python的多重继承的理解
Python和C++一样,支持多继承。概念虽然容易,但是困难的工作是如果子类调用一个自身没有定义的属性,它是按照何种顺序去到父类寻找呢,尤其是众多父类中有多个都包含该同名属性。
对经典类和新式类来说,属性的查找顺序是不同的。现在我们分别看一下经典类和新式类两种不同的表现:
经典类:
#! /usr/bin/python # -*- coding:utf-8 -*- class P1(): def foo(self): print 'p1-foo' class P2(): def foo(self): print 'p2-foo' def bar(self): print 'p2-bar' class C1(P1,P2): pass class C2(P1,P2): def bar(self): print 'C2-bar' class D(C1,C2): pass if __name__ =='__main__': d=D() d.foo() d.bar()
执行的结果:
p1-foo p2-bar
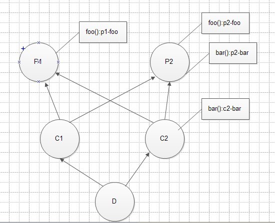
将代码实例,画了一个图,方便理解:

从上面经典类的输出结果来看,
实例d调用foo()时,搜索顺序是 D => C1 => P1,
实例d调用bar()时,搜索顺序是 D => C1 => P1 => P2
总结:经典类的搜索方式是按照“从左至右,深度优先”的方式去查找属性。d先查找自身是否有foo方法,没有则查找最近的父类C1里是否有该方法,如果没有则继续向上查找,直到在P1中找到该方法,查找结束。
新式类:
#! /usr/bin/python # -*- coding:utf-8 -*- class P1(object): def foo(self): print 'p1-foo' class P2(object): def foo(self): print 'p2-foo' def bar(self): print 'p2-bar' class C1(P1,P2): pass class C2(P1,P2): def bar(self): print 'C2-bar' class D(C1,C2): pass if __name__ =='__main__': print D.__mro__ #只有新式类有__mro__属性,告诉查找顺序是怎样的 d=D() d.foo() d.bar()
执行的结果:
(<class '__main__.D'>, <class '__main__.C1'>, <class '__main__.C2'>, <class '__main__.P1'>, <class '__main__.P2'>, <type 'object'>) p1-foo C2-bar
从上面新式类的输出结果来看,
实例d调用foo()时,搜索顺序是 D => C1 => C2 => P1
实例d调用bar()时,搜索顺序是 D => C1 => C2
总结:新式类的搜索方式是采用“广度优先”的方式去查找属性。
以上就是Python的多重继承的详解,如有疑问请留言或者到本站社区交流讨论,感谢阅读,希望能帮助到大家,谢谢大家对本站的支持!
最后
以上就是鲤鱼小馒头最近收集整理的关于python的多重继承的理解的全部内容,更多相关python内容请搜索靠谱客的其他文章。
本图文内容来源于网友提供,作为学习参考使用,或来自网络收集整理,版权属于原作者所有。
发表评论 取消回复