数据分析之独立样本的T-Test分析
比较两个独立样本数据之间是否有显著性差异,将实验数据与标准数据对比,查看
实验结果是否符合预期。T-Test在生物数据分析,实验数据效果验证中很常见的数
据处理方法。http://www.statisticslectures.com/tables/ttable/ - T-table查找表
独立样本T-test条件:
1. 每个样本相互独立没有影响
2. 样本大致符合正态分布曲线
3. 具有同方差异性
单侧检验(one-tail Test)与双侧检验(Two-Tail Test)

基本步骤:
1.双侧检验, 条件声明 alpha值设置为0.05
根据t-table, alpha = 0.05, df = 38时, 对于t-table的值为2.0244

2. 计算自由度(Degree of Freedom)
Df = (样本1的总数 + 样本2的总数)- 2
3. 声明决策规则
如果计算出来的结果t-value的结果大于2.0244或者小于-2.0244则拒绝
4. 计算T-test统计值

5. 得出结论
如果计算结果在双侧区间之内,说明两组样本之间没有显著差异。
可重复样本的T-Test计算
同样一组数据在不同的条件下得到结果进行比对,发现是否有显著性差异,最常见
的对一个人在饮酒与不饮酒条件下驾驶车辆测试,很容易得出酒精对驾驶员有显著
影响
算法实现:
对独立样本的T-Test计算最重要的是计算各自的方差与自由度df1与df2

对可重复样本的对比t-test计算

程序实现:
package com.gloomyfish.data.mining.analysis;
public class TTestAnalysisAlg {
private double alpahValue = 0.05; // default
private boolean dependency = false; // default
public TTestAnalysisAlg() {
System.out.println("t-test algorithm");
}
public double getAlpahValue() {
return alpahValue;
}
public void setAlpahValue(double alpahValue) {
this.alpahValue = alpahValue;
}
public boolean isDependency() {
return dependency;
}
public void setDependency(boolean dependency) {
this.dependency = dependency;
}
public double analysis(double[] data1, double[] data2) {
double tValue = 0;
if (dependency) {
// Repeated Measures T-test.
// Uses the same sample of subjects measured on two different
// occasions
double diffSum = 0.0;
double diffMean = 0.0;
int size = Math.min(data1.length, data2.length);
double[] diff = new double[size];
for(int i=0; i<size; i++)
{
diff[i] = data2[i] -data1[i];
diffSum += data2[i] -data1[i];
}
diffMean = diffSum / size;
diffSum = 0.0;
for(int i=0; i<size; i++)
{
diffSum += Math.pow((diff[i] -diffMean), 2);
}
double diffSD = Math.sqrt(diffSum / (size - 1.0));
double diffSE = diffSD / Math.sqrt(size);
tValue = diffMean / diffSE;
} else {
double means1 = 0;
double means2 = 0;
double sum1 = 0;
double sum2 = 0;
// calcuate means
for (int i = 0; i < data1.length; i++) {
sum1 += data1[i];
}
for (int i = 0; i < data2.length; i++) {
sum2 += data2[i];
}
means1 = sum1 / data1.length;
means2 = sum2 / data2.length;
// calculate SD (Standard Deviation)
sum1 = 0.0;
sum2 = 0.0;
for (int i = 0; i < data1.length; i++) {
sum1 += Math.pow((means1 - data1[i]), 2);
}
for (int i = 0; i < data2.length; i++) {
sum2 += Math.pow((means2 - data2[i]), 2);
}
double sd1 = Math.sqrt(sum1 / (data1.length - 1.0));
double sd2 = Math.sqrt(sum2 / (data2.length - 1.0));
// calculate SE (Standard Error)
double se1 = sd1 / Math.sqrt(data1.length);
double se2 = sd2 / Math.sqrt(data2.length);
System.out.println("Data Sample one - > Means :" + means1
+ " SD : " + sd1 + " SE : " + se1);
System.out.println("Data Sample two - > Means :" + means2
+ " SD : " + sd2 + " SE : " + se2);
// degree of freedom
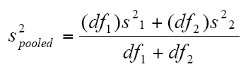
double df1 = data1.length - 1;
double df2 = data2.length - 1;
// Calculate the estimated standard error of the difference
double spooled2 = (sd1 * sd1 * df1 + sd2 * sd2 * df2) / (df1 + df2);
double Sm12 = Math.sqrt((spooled2 / df1 + spooled2 / df2));
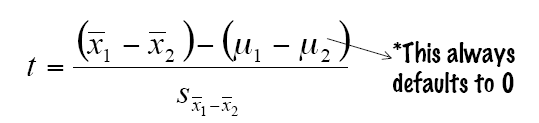
tValue = (means1 - means2) / Sm12;
}
System.out.println("t-test value : " + tValue);
return tValue;
}
public static void main(String[] args) {
int size = 10;
System.out.println(Math.sqrt(size));
}
}
测试程序:
package com.gloomyfish.dataming.study;
import com.gloomyfish.data.mining.analysis.TTestAnalysisAlg;
public class TTestDemo {
public static double[] data1 = new double[]{
35, 40, 12, 15, 21, 14, 46, 10, 28, 48, 16, 30, 32, 48, 31, 22, 12, 39, 19, 25
};
public static double[] data2 = new double[]{
2, 27, 38, 31, 1, 19, 1, 34, 3, 1, 2, 3, 2, 1, 2, 1, 3, 29, 37, 2
};
public static void main(String[] args)
{
TTestAnalysisAlg tTest = new TTestAnalysisAlg();
tTest.analysis(data1, data2);
tTest.setDependency(true);
double[] d1 = new double[]{2, 0, 4, 2, 3};
double[] d2 = new double[]{8, 4, 11, 5, 8};
// The critical value for a one-tailed t-test with
// df=4 and α=.05 is 2.132
double t = tTest.analysis(d1, d2);
if(t > 2.132 || t < -2.132)
{
System.err.println("Very Bad!!!!");
}
}
}
转载于:https://blog.51cto.com/gloomyfish/1400249
最后
以上就是迷你汽车最近收集整理的关于数据分析之可重复与独立样本的T-Test分析的全部内容,更多相关数据分析之可重复与独立样本内容请搜索靠谱客的其他文章。
发表评论 取消回复