一种透明、无色、几乎无味的液体,具有较高的沸点,具有高闪点、高点火温度和良好的毒理学特征。
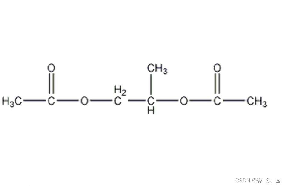
丙二醇二乙酸酯,分子式:C7H12O4,分子量:160.17。存放在密封容器内,并放在阴凉,干燥处。储存的地方必须远离氧化剂。对水稍微有危害的,不要让未者大量产品接触地下水,水道或者污水系统。若无政府许可,勿将材料排入周围环境。

用途:
本品具有乳化、润湿、增溶等作用。在药剂制造中用作乳化剂、润湿剂、增溶剂、透皮促进剂,用于乳剂、乳膏剂、注射剂、贴布剂等的制造。在日化工业中有相似的应用,如用于制造霜剂、香波等化妆品。在食品工业中主要用作溶剂、增溶剂,以配制食用香精等
别名:
1,2-丙二醇二乙酸酯
丙二醇二乙酸酯
1,2-二乙酰氧基丙烷
同义词:
| Propylene glycol diacetate | 丙二醇二乙酸酯 |
| 623-84-7 | 623-84-7 |
| 1,2-Diacetoxypropane | 1,2-二乙酰氧基丙烷 |
| 1,2-Propyleneglycol diacetate | 1,2-丙二醇二乙酸酯 |
| Propylene diacetate | 二乙酸丙烯酯 |
| 1,2-Propylene glycol diacetate | 1,2-丙二醇二乙酸酯 |
| Propylene acetate | 醋酸丙烯酯 |
| 1,2-Propanediol diacetate | 1,2-丙二醇二乙酸酯 |
| Propane-1,2-diyl diacetate | 丙烷-1,2-二乙酸二酯 |
| Propyleneglycol diacetate | 丙二醇二乙酸酯 |
| 2-acetyloxypropyl acetate | 2-乙酰氧基丙基乙酸酯 |
| Methylethylene acetate | 乙酸甲酯 |
| 1,2-Propanediol, diacetate | 1,2-丙二醇,二乙酸酯 |
| Methylethylene diacetate | 二乙酸甲酯 |
| 1,2-PROPYLENE DIACETATE | 1,2-二乙酸丙烯酯 |
| NSC 75843 | 国家安全委员会 75843 |
| 134236-23-0 | 134236-23-0 |
| 1-(acetyloxy)propan-2-yl acetate | 1-(乙酰氧基)丙-2-乙酸酯 |
| .alpha.-Propylene glycol diacetate | α-丙二醇二乙酸酯 |
| 1,2-Propanediol, 1,2-diacetate | 1,2-丙二醇,1,2-二乙酸酯 |
| UNII-5Z492UNF9O | UNII-5Z492UNF9O |
| HSDB 5507 | HSDB 5507 |
| EINECS 210-817-6 | EINECS 210-817-6 |
| BRN 1768914 | BRN 1768914 |
| AI3-14910 | AI3-14910 |
| Propylene glycol diacetate [NF] | 丙二醇二乙酸酯 [NF] |
| 5Z492UNF9O | 5Z492UNF9O |
| EC 210-817-6 | 欧共体 210-817-6 |
| DSSTox_CID_24827 | DSSTox_CID_24827 |
| DSSTox_RID_80508 | DSSTox_RID_80508 |
| Propane-1,2-diol diacetate | 丙烷-1,2-二醇二乙酸酯 |
| DSSTox_GSID_44827 | DSSTox_GSID_44827 |
| SCHEMBL49091 | SCHEMBL49091 |
| 1,2-DiAcetoxyPropane, PGDA | 1,2-二乙酰氧基丙烷,PGDA |
| WLN: 1OY1&1OV1 | WLN: 1OY1&1OV1 |
| CHEMBL2105367 | CHEMBL2105367 |
| DTXSID9044827 | DTXSID9044827 |
| Propylene Glycol Diacetate 98% | 丙二醇二乙酸酯 98% |
| PG Diacetate 98% Low Moisture | PG 二乙酸酯 98% 低水分 |
| CHEBI:173692 | 车比:173692 |
| NSC75843 | NSC75843 |
| Tox21_301689 | Tox21_301689 |
| MFCD00026201 | MFCD00026201 |
| NSC-75843 | NSC-75843 |
| AKOS015915268 | AKOS015915268 |
| MCULE-3307814329 | MCULE-3307814329 |
| Propylene glycol diacetate, >=99.7% | 丙二醇二乙酸酯,>=99.7% |
| 2-(Acetyloxy)-1-methylethyl acetate # | 2-(乙酰氧基)-1-甲基乙酸乙酯 # |
| NCGC00256009-01 | NCGC00256009-01 |
| AS-59980 | AS-59980 |
| CAS-623-84-7 | CAS-623-84-7 |
| I107 | I107 |
| CS-0188388 | CS-0188388 |
| FT-0658924 | FT-0658924 |
| P0902 | P0902 |
| D05635 | D05635 |
| Q27263082 | Q27263082 |
国家医学图书馆——国家生物技术信息中心:世界上最大的免费化学数据库中搜索和探索化学信息。按名称、分子式、结构等划分。
PubChem
最后
以上就是故意奇异果最近收集整理的关于丙二醇二乙酸酯(Propylene Glycol Diacetate)的全部内容,更多相关丙二醇二乙酸酯(Propylene内容请搜索靠谱客的其他文章。
本图文内容来源于网友提供,作为学习参考使用,或来自网络收集整理,版权属于原作者所有。
发表评论 取消回复