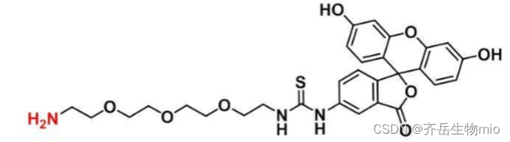
英文名称:5-FITC-PEG3-Amine
中文名称:5-荧光素-三聚乙二醇-胺基
英文别称: Fluorescein-PEG3-Amine
Fluorescein-PEG3-NH2
分子式: C29H31N3O8S
分子量: 581.6
CAS: 1807539-04-3
纯度: ≥95%
结构式:

性 状:白色或微黄色粉状制剂
用 途:仅供科研实验使用,不用于诊治
注意事项:取用一定要干燥,避免频繁的溶解和冻干
溶解性:溶于大部分有机溶剂,如:DCM、DMF、DMSO、THF等等。在水中有很好的溶解性。
相关产品:
5-FITC-DBCO 5-荧光素-二苯并环辛炔
5-FITC-PEG3-Amine 5-荧光素-三聚乙二醇-胺基
5-FITC-PEG3-azide 5-荧光素-三聚乙二醇-叠氮
5-FITC-PEG4-alkyne 5-荧光素-四聚乙二醇-炔烃
5-FITC-PEG4-Amine 5-荧光素-四聚乙二醇-胺基
5-FITC-PEG4-COOH 5-荧光素-四聚乙二醇-羧基
5-FITC-PEG5-COOH 5-荧光素-五聚乙二醇-羧基
5-FITC-PEG6-COOH 5-荧光素-六聚乙二醇-羧基
5-FITC-Tetrazine 5-荧光素-四嗪
5-HMSiR-Hochest荧光染料 | SIR荧光探针
5-氨基荧光素
5-十二酰氨基荧光素-二-β-D-吡喃半乳糖苷cas:138777-25-0
以上来自小编分享zyl2022.6.10
最后
以上就是粗犷绿草最近收集整理的关于5-FITC-PEG3-Amine/azide;5-荧光素-三聚乙二醇-胺基/叠氮的全部内容,更多相关5-FITC-PEG3-Amine/azide内容请搜索靠谱客的其他文章。
发表评论 取消回复