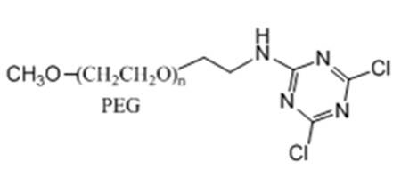
mPEG氰脲或mPEG氰脲氯化物是一种具有氰脲官能团的线性单官能团PEG试剂。氰基可在温和的碱性条件下用于肽、抗体和其他含胺生物分子或纳米粒子的聚乙二醇化。蛋白质的N-末端可以与氰偶合。三聚氰酸氯化物也称为2,4,6-三氯-1,3,5-三嗪、三氯三嗪或氰酰氯,CAS号:108-77-0。
英文名称:mPEG-Cyanur
中文名称:甲氧基-聚乙二醇-氰尿酸
分子量:1k,2k,3.4k,5k,10k,20k(可按需定制)
质量控制:95%+
存储条件:-20°C,避光,避湿
用 途:仅供科研实验使用,不用于诊治
外 观:粘稠液体或者固体粉末,取决于分子量
注意事项:取用一定要干燥,避免频繁的溶解和冻干
溶解性:溶于大部分有机溶剂,如:DCM、DMF、DMSO、THF等等。在水中有很好的溶解性
结构式:

西安凯新生物科技有限公司是国内PEG供应商,可以提供不同分子量的PEG衍生物,小分子PEG的循环节可以做到1-36个,高分子PEG分子量从1000-40000不等,可以修饰的基团有:氨基类,NHBOC类,Fmoc类,羧酸类,Mal类,NHS类,叠氮类,DBCO类,Cy3/Cy5/Cy7类,THP类,苄基类,丙炔基类,溴代类,丙酸叔丁酯类,乙酸叔丁酯类,甲基类,生物素类,五氟苯酚类,磺酸酯类,巯基类,产品纯度高达98%以上。
相关推荐:
mPEG-Acrylamide,MW= 30000
mPEG-Epoxide,Mw= 550
mPEG-SAS,MW= 30000
mPEG-Hydrazide,MW= 30000
mPEG-DSPE,MW= 30000
mPEG-DMPE,Mw= 550
mPEG-Biotin,MW= 30000
mPEG-SS,Mw= 550
以上图文信息由西安凯新生物科技有限公司提供,如需了解详细或者图谱请联系!!!
最后
以上就是活力马里奥最近收集整理的关于mPEG2000-Cyanur,mPEG2000-氰尿酸的全部内容,更多相关mPEG2000-Cyanur内容请搜索靠谱客的其他文章。
发表评论 取消回复