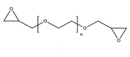
环氧-聚乙二醇-环氧(EP-PEG-EP)是一种具有两个环氧基团的线性双功能PEG试剂,通常用于交联或聚乙二醇化含胺或羟基的分子和表面。
英文名称:Epoxide-PEG-Epoxide
中文名称:环氧基-聚乙二醇-环氧基
分子量:1k,2k,3.4k,5k,10k,20k(可按需定制)
质量控制:95%+
存储条件:-20°C,避光,避湿
用 途:仅供科研实验使用,不用于诊治
外 观:粘稠液体或者固体粉末,取决于分子量
注意事项:取用一定要干燥,避免频繁的溶解和冻干
溶解性:溶于大部分有机溶剂,如:DCM、DMF、DMSO、THF等等。在水中有很好的溶解性
结构式:

供应商:西安凯新生物科技有限公司
相关推荐:
NH2-PEG-NH2-2K,氨基聚乙二醇氨基
NH2-PEG-NH2-3.4K,氨基聚乙二醇氨基
NH2-PEG-NH2-5K,氨基聚乙二醇氨基
COOH-PEG-COOH-2K,羧基聚乙二醇羧基
COOH-PEG-COOH-3.4K,羧基聚乙二醇羧基
COOH-PEG-COOH-5K,羧基聚乙二醇羧基
MAL-PEG-MAL-2K,马来酰亚胺聚乙二醇马来酰亚胺
MAL-PEG-MAL-3.4K,马来酰亚胺聚乙二醇马来酰亚胺
MAL-PEG-MAL-5K,马来酰亚胺聚乙二醇马来酰亚胺
以上图文信息由西安凯新生物科技有限公司提供,如需了解详细或者图谱请联系!!!
最后
以上就是难过电灯胆最近收集整理的关于EP-PEG2000-EP,具有两个环氧基团的线性双功能PEG,EP-PEG2000-Epoxide的全部内容,更多相关EP-PEG2000-EP,具有两个环氧基团内容请搜索靠谱客的其他文章。
本图文内容来源于网友提供,作为学习参考使用,或来自网络收集整理,版权属于原作者所有。
发表评论 取消回复