1、Latent space
隐空间是压缩数据的一个表示。数据压缩的目的是学习数据中较重要的信息。以编码器-解码器网络为例,首先使用全卷积神经网(FCN)络学习图片特征,我们将特征提取中对数据的降维看作一种有损压缩。但是由于解码器需要重建(reconstruct)数据,所以模型必须学习如何储存所有相关信息并且忽略噪音。所以压缩(降维)的好处在于可以去掉多余的信息从而关注于最关键的特征。
2、AutoEncoder 和 VAE
AutoEncoder:
(1)AE是一个预训练的自编码器,自编码器的目的是数据降维,其优化目标是通过编码器压缩数据,再通过解码器还原数据,使得输入输出的数据尽量相同
(2)理论上来说对于图像数据,解码器还原数据可以看做是一个生成器的功能,由于解码器的输入数据z属于R空间,输入z的分布无法被固定住,所以大部分生成的图片是无意义的。
VAE:
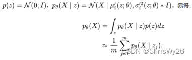
(1)给定输入解码器的z一个分布可以解决上述问题,假设一个服从标准多元高斯分布的多维随机变量的数据集X,通过根据已知分布采样得到的zi,来训练decoder神经网络,从而得到多元高斯分布的均值和方差,从而成功得到一个逼近真实分布p(X)的p’(X)
(2)求解p’(X|z)的概率分布

(3)通过极大似然估计,最大化p’(X)的概率,但由于xi的维度很大,zi的维度也很大,需要准确找到与xi分布相关的zi,需要大量的采样,因此需要在encoder中引入后验分布p’(z|xi),让xi与zi关联起来
最后
以上就是鳗鱼毛巾最近收集整理的关于stable diffusion原理的全部内容,更多相关stable内容请搜索靠谱客的其他文章。
本图文内容来源于网友提供,作为学习参考使用,或来自网络收集整理,版权属于原作者所有。
发表评论 取消回复