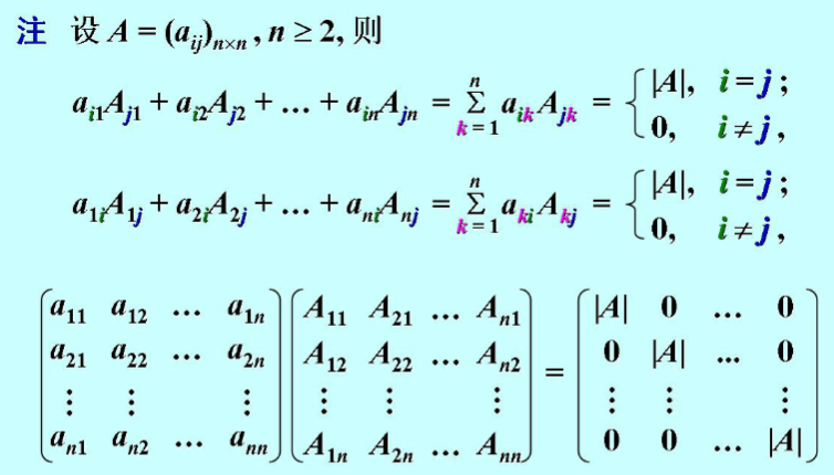
1. 行列式按行、按列展开,行列式不变

2. 系数项的行(列)和代数余子式的行(列)不一致时,展开式为0


3. 矩阵与伴随矩阵的乘积


4. 克罗内克符号

最后
以上就是鲤鱼草莓最近收集整理的关于线性代数学习笔记——第十五讲——行列式按行(列)展开的全部内容,更多相关线性代数学习笔记——第十五讲——行列式按行(列)展开内容请搜索靠谱客的其他文章。
本图文内容来源于网友提供,作为学习参考使用,或来自网络收集整理,版权属于原作者所有。
1. 行列式按行、按列展开,行列式不变

2. 系数项的行(列)和代数余子式的行(列)不一致时,展开式为0


3. 矩阵与伴随矩阵的乘积


4. 克罗内克符号

以上就是鲤鱼草莓最近收集整理的关于线性代数学习笔记——第十五讲——行列式按行(列)展开的全部内容,更多相关线性代数学习笔记——第十五讲——行列式按行(列)展开内容请搜索靠谱客的其他文章。
发表评论 取消回复