首先准备数据:表达矩阵
ACC.uncv2.mRNAseq_RSEM_normalized_log2.txt(以下载的TCGA的数据,log之后的)

上面数据中01为tumor,11为normal
我们进行差异分析,就是看两组的表达值,是否差异,而检验的方法就是T检验
a=AVERAGE(B2:G2) ##求tumor组的平均表达量
b=AVERAGE(H2:O2) ##求normal的平均表达量
c=tumor-normal ##计算得到logFC值
d=AVERAGE(B2:O2) ##得到所有样本的平均表达量
e=F.TEST(B2:G2,H2:O2) ##F检验,两组方差齐性检验
p=if(e>0.05,T.TEST(B2:G2,H2:O2,2,2),T.TEST(B2:G2,H2:O2,2,3) ) ###用T检验得到两个组的表达量的差异显著程度。
***注意缺失数据的处理。
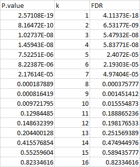
然后计算FDR

FDR=p.value*count(n)/k
在这里是p.value*16/[1:16]得出Q值
转载于:https://www.cnblogs.com/qiniqnyang/p/5821772.html
最后
以上就是知性衬衫最近收集整理的关于用excel做差异表达的全部内容,更多相关用excel做差异表达内容请搜索靠谱客的其他文章。
本图文内容来源于网友提供,作为学习参考使用,或来自网络收集整理,版权属于原作者所有。
发表评论 取消回复