最近在学习M. W. Mehrez的MPC时发现了很多不了解的细节,分享一下对该算法的梳理与理解。
在自动驾驶或机器人领域中,模型预测控制(Model Predictive Control, MPC)解决的是轨迹规划的问题。其前提条件是环境地图、载体位姿已知,根据MPC算法,得到一条轨迹,轨迹中包含载体运行所需的每一时刻的速度信息,最终实现对载体的控制。
为什么要用MPC?以差分底盘小车为研究对象,更传统的输出轨迹方法是“控制-定位-控制”的模式,如DWA。但是计算机的控制有时间延迟,第一次发出速度指令并进行定位时,小车已经向前走了一个距离,而下一时刻发送的速度指令是基于上次定位的信息,也就是说控制是滞后的。MPC可以根据过去的信息以及载体模型,推算出未来一定时间内的最优控制策略,从而解决了控制滞后的问题。
算法原理
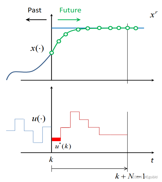
结合下图,
x
(
⋅
)
x(·)
x(⋅)表示状态变量,其中蓝线对应的
x
r
x^r
xr代表想要达到的目标状态,上标r代表reference。
u
(
⋅
)
u(·)
u(⋅)表示控制变量。根据当前时刻的状态,和当前时刻的控制量,就能得到下一时刻的状态量,例如知道当前位置和前进的速度,就能知道下一时刻的位置。其数学上的表示为:
x
(
k
+
1
)
=
f
(
x
(
k
)
,
u
(
k
)
)
x(k +1) = f (x(k),u(k))
x(k+1)=f(x(k),u(k))
该式称为系统方程。

模型预测控制,又称为滚动时域控制,其核心策略有三点,预测、实施优化和移动窗口:
-
预测 Prediction
预测指的是,例如当前在 k k k时刻,建立一个包含 N N N个时刻的“窗口”,然后根据当前时刻的状态量 x ( k ) x(k) x(k),计算一个最优控制序列,也就是计算得到 u ∗ ( k ) u^*(k) u∗(k)、 u ∗ ( k + 1 ) u^*(k+1) u∗(k+1)、 . . . ... ...、 u ∗ ( k + N − 1 ) u^*(k+N-1) u∗(k+N−1),共 N N N个控制量,上标*代表最优的结果。其中 u ∗ ( k ) u^*(k) u∗(k)就是 k k k时刻决定发出的速度指令。 -
实时优化 Online optimization
实时优化指的是在预测中最优控制序列的计算过程,属于最优控制问题。下节中进一步解释。 -
移动窗口 Receding horizon
移动窗口时,当前载体已经从 k k k时刻前进到 k + 1 k+1 k+1时刻,再重复执行预测和实时优化的步骤。
内容参考:
[1] M. W. Mehrez的Github上的ppt:https://github.com/MMehrez/MPC-and-MHE-implementation-in-MATLAB-using-Casadi
最后
以上就是勤劳水壶最近收集整理的关于MPC学习笔记(1)——原理算法原理的全部内容,更多相关MPC学习笔记(1)——原理算法原理内容请搜索靠谱客的其他文章。
发表评论 取消回复