英文名称:Sulfo NHS LC Biotin
Sulfo-Nhs-LC-Biotin
Sulphosuccinimidyl-6-(Biotinamido)Hexanoate
产品名称:6-(生物素酰胺)己酸磺酸基琥珀酰亚胺酯钠盐
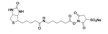
CAS:127062-22-0
分子式:C20H29N4S2O9Na
分子量:556.58
纯 度:95%.00
保存方法:-20长期保存,避光,干燥。本品易吸潮,吸潮后活性会降低直至完全失去活性,请务必保持干燥,同时尽量避免反复冻存
结构式:

产品简介:Sulfo-NHS-LC-Biotin具有水溶性和不可切割性,能够高效地对溶液中的抗体、蛋白及其他含伯胺大分子进行生物素标记。针对细胞表面蛋白进行特异性标记是这些无胞膜穿透性的***水溶试剂的另一常见应用。这三种Sulfo-NHS-ester试剂的区别仅仅在于间隔臂(spacer arm)长度不同,生物素结合的空间位阻能够有效优化标记和检测效果。Sulfo-NHS-LC-Biotin提供多种包装规格,也提供***蛋白标记试剂盒。
产品列表:
Sulfo NHS LC Biotin CAS:127062-22-0
Biotin-amine CAS:111790-37-5
MSC-ONSU CAS:57903-15-8
N-Biotinyl Glycine CAS:160390-90-9
SANPAH CAS:64309-05-3
Sulfo-NHS Acetate CAS: 152305-87-8
DTSSP crosslinker CAS:142702-31-6
Biotin-Azide CAS:908007-17-0
Biotin hydrazide CAS:66640-86-6
Biotin-PFP ester CAS:120550-35-8
SMPB CAS: 79886-55-8
PMPI CAS:123457-83-0
LC-SMCC CAS:125559-00-4
TMEA CAS:139112-38-2
SMCC CAS: 64987-85-5
DTME CAS: 71865-37-7
GMBS CAS: 80307-12-6
EMCH CAS: 81186-33-6
Sulfo-SMCC CAS: 92921-24-9
BMPS CAS: 55750-62-4
EMCS CAS: 55750-63-5
最后
以上就是现代摩托最近收集整理的关于胺反应性生物素化试剂Sulfo-Nhs-LC-Biotin,127062-22-0具有水溶性和不可切割性,能够高效地对溶液中的抗体、蛋白及其他含伯胺大分子进行生物素标记。的全部内容,更多相关胺反应性生物素化试剂Sulfo-Nhs-LC-Biotin,127062-22-0具有水溶性和不可切割性,能够高效地对溶液中内容请搜索靠谱客的其他文章。
发表评论 取消回复