得到应用,来估计湖里鱼的数量。
好,下面我们还是回到我的攻击测试上来,在上述的最为普遍的DNS欺骗攻击中,是在窃听(嗅探)网络以便得到来自X的ID号码,然后回复以相同的ID只是含有攻击者提供的IP。
就像我之前说的,这种攻击需要嗅探网络中的X生成的DNS数据。那这是不是意味着攻击者不能不用嗅探器实施攻击呢?
试着“猜猜”ID怎么样?
为什么不呢,但是ID号是用两字节构成的,这意味着有65535个可能的值!也就是说攻击者如果想要成功攻击的话,他要构造出65535个不同ID号的伪造回复,这样里面至少有且仅有一个包是可用的。
如果这样的攻击的话,我们需要相当好的带宽,而且最重要的是我们不知道何时发送伪造的回复。他就必须先知道对方有个请求,然后紧接着及时地(在真的来自DNS服务器的回复之前)发送回复。
让我们来从另一个角度看问题,我们知道是有可能性去直接麻痹DNS服务器的。回忆一下,攻击者是想DNS服务器询问解析www.attacker.net,多亏有从ns.attacker.net来的恶意记录zone transfer,攻击者才可以麻痹DNS服务器的高速缓存器。值得重提的是,这种攻击的局限在于攻击者必须在运行自己带有恶意记录的DNS服务器。
这样的分析之下,如果攻击者没有办法嗅探你的网络数据或者没有自己的服务器,是不是就是说你就远离DNS劫持技术了?
答案是,完全不是这样。
我之前提到过,DNS协议是用UDP回复,UDP是非连接状态的协议,是没有像TCP三次握手的过程的。所以,这也就使得可以非常容易地用你选的任意IP发送UDP包。所以为什么攻击者在可以从任意DNS服务器发送伪造包的情况下要辛辛苦苦地架设起自己地DNS服务器呢?他可以直接询问受害者的DNS服务器解析www.google.com,然后立即发送含伪造IP的包给www.google.com的域名服务器。
好,这样时间刚好,这样是可行的,所以问题就只有受害者的DNS服务器将要向ns.google.com发送一次请求来得到www.google.com的IP,同时有一个请求的ID号。所以又一次的,攻击者就必须发送65535个含ns.google.com的伪造包来做为受害者域名服务器的源地址。至少有一个包是吻合的。所以看来这个可能会成功。
下面就是最有趣的部分了……如果攻击者向受害者的DNS服务器发送了100份请求来解析www.google.com会发生什么呢?那么ns.victim.com也将会向ns.google.com发送100份请求,那然后如果我们发送100个从ns.google.com到ns.victim.com的伪造回复会怎样呢?如果你已经理解了刚刚提到的生日悖论原理,你就应该懂得相比之下冲撞(猜对)的概率已经有了可观的提高。
除此之外,还有个必须注意的小细节——源端口!
试想,ns.victim.com将要向ns.google.com发送请求,UDP头就应该像这样:
Source address : ns.victim.com
Destination address : ns.google.com
Source port : 1256 (choosed randomly and > 1024)
Destination port : 53 (DNS port)
Data : What is the IP of www.google.com?
很明显,攻击者必须ns.victim.com的源端口作为目标端口发送伪造的DNS回复,包的内容就像:
Source address : ns.google.com
Destination address : ns.victim.com
Source port : 53
Destination port : 1256
Data : The IP of www.google.com is 81.81.81.81
所以如果我们没有嗅探又要怎样猜测源端口呢?“不幸”的是,对大多数DNS服务器来说,源端口是不会为每个客户端而改变的,因此攻击者可以很简单地通过看 ns.victim.com的目前源端口来得到。比方说,如果他有一个域名服务器,他只要请求DNS查找他的域的一个站名,得到的返回查询包就会包含现在在的被ns.victim.com用来发送DNS请求的源端口。
好,现在我知道如何得到源端口了,你可能会对攻击的成功率好奇。这也是我正要讲的。我们的C代码也有所改动:
#define POSSIBILITIES 65535.0
void main (void)
{
float chances;
int i, j;
for (i = 0; i
结果如下:
Queries
50
100
150
200
250
300
350
400
500
550
650
750
Chances
0.0185
0.0728
0.1569
0.2621
0.3785
0.4961
0.6069
0.7048
0.8517
0.9008
0.9604
0.9865
我们可以看到,650个构造回复有0.960411的概率成功,近乎100%!
欲知更多详细信息,我建议阅读以下文章:
http://www.kb.cert.org/vuls/id/457875
http://www.securityfocus.com/guest/17905
D)总结
在这篇文章里,我用www.google.com做例子,并不是因为我真的对其的重定向攻击感兴趣。这个问题在你访问你的银行账户,在线购书网站甚至是网页电子邮件时尤为重要。
而对于网站管理者来说,可行的防范措施有:
对高速缓存器加以限制,保证不保留额外的记录。
不要用或依赖DNS构架安全体系。
使用SSL之类的加密技术,所以即使被攻击,难度也会加大

最后

以上就是沉默冷风最近收集整理的关于DNS(域名服务器)欺骗技术 的全部内容,更多相关DNS(域名服务器)欺骗技术内容请搜索靠谱客的其他文章。

本图文内容来源于网友提供,作为学习参考使用,或来自网络收集整理,版权属于原作者所有。
点赞(261)

评论列表共有 0 条评论

立即
投稿
返回
顶部